ustawa
z dnia 27 października 2017 r.
o finansowaniu zadań oświatowych
(Dz.U. z dnia 29 listopada 2017 r.)
Rozdział 1
Przepisy ogólne
Art. 1.
Ustawa określa zasady finansowania zadań oświatowych.
Art. 2.
Ilekroć w ustawie jest mowa o:
1)
dziecku objętym wczesnym wspomaganiem rozwoju – należy przez to rozumieć dziecko posiadające opinię o potrzebie wczesnego wspomagania rozwoju, o której mowa w art. 127 ust. 10 ustawy z dnia 14 grudnia 2016 r. – Prawo oświatowe (Dz. U. z 2017 r. poz. 59 i 949);
2)
egzaminie maturalnym – należy przez to rozumieć egzamin, o którym mowa w art. 3 pkt 21c ustawy z dnia 7 września 1991 r. o systemie oświaty (Dz. U. z 2017 r. poz. 2198);
3)
egzaminie potwierdzającym kwalifikacje w zawodzie – należy przez to rozumieć egzamin, o którym mowa w art. 3 pkt 21 ustawy z dnia 7 września 1991 r. o systemie oświaty;
4)
gminie miejskiej – należy przez to rozumieć gminę ujętą jako gmina miejska w krajowym rejestrze urzędowym podziału terytorialnego kraju, o którym mowa w art. 47 ust. 1 ustawy z dnia 29 czerwca 1995 r. o statystyce publicznej (Dz. U. z 2016 r. poz. 1068 oraz z 2017 r. poz. 60);
5)
gminie miejsko-wiejskiej – należy przez to rozumieć gminę ujętą jako gmina miejsko-wiejska w krajowym rejestrze urzędowym podziału terytorialnego kraju, o którym mowa w art. 47 ust. 1 ustawy z dnia 29 czerwca 1995 r. o statystyce publicznej;
6)
gminie wiejskiej – należy przez to rozumieć gminę ujętą jako gmina wiejska w krajowym rejestrze urzędowym podziału terytorialnego kraju, o którym mowa w art. 47 ust. 1 ustawy z dnia 29 czerwca 1995 r. o statystyce publicznej;
7)
kwalifikacyjnym kursie zawodowym – należy przez to rozumieć kwalifikacyjny kurs zawodowy, o którym mowa w art. 4 pkt 35 ustawy z dnia 14 grudnia 2016 r. – Prawo oświatowe;
8)
liczbie mieszkańców – należy przez to rozumieć liczbę mieszkańców w rozumieniu art. 2 pkt 4 ustawy z dnia 13 listopada 2003 r. o dochodach jednostek samorządu terytorialnego (Dz. U. z 2017 r. poz. 1453);
9)
materiale ćwiczeniowym – należy przez to rozumieć materiał ćwiczeniowy, o którym mowa w art. 3 pkt 25 ustawy z dnia 7 września 1991 r. o systemie oświaty;
10)
materiale edukacyjnym – należy przez to rozumieć materiał edukacyjny, o którym mowa w art. 3 pkt 24 ustawy z dnia 7 września 1991 r. o systemie oświaty;
11)
nauczycielu – należy przez to rozumieć także wychowawcę i innego pracownika pedagogicznego przedszkola, innej formy wychowania przedszkolnego, szkoły, placówki i placówki doskonalenia nauczycieli;
12)
niepublicznej szkole – należy przez to rozumieć niepubliczną szkołę o uprawnieniach szkoły publicznej;
13)
oddziale integracyjnym – należy przez to rozumieć odpowiednio oddział przedszkolny lub oddział szkolny, w których uczniowie posiadający orzeczenie o potrzebie kształcenia specjalnego uczą się i wychowują razem z pozostałymi uczniami, zorganizowane zgodnie z przepisami wydanymi na podstawie art. 127 ust. 19 pkt 2 ustawy z dnia 14 grudnia 2016 r. – Prawo oświatowe;
14)
opłatach za korzystanie z wychowania przedszkolnego – należy przez to rozumieć opłaty za nauczanie, wychowanie i opiekę w placówce wychowania przedszkolnego, prowadzone w czasie przekraczającym czas bezpłatnego nauczania, wychowania i opieki, ustalony zgodnie z art. 13 ust. 1 pkt 2, ust. 2 lub 3 ustawy z dnia 14 grudnia 2016 r. – Prawo oświatowe;
15)
organie prowadzącym – należy przez to rozumieć ministra, jednostkę samorządu terytorialnego, osobę prawną niebędącą jednostką samorządu terytorialnego oraz osobę fizyczną prowadzących przedszkole, inną formę wychowania przedszkolnego, szkołę lub placówkę;
16)
organie rejestrującym – należy przez to rozumieć jednostkę samorządu terytorialnego wydającą zezwolenie, o którym mowa w art. 88 ust. 4 pkt 1 lub art. 90 ust. 1 ustawy z dnia 14 grudnia 2016 r. – Prawo oświatowe, oraz jednostkę samorządu terytorialnego dokonującą wpisu do ewidencji, o którym mowa w art. 168 ust. 1 ustawy z dnia 14 grudnia 2016 r. – Prawo oświatowe;
17)
orzeczeniu o potrzebie kształcenia specjalnego – należy przez to rozumieć orzeczenie o potrzebie kształcenia specjalnego, o którym mowa w art. 127 ust. 10 ustawy z dnia 14 grudnia 2016 r. – Prawo oświatowe;
18)
orzeczeniu o potrzebie zajęć rewalidacyjno-wychowawczych – należy przez to rozumieć orzeczenie o potrzebie zajęć rewalidacyjno-wychowawczych, o którym mowa w art. 127 ust. 10 ustawy z dnia 14 grudnia 2016 r. – Prawo oświatowe;
19)
placówce – należy przez to rozumieć jednostki organizacyjne wymienione w art. 2 pkt 3–8 i 10 ustawy z dnia 14 grudnia 2016 r. – Prawo oświatowe;
20)
placówce wychowania przedszkolnego – należy przez to rozumieć przedszkole, oddział przedszkolny w szkole podstawowej oraz inną formę wychowania przedszkolnego;
21)
podręczniku – należy przez to rozumieć podręcznik, o którym mowa w art. 3 pkt 23 ustawy z dnia 7 września 1991 r. o systemie oświaty;
22)
przedszkolu integracyjnym lub szkole integracyjnej – należy przez to rozumieć odpowiednio przedszkole lub szkołę, w których wszystkie oddziały są oddziałami integracyjnymi;
23)
przedszkolu specjalnym, szkole specjalnej lub oddziale specjalnym – należy przez to rozumieć odpowiednio:
a)
przedszkole, szkołę lub oddział dla uczniów posiadających orzeczenie o potrzebie kształcenia specjalnego, zorganizowane zgodnie z przepisami wydanymi na podstawie art. 127 ust. 19 pkt 2 ustawy z dnia 14 grudnia 2016 r. – Prawo oświatowe,
b)
przedszkole, szkołę lub oddział zorganizowane w podmiocie leczniczym, o którym mowa w przepisach o działalności leczniczej, oraz w jednostce pomocy społecznej, w celu kształcenia dzieci i młodzieży przebywających w tym podmiocie lub jednostce, w których stosuje się odpowiednią organizację kształcenia oraz specjalne działania opiekuńczo-wychowawcze, zorganizowane zgodnie z przepisami wydanymi na podstawie art. 128 ust. 3 ustawy z dnia 14 grudnia 2016 r. – Prawo oświatowe;
24)
rodzicach – należy przez to rozumieć także prawnych opiekunów dziecka oraz osoby (podmioty) sprawujące pieczę zastępczą nad dzieckiem;
25)
roku bazowym – należy przez to rozumieć rok poprzedzający rok budżetowy;
26)
roku budżetowym – należy przez to rozumieć rok, na który jest uchwalana ustawa budżetowa i są udzielane dotacje określone w niniejszej ustawie;
27)
szkole – należy przez to rozumieć publiczną szkołę oraz niepubliczną szkołę;
28)
szkole dla dorosłych – należy przez to rozumieć szkołę dla dorosłych, o której mowa w art. 4 pkt 29 ustawy z dnia 14 grudnia 2016 r. – Prawo oświatowe;
29)
szkole, w której jest realizowany obowiązek szkolny lub obowiązek nauki – należy przez to rozumieć szkołę podstawową dla dzieci i młodzieży, liceum ogólnokształcące dla dzieci i młodzieży, technikum, branżową szkołę I stopnia, branżową szkołę II stopnia i szkołę specjalną przysposabiającą do pracy;
30)
szkole, w której nie jest realizowany obowiązek szkolny lub obowiązek nauki – należy przez to rozumieć szkołę podstawową dla dorosłych, liceum ogólnokształcące dla dorosłych i szkołę policealną;
31)
środkach pochodzących z budżetu Unii Europejskiej – należy przez to rozumieć środki, o których mowa w art. 5 ust. 3 pkt 1, 4 i 5a–5c ustawy z dnia 27 sierpnia 2009 r. o finansach publicznych (Dz. U. z 2017 r. poz. 2077);
32)
uczestniku zajęć rewalidacyjno-wychowawczych – należy przez to rozumieć osobę posiadającą orzeczenie o potrzebie zajęć rewalidacyjno-wychowawczych;
33)
uczniu – należy przez to rozumieć także słuchacza szkoły dla dorosłych oraz dziecko korzystające z wychowania przedszkolnego;
34)
uczniu niepełnosprawnym – należy przez to rozumieć ucznia posiadającego orzeczenie o potrzebie kształcenia specjalnego wydane ze względu na niepełnosprawność, o którym mowa w art. 127 ust. 10 ustawy z dnia 14 grudnia 2016 r. – Prawo oświatowe;
35)
wskaźniku dochodów podatkowych na jednego mieszkańca w gminie – należy przez to rozumieć wskaźnik, o którym mowa w art. 20 ust. 2 i 4 ustawy z dnia 13 listopada 2003 r. o dochodach jednostek samorządu terytorialnego;
36)
wskaźniku dochodów podatkowych na jednego mieszkańca w powiecie – należy przez to rozumieć wskaźnik, o którym mowa w art. 22 ust. 2 i 4 ustawy z dnia 13 listopada 2003 r. o dochodach jednostek samorządu terytorialnego.
Art. 3.
1.
Zadania oświatowe jednostek samorządu terytorialnego w zakresie kształcenia, wychowania i opieki, w tym kształcenia specjalnego i profilaktyki społecznej, są finansowane na zasadach określonych w niniejszej ustawie oraz w ustawie z dnia 13 listopada 2003 r. o dochodach jednostek samorządu terytorialnego.
2.
Środki niezbędne do realizacji zadań oświatowych jednostek samorządu terytorialnego, o których mowa w art. 11 ust. 2–4 ustawy z dnia 14 grudnia 2016 r. – Prawo oświatowe, zwanej dalej „ustawą – Prawo oświatowe”, w tym na wynagrodzenia nauczycieli oraz utrzymanie placówek wychowania przedszkolnego, szkół i placówek, są zagwarantowane w dochodach jednostek samorządu terytorialnego.
Art. 4.
1.
Przedszkola, szkoły i placówki zakładane i prowadzone przez ministrów i jednostki samorządu terytorialnego są jednostkami budżetowymi.
2.
Jednostki samorządu terytorialnego mogą udzielać pomocy rzeczowej lub finansowej szkołom artystycznym i placówkom zapewniającym opiekę i wychowanie uczniom w okresie pobierania nauki poza miejscem stałego zamieszkania prowadzonym przez ministra właściwego do spraw kultury i ochrony dziedzictwa narodowego.
3.
Pomoc rzeczowa może polegać na zakupie i przekazaniu szkole lub placówce, o której mowa w ust. 2, środków trwałych oraz wartości niematerialnych i prawnych obejmujących:
1)
książki i inne zbiory biblioteczne;
2)
środki dydaktyczne służące procesowi dydaktyczno-wychowawczemu realizowanemu w tej szkole lub placówce;
3)
sprzęt rekreacyjny i sportowy dla dzieci i młodzieży;
5)
pozostałe środki trwałe oraz wartości niematerialne i prawne o wartości nieprzekraczającej wielkości określonej w art. 16f ust. 3 ustawy z dnia 15 lutego 1992 r. o podatku dochodowym od osób prawnych (Dz. U. z 2016 r. poz. 1888, z późn. zm.), dla których odpisy amortyzacyjne są uznawane za koszt uzyskania przychodu w 100% ich wartości, w momencie oddania do używania.
4.
Pomoc finansowa może być udzielana w formie darowizny, o której mowa w art. 11a ust. 1 pkt 1 ustawy z dnia 27 sierpnia 2009 r. o finansach publicznych.
Art. 5.
Przedszkola, inne formy wychowania przedszkolnego, szkoły i placówki prowadzone przez osoby prawne niebędące jednostkami samorządu terytorialnego oraz osoby fizyczne prowadzą gospodarkę finansową na zasadach określonych przez organ prowadzący, z uwzględnieniem odrębnych przepisów.
Art. 6.
1.
Placówki wychowania przedszkolnego, szkoły, placówki, placówki doskonalenia nauczycieli i kolegia pracowników służb społecznych oraz organy prowadzące te podmioty są zwolnione z opłat z tytułu trwałego zarządu, użytkowania i użytkowania wieczystego nieruchomości stanowiących własność Skarbu Państwa lub jednostek samorządu terytorialnego i ich związków, zajętych na działalność oświatową.
2.
Placówki wychowania przedszkolnego, szkoły, placówki, placówki doskonalenia nauczycieli i kolegia pracowników służb społecznych oraz organy prowadzące te podmioty są zwolnione z podatku od nieruchomości, podatku leśnego i podatku rolnego w zakresie nieruchomości zajętych na działalność oświatową, na zasadach określonych odpowiednio w przepisach o podatkach i opłatach lokalnych, podatku leśnym oraz podatku rolnym.
Rozdział 2
Część oświatowa subwencji ogólnej
Art. 7.
Sposób ustalania łącznej kwoty części oświatowej subwencji ogólnej dla jednostek samorządu terytorialnego oraz sposób podziału części oświatowej subwencji ogólnej między poszczególne jednostki samorządu terytorialnego określają przepisy ustawy z dnia 13 listopada 2003 r. o dochodach jednostek samorządu terytorialnego.
Art. 8.
1.
W roku budżetowym na realizację zadań związanych z organizacją kształcenia specjalnego, o którym mowa w art. 127 ust. 1 ustawy – Prawo oświatowe, oraz na organizację zajęć rewalidacyjno-wychowawczych, o których mowa w art. 36 ust. 17 ustawy – Prawo oświatowe, jednostka samorządu terytorialnego przeznacza środki w wysokości nie mniejszej niż kwota przewidziana w części oświatowej subwencji ogólnej dla jednostki samorządu terytorialnego na uczniów, wychowanków i uczestników zajęć rewalidacyjno-wychowawczych w przedszkolach, szkołach i placówkach, prowadzonych przez tę jednostkę samorządu terytorialnego, w zakresie tych zadań.
2.
Środki, o których mowa w ust. 1, stanowią sumę:
1)
środków przeznaczonych w roku budżetowym na prowadzenie przedszkoli, szkół i placówek – w przypadku przedszkoli specjalnych, oddziałów przedszkolnych w szkołach podstawowych specjalnych, szkół specjalnych i placówek, o których mowa w art. 2 pkt 7 ustawy – Prawo oświatowe, prowadzonych przez jednostkę samorządu terytorialnego;
2)
środków przeznaczonych w roku budżetowym na realizację zadań wynikających z zaleceń zawartych w orzeczeniach o potrzebie kształcenia specjalnego, orzeczeniach o potrzebie zajęć rewalidacyjno-wychowawczych, indywidualnych programach zajęć, o których mowa w przepisach wydanych na podstawie art. 7 ust. 3 ustawy z dnia 19 sierpnia 1994 r. o ochronie zdrowia psychicznego (Dz. U. z 2017 r. poz. 882), i indywidualnych programach edukacyjno-terapeutycznych, o których mowa w art. 127 ust. 3 ustawy – Prawo oświatowe, oraz zapewnienie warunków ich realizacji
-
w przypadku przedszkoli, oddziałów przedszkolnych w szkołach podstawowych i szkół, niewymienionych w pkt 1, oraz innych form wychowania przedszkolnego i poradni psychologiczno-pedagogicznych, w tym poradni specjalistycznych, prowadzonych przez jednostkę samorządu terytorialnego;
3)
środków przeznaczonych w roku budżetowym na realizację zadań innych niż określone w pkt 2, w szkołach z oddziałami specjalnymi i szkołach z oddziałami integracyjnymi, prowadzonych przez jednostkę samorządu terytorialnego
-
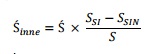
w wysokości wyrażonej wzorem:

w którym poszczególne symbole oznaczają:
Śinne – środki przeznaczane w roku budżetowym na realizację zadań innych niż określone w pkt 2, w tych szkołach,
Ś – środki przeznaczane w roku budżetowym w tych szkołach,
SSI – kwotę przewidzianą w części oświatowej subwencji ogólnej dla jednostki samorządu terytorialnego na kwotę przewidzianą w części oświatowej subwencji ogólnej dla jednostki samorządu terytorialnego na uczniów oddziałów specjalnych i oddziałów integracyjny uczniów oddziałów specjalnych i oddziałów integracyjny w tych szkołach
SSIN- kwotę przewidzianą w części oświatowej subwencji ogólnej dla jednostki samorządu terytorialnego na uczniów posiadających orzeczenie o potrzebie kształcenia specjalnego oddziałów specjalnych i oddziałów integracyjnych w tych szkołach, w zakresie wynikającym z posiadania przez tych uczniów orzeczeń o potrzebie kształcenia specjalnego,
S – kwotę przewidzianą w części oświatowej subwencji ogólnej dla jednostki samorządu terytorialnego na uczniów i uczestników zajęć rewalidacyjno-wychowawczych w tych szkołach.
3.
Kwota przewidziana w części oświatowej subwencji ogólnej, o której mowa w ust. 1, stanowi sumę:
1)
kwoty przewidzianej w części oświatowej subwencji ogólnej dla jednostki samorządu terytorialnego na uczniów przedszkoli specjalnych, oddziałów przedszkolnych w szkołach podstawowych specjalnych, oddziałów specjalnych i oddziałów integracyjnych w szkołach, wychowanków placówek, o których mowa w art. 2 pkt 7 ustawy – Prawo oświatowe, i uczestników zajęć rewalidacyjno-wychowawczych w placówkach, o których mowa w art. 2 pkt 7 ustawy – Prawo oświatowe, prowadzonych przez jednostkę samorządu terytorialnego, i
2)
kwoty przewidzianej w części oświatowej subwencji ogólnej dla jednostki samorządu terytorialnego na:
a)
uczniów posiadających orzeczenie o potrzebie kształcenia specjalnego oddziałów niewymienionych w pkt 1 w szkołach,
b)
uczestników zajęć rewalidacyjno-wychowawczych w placówkach wychowania przedszkolnego, szkołach i poradniach psychologiczno-pedagogicznych, w tym poradniach specjalistycznych,
c)
uczniów posiadających orzeczenie o potrzebie kształcenia specjalnego przedszkoli niebędących przedszkolami specjalnymi, oddziałów przedszkolnych w szkołach podstawowych niebędących szkołami specjalnymi i innych form wychowania przedszkolnego
-
prowadzonych przez jednostkę samorządu terytorialnego, w zakresie wynikającym z posiadania przez tych uczniów oraz uczestników zajęć rewalidacyjno-wychowawczych odpowiednio orzeczeń o potrzebie kształcenia specjalnego lub orzeczeń o potrzebie zajęć rewalidacyjno-wychowawczych.
Rozdział 3
Finansowanie niepublicznych placówek wychowania przedszkolnego, szkół i placówek oraz publicznych placówek wychowania przedszkolnego, szkół i placówek prowadzonych przez ministrów, osoby prawne niebędące jednostkami samorządu terytorialnego oraz osoby fizyczne
Art. 9.
Ilekroć w niniejszym rozdziale jest mowa o wydatkach bieżących, należy przez to rozumieć wydatki bieżące, o których mowa w art. 236 ust. 2 ustawy z dnia 27 sierpnia 2009 r. o finansach publicznych, na prowadzenie przez jednostkę samorządu terytorialnego odpowiednio przedszkoli, szkół podstawowych, w których zorganizowano oddział przedszkolny, z przeznaczeniem na ten oddział przedszkolny, innych form wychowania przedszkolnego, szkół danego typu lub placówek danego rodzaju lub na finansowanie działalności internatów w szkołach prowadzonych przez jednostkę samorządu terytorialnego, w tym w jednostkach organizujących wspólną obsługę administracyjną, finansową i organizacyjną przedszkoli, innych form wychowania przedszkolnego, szkół i placówek, odpowiednio zaplanowane na rok budżetowy w budżecie jednostki samorządu terytorialnego lub poniesione w roku budżetowym z budżetu jednostki samorządu terytorialnego, bez uwzględnienia wydatków odpowiednio zaplanowanych na wydzielonym rachunku, o którym mowa w art. 223 ustawy z dnia 27 sierpnia 2009 r. o finansach publicznych, lub poniesionych ze środków zgromadzonych na tym rachunku, z zastrzeżeniem art. 13 ust. 5 i art. 35 ust. 2.
Art. 10.
1.
Ilekroć w niniejszym rozdziale jest mowa o najbliższej gminie prowadzącej przedszkole, należy przez to rozumieć w przypadku odpowiednio gminy wiejskiej, gminy miejsko-wiejskiej, gminy miejskiej, miasta na prawach powiatu do 150 tys. mieszkańców albo miasta na prawach powiatu powyżej 150 tys. mieszkańców gminę graniczącą:
1)
będącą odpowiednio gminą wiejską, gminą miejsko-wiejską, gminą miejską, miastem na prawach powiatu do 150 tys. mieszkańców albo miastem na prawach powiatu powyżej 150 tys. mieszkańców oraz
2)
prowadzącą co najmniej jedno przedszkole, w którym zaplanowane wydatki bieżące finansowane z udziałem środków pochodzących z budżetu Unii Europejskiej nie przekraczają 50% jego zaplanowanych wydatków bieżących, niebędące przedszkolem specjalnym, oraz
3)
o najbardziej zbliżonym wskaźniku dochodów podatkowych na jednego mieszkańca w gminie, przez który należy rozumieć najmniejszą wartość bezwzględną różnicy pomiędzy wskaźnikiem dochodów podatkowych na jednego mieszkańca w gminie dotującej i wskaźnikiem dochodów podatkowych na jednego mieszkańca w gminie spełniającej warunki określone w pkt 1 i 2.
2.
W przypadku braku gminy spełniającej warunki, o których mowa w ust. 1 pkt 1 lub 2, przez najbliższą gminę prowadzącą przedszkole należy rozumieć w przypadku odpowiednio gminy wiejskiej, gminy miejsko-wiejskiej, gminy miejskiej, miasta na prawach powiatu do 150 tys. mieszkańców albo miasta na prawach powiatu powyżej 150 tys. mieszkańców gminę:
1)
będącą odpowiednio gminą wiejską, gminą miejsko-wiejską, gminą miejską, miastem na prawach powiatu do 150 tys. mieszkańców albo miastem na prawach powiatu powyżej 150 tys. mieszkańców oraz
2)
prowadzącą co najmniej jedno przedszkole, w którym zaplanowane wydatki bieżące finansowane z udziałem środków pochodzących z budżetu Unii Europejskiej nie przekraczają 50% jego zaplanowanych wydatków bieżących, niebędące przedszkolem specjalnym, oraz
3)
o najbardziej zbliżonym wskaźniku dochodów podatkowych na jednego mieszkańca w gminie, przez który należy rozumieć najmniejszą wartość bezwzględną różnicy pomiędzy wskaźnikiem dochodów podatkowych na jednego mieszkańca w gminie dotującej i wskaźnikiem dochodów podatkowych na jednego mieszkańca w gminie spełniającej warunki określone w pkt 1 i 2
-
położoną na terenie tego samego powiatu co gmina dotująca, w przypadku braku gminy położonej na terenie tego samego powiatu co gmina dotująca – gminę położoną na terenie tego samego województwa co gmina dotująca, a w przypadku braku gminy położonej na terenie tego samego województwa co gmina dotująca – na terenie innego województwa niż gmina dotująca.
3.
Ilekroć w niniejszym rozdziale jest mowa o najbliższej gminie prowadzącej szkołę podstawową, w której zorganizowano oddział przedszkolny, należy przez to rozumieć w przypadku odpowiednio gminy wiejskiej, gminy miejsko-wiejskiej, gminy miejskiej, miasta na prawach powiatu do 150 tys. mieszkańców albo miasta na prawach powiatu powyżej 150 tys. mieszkańców gminę graniczącą:
1)
będącą odpowiednio gminą wiejską, gminą miejsko-wiejską, gminą miejską, miastem na prawach powiatu do 150 tys. mieszkańców albo miastem na prawach powiatu powyżej 150 tys. mieszkańców oraz
2)
prowadzącą co najmniej jedną szkołę podstawową, w której zorganizowano oddział przedszkolny, w którym zaplanowane wydatki bieżące finansowane z udziałem środków pochodzących z budżetu Unii Europejskiej nie przekraczają 50% jego zaplanowanych wydatków bieżących, niebędącą szkołą podstawową specjalną, oraz
3)
o najbardziej zbliżonym wskaźniku dochodów podatkowych na jednego mieszkańca w gminie, przez który należy rozumieć najmniejszą wartość bezwzględną różnicy pomiędzy wskaźnikiem dochodów podatkowych na jednego mieszkańca w gminie dotującej i wskaźnikiem dochodów podatkowych na jednego mieszkańca w gminie spełniającej warunki określone w pkt 1 i 2.
4.
W przypadku braku gminy spełniającej warunki, o których mowa w ust. 3 pkt 1 lub 2, przez najbliższą gminę prowadzącą szkołę podstawową, w której zorganizowano oddział przedszkolny, należy rozumieć w przypadku odpowiednio gminy wiejskiej, gminy miejsko-wiejskiej, gminy miejskiej, miasta na prawach powiatu do 150 tys. mieszkańców albo miasta na prawach powiatu powyżej 150 tys. mieszkańców gminę:
1)
będącą odpowiednio gminą wiejską, gminą miejsko-wiejską, gminą miejską, miastem na prawach powiatu do 150 tys. mieszkańców albo miastem na prawach powiatu powyżej 150 tys. mieszkańców oraz
2)
prowadzącą co najmniej jedną szkołę podstawową, w której zorganizowano oddział przedszkolny, w którym zaplanowane wydatki bieżące finansowane z udziałem środków pochodzących z budżetu Unii Europejskiej nie przekraczają 50% jego zaplanowanych wydatków bieżących, niebędącą szkołą podstawową specjalną, oraz
3)
o najbardziej zbliżonym wskaźniku dochodów podatkowych na jednego mieszkańca w gminie, przez który należy rozumieć najmniejszą wartość bezwzględną różnicy pomiędzy wskaźnikiem dochodów podatkowych na jednego mieszkańca w gminie dotującej i wskaźnikiem dochodów podatkowych na jednego mieszkańca w gminie spełniającej warunki określone w pkt 1 i 2
-
położoną na terenie tego samego powiatu co gmina dotująca, w przypadku braku gminy położonej na terenie tego samego powiatu co gmina dotująca – gminę położoną na terenie tego samego województwa co gmina dotująca, a w przypadku braku gminy położonej na terenie tego samego województwa co gmina dotująca – na terenie innego województwa niż gmina dotująca.
5.
Ilekroć w niniejszym rozdziale jest mowa o najbliższej gminie prowadzącej szkołę danego typu niebędącą szkołą specjalną, należy przez to rozumieć w przypadku odpowiednio gminy wiejskiej, gminy miejsko-wiejskiej, gminy miejskiej, miasta na prawach powiatu do 150 tys. mieszkańców albo miasta na prawach powiatu powyżej 150 tys. mieszkańców gminę graniczącą:
1)
będącą odpowiednio gminą wiejską, gminą miejsko-wiejską, gminą miejską, miastem na prawach powiatu do 150 tys. mieszkańców albo miastem na prawach powiatu powyżej 150 tys. mieszkańców oraz
2)
prowadzącą co najmniej jedną szkołę danego typu niebędącą szkołą specjalną, oraz
3)
o najbardziej zbliżonym wskaźniku dochodów podatkowych na jednego mieszkańca w gminie, przez który należy rozumieć najmniejszą wartość bezwzględną różnicy pomiędzy wskaźnikiem dochodów podatkowych na jednego mieszkańca w gminie dotującej i wskaźnikiem dochodów podatkowych na jednego mieszkańca w gminie spełniającej warunki określone w pkt 1 i 2.
6.
W przypadku braku gminy spełniającej warunki, o których mowa w ust. 5 pkt 1 lub 2, przez najbliższą gminę prowadzącą szkołę danego typu niebędącą szkołą specjalną należy rozumieć w przypadku odpowiednio gminy wiejskiej, gminy miejsko-wiejskiej, gminy miejskiej, miasta na prawach powiatu do 150 tys. mieszkańców albo miasta na prawach powiatu powyżej 150 tys. mieszkańców gminę:
1)
będącą odpowiednio gminą wiejską, gminą miejsko-wiejską, gminą miejską, miastem na prawach powiatu do 150 tys. mieszkańców albo miastem na prawach powiatu powyżej 150 tys. mieszkańców oraz
2)
prowadzącą co najmniej jedną szkołę danego typu niebędącą szkołą specjalną, oraz
3)
o najbardziej zbliżonym wskaźniku dochodów podatkowych na jednego mieszkańca w gminie, przez który należy rozumieć najmniejszą wartość bezwzględną różnicy pomiędzy wskaźnikiem dochodów podatkowych na jednego mieszkańca w gminie dotującej i wskaźnikiem dochodów podatkowych na jednego mieszkańca w gminie spełniającej warunki określone w pkt 1 i 2
-
położoną na terenie tego samego powiatu co gmina dotująca, w przypadku braku gminy położonej na terenie tego samego powiatu co gmina dotująca – gminę położoną na terenie tego samego województwa co gmina dotująca, a w przypadku braku gminy położonej na terenie tego samego województwa co gmina dotująca – na terenie innego województwa niż gmina dotująca.
7.
Ilekroć w niniejszym rozdziale jest mowa o najbliższym powiecie prowadzącym szkołę danego typu niebędącą szkołą specjalną, należy przez to rozumieć w przypadku odpowiednio powiatu niebędącego miastem na prawach powiatu, miasta na prawach powiatu do 150 tys. mieszkańców albo miasta na prawach powiatu powyżej 150 tys. mieszkańców powiat graniczący:
1)
będący odpowiednio powiatem niebędącym miastem na prawach powiatu, miastem na prawach powiatu do 150 tys. mieszkańców albo miastem na prawach powiatu powyżej 150 tys. mieszkańców oraz
2)
prowadzący co najmniej jedną szkołę danego typu niebędącą szkołą specjalną, oraz
3)
o najbardziej zbliżonym wskaźniku dochodów podatkowych na jednego mieszkańca w powiecie, przez który należy rozumieć najmniejszą wartość bezwzględną różnicy pomiędzy wskaźnikiem dochodów podatkowych na jednego mieszkańca w powiecie dotującym i wskaźnikiem dochodów podatkowych na jednego mieszkańca w powiecie spełniającym warunki określone w pkt 1 i 2.
8.
W przypadku braku powiatu spełniającego warunki, o których mowa w ust. 7 pkt 1 lub 2, przez najbliższy powiat prowadzący szkołę danego typu niebędącą szkołą specjalną należy rozumieć w przypadku odpowiednio powiatu niebędącego miastem na prawach powiatu, miasta na prawach powiatu do 150 tys. mieszkańców albo miasta na prawach powiatu powyżej 150 tys. mieszkańców powiat:
1)
będący odpowiednio powiatem niebędącym miastem na prawach powiatu, miastem na prawach powiatu do 150 tys. mieszkańców albo miastem na prawach powiatu powyżej 150 tys. mieszkańców oraz
2)
prowadzący co najmniej jedną szkołę danego typu niebędącą szkołą specjalną, oraz
3)
o najbardziej zbliżonym wskaźniku dochodów podatkowych na jednego mieszkańca w powiecie, przez który należy rozumieć najmniejszą wartość bezwzględną różnicy pomiędzy wskaźnikiem dochodów podatkowych na jednego mieszkańca w powiecie dotującym i wskaźnikiem dochodów podatkowych na jednego mieszkańca w powiecie spełniającym warunki określone w pkt 1 i 2
-
położony na terenie tego samego województwa co powiat dotujący, a w przypadku braku powiatu położonego na terenie tego samego województwa co powiat dotujący – na terenie innego województwa niż powiat dotujący.
9.
Ilekroć w niniejszym rozdziale jest mowa o najbliższej gminie prowadzącej szkołę danego typu będącą szkołą specjalną, należy przez to rozumieć w przypadku odpowiednio gminy wiejskiej, gminy miejsko-wiejskiej, gminy miejskiej, miasta na prawach powiatu do 150 tys. mieszkańców albo miasta na prawach powiatu powyżej 150 tys. mieszkańców gminę graniczącą:
1)
będącą odpowiednio gminą wiejską, gminą miejsko-wiejską, gminą miejską, miastem na prawach powiatu do 150 tys. mieszkańców albo miastem na prawach powiatu powyżej 150 tys. mieszkańców oraz
2)
prowadzącą co najmniej jedną szkołę danego typu będącą szkołą specjalną, oraz
3)
o najbardziej zbliżonym wskaźniku dochodów podatkowych na jednego mieszkańca w gminie, przez który należy rozumieć najmniejszą wartość bezwzględną różnicy pomiędzy wskaźnikiem dochodów podatkowych na jednego mieszkańca w gminie dotującej i wskaźnikiem dochodów podatkowych na jednego mieszkańca w gminie spełniającej warunki określone w pkt 1 i 2.
10.
W przypadku braku gminy spełniającej warunki, o których mowa w ust. 9 pkt 1 lub 2, przez najbliższą gminę prowadzącą szkołę danego typu będącą szkołą specjalną należy rozumieć w przypadku odpowiednio gminy wiejskiej, gminy miejsko-wiejskiej, gminy miejskiej, miasta na prawach powiatu do 150 tys. mieszkańców albo miasta na prawach powiatu powyżej 150 tys. mieszkańców gminę:
1)
będącą odpowiednio gminą wiejską, gminą miejsko-wiejską, gminą miejską, miastem na prawach powiatu do 150 tys. mieszkańców albo miastem na prawach powiatu powyżej 150 tys. mieszkańców oraz
2)
prowadzącą co najmniej jedną szkołę danego typu będącą szkołą specjalną, oraz
3)
o najbardziej zbliżonym wskaźniku dochodów podatkowych na jednego mieszkańca w gminie, przez który należy rozumieć najmniejszą wartość bezwzględną różnicy pomiędzy wskaźnikiem dochodów podatkowych na jednego mieszkańca w gminie dotującej i wskaźnikiem dochodów podatkowych na jednego mieszkańca w gminie spełniającej warunki określone w pkt 1 i 2
-
położoną na terenie tego samego powiatu co gmina dotująca, w przypadku braku gminy położonej na terenie tego samego powiatu co gmina dotująca – gminę położoną na terenie tego samego województwa co gmina dotująca, a w przypadku braku gminy położonej na terenie tego samego województwa co gmina dotująca – na terenie innego województwa niż gmina dotująca.
11.
Ilekroć w niniejszym rozdziale jest mowa o najbliższym powiecie prowadzącym szkołę danego typu będącą szkołą specjalną, należy przez to rozumieć w przypadku odpowiednio powiatu niebędącego miastem na prawach powiatu, miasta na prawach powiatu do 150 tys. mieszkańców albo miasta na prawach powiatu powyżej 150 tys. mieszkańców powiat graniczący:
1)
będący odpowiednio powiatem niebędącym miastem na prawach powiatu, miastem na prawach powiatu do 150 tys. mieszkańców albo miastem na prawach powiatu powyżej 150 tys. mieszkańców oraz
2)
prowadzący co najmniej jedną szkołę danego typu będącą szkołą specjalną, oraz
3)
o najbardziej zbliżonym wskaźniku dochodów podatkowych na jednego mieszkańca w powiecie, przez który należy rozumieć najmniejszą wartość bezwzględną różnicy pomiędzy wskaźnikiem dochodów podatkowych na jednego mieszkańca w powiecie dotującym i wskaźnikiem dochodów podatkowych na jednego mieszkańca w powiecie spełniającym warunki określone w pkt 1 i 2.
12.
W przypadku braku powiatu spełniającego warunki, o których mowa w ust. 11 pkt 1 lub 2, przez najbliższy powiat prowadzący szkołę danego typu będącą szkołą specjalną należy rozumieć w przypadku odpowiednio powiatu niebędącego miastem na prawach powiatu, miasta na prawach powiatu do 150 tys. mieszkańców albo miasta na prawach powiatu powyżej 150 tys. mieszkańców powiat:
1)
będący odpowiednio powiatem niebędącym miastem na prawach powiatu, miastem na prawach powiatu do 150 tys. mieszkańców albo miastem na prawach powiatu powyżej 150 tys. mieszkańców oraz
2)
prowadzący co najmniej jedną szkołę danego typu będącą szkołą specjalną, oraz
3)
o najbardziej zbliżonym wskaźniku dochodów podatkowych na jednego mieszkańca w powiecie, przez który należy rozumieć najmniejszą wartość bezwzględną różnicy pomiędzy wskaźnikiem dochodów podatkowych na jednego mieszkańca w powiecie dotującym i wskaźnikiem dochodów podatkowych na jednego mieszkańca w powiecie spełniającym warunki określone w pkt 1 i 2
-
położony na terenie tego samego województwa co powiat dotujący, a w przypadku braku powiatu położonego na terenie tego samego województwa co powiat dotujący – na terenie innego województwa niż powiat dotujący.
13.
Ilekroć w niniejszym rozdziale jest mowa o najbliższym powiecie prowadzącym placówkę danego rodzaju, o której mowa w art. 2 pkt 7 i 8 ustawy – Prawo oświatowe, należy przez to rozumieć w przypadku odpowiednio powiatu niebędącego miastem na prawach powiatu, miasta na prawach powiatu do 150 tys. mieszkańców albo miasta na prawach powiatu powyżej 150 tys. mieszkańców powiat graniczący:
1)
będący odpowiednio powiatem niebędącym miastem na prawach powiatu, miastem na prawach powiatu do 150 tys. mieszkańców albo miastem na prawach powiatu powyżej 150 tys. mieszkańców oraz
2)
prowadzący co najmniej jedną placówkę danego rodzaju, o której mowa w art. 2 pkt 7 i 8 ustawy – Prawo oświatowe, oraz
3)
o najbardziej zbliżonym wskaźniku dochodów podatkowych na jednego mieszkańca w powiecie, przez który należy rozumieć najmniejszą wartość bezwzględną różnicy pomiędzy wskaźnikiem dochodów podatkowych na jednego mieszkańca w powiecie dotującym i wskaźnikiem dochodów podatkowych na jednego mieszkańca w powiecie spełniającym warunki określone w pkt 1 i 2.
14.
W przypadku braku powiatu spełniającego warunki, o których mowa w ust. 13 pkt 1 lub 2, przez najbliższy powiat prowadzący placówkę danego rodzaju, o której mowa w art. 2 pkt 7 i 8 ustawy – Prawo oświatowe, należy rozumieć w przypadku odpowiednio powiatu niebędącego miastem na prawach powiatu, miasta na prawach powiatu do 150 tys. mieszkańców albo miasta na prawach powiatu powyżej 150 tys. mieszkańców powiat:
1)
będący odpowiednio powiatem niebędącym miastem na prawach powiatu, miastem na prawach powiatu do 150 tys. mieszkańców albo miastem na prawach powiatu powyżej 150 tys. mieszkańców oraz
2)
prowadzący co najmniej jedną placówkę danego rodzaju, o której mowa w art. 2 pkt 7 i 8 ustawy – Prawo oświatowe, oraz
3)
o najbardziej zbliżonym wskaźniku dochodów podatkowych na jednego mieszkańca w powiecie, przez który należy rozumieć najmniejszą wartość bezwzględną różnicy pomiędzy wskaźnikiem dochodów podatkowych na jednego mieszkańca w powiecie dotującym i wskaźnikiem dochodów podatkowych na jednego mieszkańca w powiecie spełniającym warunki określone w pkt 1 i 2
-
położony na terenie tego samego województwa co powiat dotujący, a w przypadku braku powiatu położonego na terenie tego samego województwa co powiat dotujący – na terenie innego województwa niż powiat dotujący.
15.
Ilekroć w niniejszym rozdziale jest mowa o najbliższej gminie prowadzącej szkołę, w której zorganizowano internat, należy przez to rozumieć w przypadku odpowiednio gminy wiejskiej, gminy miejsko-wiejskiej, gminy miejskiej, miasta na prawach powiatu do 150 tys. mieszkańców albo miasta na prawach powiatu powyżej 150 tys. mieszkańców gminę graniczącą:
1)
będącą odpowiednio gminą wiejską, gminą miejsko-wiejską, gminą miejską, miastem na prawach powiatu do 150 tys. mieszkańców albo miastem na prawach powiatu powyżej 150 tys. mieszkańców oraz
2)
prowadzącą co najmniej jedną szkołę, w której zorganizowano internat, oraz
3)
o najbardziej zbliżonym wskaźniku dochodów podatkowych na jednego mieszkańca w gminie, przez który należy rozumieć najmniejszą wartość bezwzględną różnicy pomiędzy wskaźnikiem dochodów podatkowych na jednego mieszkańca w gminie dotującej i wskaźnikiem dochodów podatkowych na jednego mieszkańca w gminie spełniającej warunki określone w pkt 1 i 2.
16.
W przypadku braku gminy spełniającej warunki, o których mowa w ust. 15 pkt 1 lub 2, przez najbliższą gminę prowadzącą szkołę, w której zorganizowano internat, należy rozumieć w przypadku odpowiednio gminy wiejskiej, gminy miejsko-wiejskiej, gminy miejskiej, miasta na prawach powiatu do 150 tys. mieszkańców albo miasta na prawach powiatu powyżej 150 tys. mieszkańców gminę:
1)
będącą odpowiednio gminą wiejską, gminą miejsko-wiejską, gminą miejską, miastem na prawach powiatu do 150 tys. mieszkańców albo miastem na prawach powiatu powyżej 150 tys. mieszkańców oraz
2)
prowadzącą co najmniej jedną szkołę, w której zorganizowano internat, oraz
3)
o najbardziej zbliżonym wskaźniku dochodów podatkowych na jednego mieszkańca w gminie, przez który należy rozumieć najmniejszą wartość bezwzględną różnicy pomiędzy wskaźnikiem dochodów podatkowych na jednego mieszkańca w gminie dotującej i wskaźnikiem dochodów podatkowych na jednego mieszkańca w gminie spełniającej warunki określone w pkt 1 i 2
-
położoną na terenie tego samego powiatu co gmina dotująca, w przypadku braku gminy położonej na terenie tego samego powiatu co gmina dotująca – gminę położoną na terenie tego samego województwa co gmina dotująca, a w przypadku braku gminy położonej na terenie tego samego województwa co gmina dotująca – na terenie innego województwa niż gmina dotująca.
17.
Ilekroć w niniejszym rozdziale jest mowa o najbliższym powiecie prowadzącym szkołę, w której zorganizowano internat, należy przez to rozumieć w przypadku odpowiednio powiatu niebędącego miastem na prawach powiatu, miasta na prawach powiatu do 150 tys. mieszkańców albo miasta na prawach powiatu powyżej 150 tys. mieszkańców powiat graniczący:
1)
będący odpowiednio powiatem niebędącym miastem na prawach powiatu, miastem na prawach powiatu do 150 tys. mieszkańców albo miastem na prawach powiatu powyżej 150 tys. mieszkańców oraz
2)
prowadzący co najmniej jedną szkołę, w której zorganizowano internat, oraz
3)
o najbardziej zbliżonym wskaźniku dochodów podatkowych na jednego mieszkańca w powiecie, przez który należy rozumieć najmniejszą wartość bezwzględną różnicy pomiędzy wskaźnikiem dochodów podatkowych na jednego mieszkańca w powiecie dotującym i wskaźnikiem dochodów podatkowych na jednego mieszkańca w powiecie spełniającym warunki określone w pkt 1 i 2.
18.
W przypadku braku powiatu spełniającego warunki, o których mowa w ust. 17 pkt 1 lub 2, przez najbliższy powiat prowadzący szkołę, w której zorganizowano internat, należy rozumieć w przypadku odpowiednio powiatu niebędącego miastem na prawach powiatu, miasta na prawach powiatu do 150 tys. mieszkańców albo miasta na prawach powiatu powyżej 150 tys. mieszkańców powiat:
1)
będący odpowiednio powiatem niebędącym miastem na prawach powiatu, miastem na prawach powiatu do 150 tys. mieszkańców albo miastem na prawach powiatu powyżej 150 tys. mieszkańców oraz
2)
prowadzący co najmniej jedną szkołę, w której zorganizowano internat, oraz
3)
o najbardziej zbliżonym wskaźniku dochodów podatkowych na jednego mieszkańca w powiecie, przez który należy rozumieć najmniejszą wartość bezwzględną różnicy pomiędzy wskaźnikiem dochodów podatkowych na jednego mieszkańca w powiecie dotującym i wskaźnikiem dochodów podatkowych na jednego mieszkańca w powiecie spełniającym warunki określone w pkt 1 i 2
-
położony na terenie tego samego województwa co powiat dotujący, a w przypadku braku powiatu położonego na terenie tego samego województwa co powiat dotujący – na terenie innego województwa niż powiat dotujący.
19.
Minister właściwy do spraw oświaty i wychowania udostępnia na stronie internetowej urzędu obsługującego tego ministra narzędzie pomocnicze w postaci elektronicznej aplikacji do ustalania, dla każdej gminy dotującej i każdego powiatu dotującego, wykazu odpowiednio gmin i powiatów:
1)
spełniających warunki, o których mowa w ust. 2 pkt 1, ust. 4 pkt 1, ust. 6 pkt 1, ust. 8 pkt 1, ust. 10 pkt 1, ust. 12 pkt 1, ust. 14 pkt 1, ust. 16 pkt 1 i ust. 18 pkt 1,
2)
spełniających warunki, o których mowa w ust. 2 pkt 3, ust. 4 pkt 3, ust. 6 pkt 3, ust. 8 pkt 3, ust. 10 pkt 3, ust. 12 pkt 3, ust. 14 pkt 3, ust. 16 pkt 3 i ust. 18 pkt 3
-
uszeregowanych pod względem najbardziej zbliżonego wskaźnika dochodów podatkowych na jednego mieszkańca, z wyszczególnieniem prowadzonych przez te gminy i powiaty przedszkoli, szkół w podziale na typy, w tym szkół będących szkołami specjalnymi, szkół niebędących szkołami specjalnymi, szkół, w których zorganizowano oddział przedszkolny lub internat, oraz placówek, o których mowa w art. 2 pkt 7 i 8 ustawy – Prawo oświatowe; wykaz jest ustalany na podstawie danych systemu informacji oświatowej według stanu na dzień 30 września roku bazowego.
20.
Najbliższa gmina lub powiat, o których mowa w ust. 1–18, przekazuje gminie dotującej lub powiatowi dotującemu, o których mowa w art. 16 ust. 1, art. 17 ust. 1 i 3, art. 18 ust. 1, art. 19 ust. 1 i 3, art. 20 ust. 1, art. 21 ust. 1 i 3, art. 25 ust. 1, 2, 4 i 8 oraz art. 28 ust. 1 i 3, dane niezbędne do wyliczenia podstawowej kwoty dotacji, o której mowa w art. 12, oraz wskaźnika zwiększającego, o którym mowa w art. 14, w terminie 30 dni od dnia wystąpienia przez gminę dotującą lub powiat dotujący o przekazanie tych danych.
Art. 11.
1.
Ilekroć w niniejszym rozdziale jest mowa o statystycznej liczbie dzieci objętych wczesnym wspomaganiem rozwoju, uczniów, wychowanków lub uczestników zajęć rewalidacyjno-wychowawczych, należy przez to rozumieć liczbę odpowiednio dzieci objętych wczesnym wspomaganiem rozwoju, uczniów, wychowanków lub uczestników zajęć rewalidacyjno-wychowawczych w prowadzonych przez jednostkę samorządu terytorialnego placówkach wychowania przedszkolnego, szkołach lub placówkach, ustaloną na podstawie danych systemu informacji oświatowej według stanu na dzień 30 września roku bazowego.
2.
Statystyczna liczba dzieci objętych wczesnym wspomaganiem rozwoju, uczniów, wychowanków lub uczestników zajęć rewalidacyjno-wychowawczych jest aktualizowana w październiku roku budżetowego. Zaktualizowana statystyczna liczba dzieci objętych wczesnym wspomaganiem rozwoju, uczniów, wychowanków lub uczestników zajęć rewalidacyjno-wychowawczych stanowi sumę 2/3 liczby odpowiednio dzieci objętych wczesnym wspomaganiem rozwoju, uczniów, wychowanków lub uczestników zajęć rewalidacyjno-wychowawczych w prowadzonych przez jednostkę samorządu terytorialnego placówkach wychowania przedszkolnego, szkołach lub placówkach, ustalonej na podstawie danych systemu informacji oświatowej według stanu na dzień 30 września roku bazowego, oraz 1/3 liczby odpowiednio dzieci objętych wczesnym wspomaganiem rozwoju, uczniów, wychowanków lub uczestników zajęć rewalidacyjno-wychowawczych w prowadzonych przez jednostkę samorządu terytorialnego placówkach wychowania przedszkolnego, szkołach lub placówkach, ustalonej na podstawie danych systemu informacji oświatowej według stanu na dzień 30 września roku budżetowego.
3.
Statystyczną liczbę dzieci objętych wczesnym wspomaganiem rozwoju, uczniów, wychowanków lub uczestników zajęć rewalidacyjno-wychowawczych oraz jej aktualizację, o której mowa w ust. 2, ustala się w zaokrągleniu do wartości setnych.
4.
Do obliczania statystycznej liczby uczniów niepełnosprawnych oraz statystycznej liczby uczniów niepełnosprawnych z danymi rodzajami niepełnosprawności stosuje się odpowiednio przepisy ust. 1–3.
Art. 12.
1.
Ilekroć w niniejszym rozdziale jest mowa o podstawowej kwocie dotacji dla przedszkoli, należy przez to rozumieć kwotę wydatków bieżących zaplanowanych na rok budżetowy na prowadzenie przez gminę przedszkoli, z wyłączeniem przedszkoli specjalnych i przedszkoli, w których zaplanowane wydatki bieżące finansowane z udziałem środków pochodzących z budżetu Unii Europejskiej przekraczają 50% ich zaplanowanych wydatków bieżących, pomniejszonych o:
1)
zaplanowane na rok budżetowy w budżecie gminy opłaty za korzystanie z wychowania przedszkolnego w tych przedszkolach, stanowiące dochody budżetu gminy,
2)
zaplanowane na rok budżetowy w budżecie gminy opłaty za wyżywienie w tych przedszkolach, stanowiące dochody budżetu gminy,
3)
sumę iloczynów odpowiednich kwot przewidzianych na rok budżetowy w części oświatowej subwencji ogólnej dla gminy na uczniów niepełnosprawnych z danymi rodzajami niepełnosprawności w przedszkolach oraz statystycznej liczby uczniów niepełnosprawnych z danymi rodzajami niepełnosprawności w tych przedszkolach,
4)
zaplanowane na rok budżetowy w budżecie gminy wydatki bieżące finansowane z udziałem środków pochodzących z budżetu Unii Europejskiej na prowadzenie tych przedszkoli,
5)
iloczyn kwoty przewidzianej na rok budżetowy w części oświatowej subwencji ogólnej dla gminy na dziecko objęte wczesnym wspomaganiem rozwoju w przedszkolu oraz statystycznej liczby dzieci objętych wczesnym wspomaganiem rozwoju w tych przedszkolach,
6)
iloczyn kwoty przewidzianej na rok budżetowy w części oświatowej subwencji ogólnej dla gminy na uczestnika zajęć rewalidacyjno-wychowawczych w przedszkolu oraz statystycznej liczby uczestników zajęć rewalidacyjno-wychowawczych w tych przedszkolach,
7)
zaplanowane na rok budżetowy w budżecie gminy wydatki bieżące na realizację programów rządowych, o których mowa w art. 90u ust. 1 ustawy z dnia 7 września 1991 r. o systemie oświaty, zwanej dalej „ustawą o systemie oświaty”, w tych przedszkolach
-
i podzielonych przez statystyczną liczbę uczniów w tych przedszkolach pomniejszoną o statystyczną liczbę uczniów niepełnosprawnych w tych przedszkolach.
2.
Ilekroć w niniejszym rozdziale jest mowa o podstawowej kwocie dotacji dla szkół podstawowych, w których zorganizowano oddział przedszkolny, należy przez to rozumieć kwotę wydatków bieżących zaplanowanych na rok budżetowy na prowadzenie przez gminę szkół podstawowych, w których zorganizowano oddział przedszkolny, z przeznaczeniem na ten oddział przedszkolny, z wyłączeniem szkół podstawowych specjalnych i szkół podstawowych, w których zorganizowano oddział przedszkolny, w którym zaplanowane wydatki bieżące finansowane z udziałem środków pochodzących z budżetu Unii Europejskiej przekraczają 50% jego zaplanowanych wydatków bieżących, pomniejszonych o:
1)
zaplanowane na rok budżetowy w budżecie gminy opłaty za korzystanie z wychowania przedszkolnego w tych oddziałach przedszkolnych w szkołach podstawowych, stanowiące dochody budżetu gminy,
2)
zaplanowane na rok budżetowy w budżecie gminy opłaty za wyżywienie w tych oddziałach przedszkolnych w szkołach podstawowych, stanowiące dochody budżetu gminy,
3)
sumę iloczynów odpowiednich kwot przewidzianych na rok budżetowy w części oświatowej subwencji ogólnej dla gminy na uczniów niepełnosprawnych z danymi rodzajami niepełnosprawności w oddziałach przedszkolnych w szkołach podstawowych oraz statystycznej liczby uczniów niepełnosprawnych z danymi rodzajami niepełnosprawności w tych oddziałach przedszkolnych w szkołach podstawowych,
4)
zaplanowane na rok budżetowy w budżecie gminy wydatki bieżące finansowane z udziałem środków pochodzących z budżetu Unii Europejskiej na prowadzenie tych szkół podstawowych, w których zorganizowano oddział przedszkolny, z przeznaczeniem na ten oddział przedszkolny,
5)
iloczyn kwoty przewidzianej na rok budżetowy w części oświatowej subwencji ogólnej dla gminy na dziecko objęte wczesnym wspomaganiem rozwoju w oddziale przedszkolnym w szkole podstawowej oraz statystycznej liczby dzieci objętych wczesnym wspomaganiem rozwoju w tych oddziałach przedszkolnych w szkołach podstawowych,
6)
iloczyn kwoty przewidzianej na rok budżetowy w części oświatowej subwencji ogólnej dla gminy na uczestnika zajęć rewalidacyjno-wychowawczych w oddziale przedszkolnym w szkole podstawowej oraz statystycznej liczby uczestników zajęć rewalidacyjno-wychowawczych w tych oddziałach przedszkolnych w szkołach podstawowych,
7)
zaplanowane na rok budżetowy w budżecie gminy wydatki bieżące na realizację programów rządowych, o których mowa w art. 90u ust. 1 ustawy o systemie oświaty, w tych oddziałach przedszkolnych w szkołach podstawowych
-
i podzielonych przez statystyczną liczbę uczniów w tych oddziałach przedszkolnych w szkołach podstawowych pomniejszoną o statystyczną liczbę uczniów niepełnosprawnych w tych oddziałach przedszkolnych w szkołach podstawowych.
3.
Ilekroć w niniejszym rozdziale jest mowa o podstawowej kwocie dotacji dla placówek danego rodzaju, o których mowa w art. 2 pkt 7 i 8 ustawy – Prawo oświatowe, należy przez to rozumieć kwotę wydatków bieżących zaplanowanych na rok budżetowy na prowadzenie przez powiat placówek danego rodzaju, o których mowa w art. 2 pkt 7 i 8 ustawy – Prawo oświatowe, z wyłączeniem szkół funkcjonujących w młodzieżowych ośrodkach wychowawczych, młodzieżowych ośrodkach socjoterapii i specjalnych ośrodkach szkolno-wychowawczych, pomniejszonych o:
1)
zaplanowane na rok budżetowy w budżecie powiatu opłaty za korzystanie z pobytu i wyżywienie w tych placówkach, stanowiące dochody budżetu powiatu,
2)
zaplanowane na rok budżetowy w budżecie powiatu wydatki bieżące finansowane z udziałem środków pochodzących z budżetu Unii Europejskiej na prowadzenie tych placówek,
3)
iloczyn kwoty przewidzianej na rok budżetowy w części oświatowej subwencji ogólnej dla powiatu na dziecko objęte wczesnym wspomaganiem rozwoju w placówce danego rodzaju oraz statystycznej liczby dzieci objętych wczesnym wspomaganiem rozwoju w tych placówkach,
4)
iloczyn kwoty przewidzianej na rok budżetowy w części oświatowej subwencji ogólnej dla powiatu na uczestnika zajęć rewalidacyjno-wychowawczych w placówce danego rodzaju oraz statystycznej liczby uczestników zajęć rewalidacyjno-wychowawczych w tych placówkach,
5)
zaplanowane na rok budżetowy w budżecie powiatu wydatki bieżące na realizację programów rządowych, o których mowa w art. 90u ust. 1 ustawy o systemie oświaty, w tych placówkach
-
i podzielonych przez statystyczną liczbę wychowanków w tych placówkach.
4.
Ilekroć w niniejszym rozdziale jest mowa o podstawowej kwocie dotacji dla szkół, w których zorganizowano internat, należy przez to rozumieć kwotę wydatków bieżących zaplanowanych na rok budżetowy na finansowanie działalności internatów w szkołach prowadzonych przez jednostkę samorządu terytorialnego, pomniejszonych o zaplanowane na rok budżetowy w budżecie jednostki samorządu terytorialnego:
1)
opłaty za korzystanie z pobytu i wyżywienie w tych internatach, stanowiące dochody budżetu jednostki samorządu terytorialnego,
2)
wydatki bieżące finansowane z udziałem środków pochodzących z budżetu Unii Europejskiej na finansowanie działalności tych internatów,
3)
wydatki bieżące na realizację programów rządowych, o których mowa w art. 90u ust. 1 ustawy o systemie oświaty, w tych internatach
-
i podzielonych przez statystyczną liczbę wychowanków w tych internatach.
Art. 13.
1.
Ilekroć w niniejszym rozdziale jest mowa o podstawowej kwocie dotacji dla szkół artystycznych danego typu, należy przez to rozumieć kwotę wydatków bieżących zaplanowanych na rok budżetowy na prowadzenie przez ministra właściwego do spraw kultury i ochrony dziedzictwa narodowego szkół artystycznych danego typu, pomniejszonych o zaplanowane na rok budżetowy w części budżetu państwa, której dysponentem jest ten minister:
1)
wydatki bieżące finansowane z udziałem środków pochodzących z budżetu Unii Europejskiej na prowadzenie tych szkół,
2)
wydatki bieżące na zapewnienie uczniom szkół artystycznych realizujących kształcenie ogólne w zakresie szkoły podstawowej prawa do bezpłatnego dostępu do podręczników, materiałów edukacyjnych lub materiałów ćwiczeniowych, o którym mowa w art. 54 ust. 1, w tych szkołach,
3)
wydatki bieżące na finansowanie działalności internatów w tych szkołach,
4)
wydatki bieżące na realizację programów rządowych, o których mowa w art. 90u ust. 1 ustawy o systemie oświaty, w tych szkołach
-
i podzielonych przez statystyczną liczbę uczniów w tych szkołach.
2.
Ilekroć w niniejszym rozdziale jest mowa o podstawowej kwocie dotacji dla szkół artystycznych realizujących kształcenie ogólne, należy przez to rozumieć kwotę wydatków bieżących zaplanowanych na rok budżetowy na prowadzenie przez ministra właściwego do spraw kultury i ochrony dziedzictwa narodowego szkół artystycznych realizujących kształcenie ogólne, pomniejszonych o zaplanowane na rok budżetowy w części budżetu państwa, której dysponentem jest ten minister:
1)
wydatki bieżące finansowane z udziałem środków pochodzących z budżetu Unii Europejskiej na prowadzenie tych szkół,
2)
wydatki bieżące na zapewnienie uczniom prawa do bezpłatnego dostępu do podręczników, materiałów edukacyjnych lub materiałów ćwiczeniowych, o którym mowa w art. 54 ust. 1, w tych szkołach,
3)
wydatki bieżące na finansowanie działalności internatów w tych szkołach,
4)
wydatki bieżące na realizację programów rządowych, o których mowa w art. 90u ust. 1 ustawy o systemie oświaty, w tych szkołach
-
i podzielonych przez statystyczną liczbę uczniów w tych szkołach.
3.
Ilekroć w niniejszym rozdziale jest mowa o podstawowej kwocie dotacji dla szkół artystycznych realizujących wyłącznie kształcenie artystyczne, należy przez to rozumieć kwotę wydatków bieżących zaplanowanych na rok budżetowy na prowadzenie przez ministra właściwego do spraw kultury i ochrony dziedzictwa narodowego szkół artystycznych realizujących wyłącznie kształcenie artystyczne, pomniejszonych o zaplanowane na rok budżetowy w części budżetu państwa, której dysponentem jest ten minister:
1)
wydatki bieżące finansowane z udziałem środków pochodzących z budżetu Unii Europejskiej na prowadzenie tych szkół,
2)
wydatki bieżące na finansowanie działalności internatów w tych szkołach,
3)
wydatki bieżące na realizację programów rządowych, o których mowa w art. 90u ust. 1 ustawy o systemie oświaty, w tych szkołach
-
i podzielonych przez statystyczną liczbę uczniów w tych szkołach.
4.
Ilekroć w niniejszym rozdziale jest mowa o podstawowej kwocie dotacji dla szkół artystycznych, w których zorganizowano internat, należy przez to rozumieć kwotę wydatków bieżących zaplanowanych na rok budżetowy na finansowanie działalności internatów w szkołach prowadzonych przez ministra właściwego do spraw kultury i ochrony dziedzictwa narodowego, pomniejszonych o zaplanowane na rok budżetowy w części budżetu państwa, której dysponentem jest ten minister:
1)
wydatki bieżące finansowane z udziałem środków pochodzących z budżetu Unii Europejskiej na finansowanie działalności tych internatów,
2)
wydatki bieżące na realizację programów rządowych, o których mowa w art. 90u ust. 1 ustawy o systemie oświaty, w tych internatach
-
i podzielonych przez statystyczną liczbę wychowanków w tych internatach.
5.
Przez wydatki bieżące, o których mowa w ust. 1–4, należy rozumieć wydatki bieżące na prowadzenie przez ministra właściwego do spraw kultury i ochrony dziedzictwa narodowego odpowiednio szkół artystycznych danego typu, szkół artystycznych realizujących kształcenie ogólne lub szkół artystycznych realizujących wyłącznie kształcenie artystyczne lub na finansowanie działalności internatów w szkołach prowadzonych przez ministra właściwego do spraw kultury i ochrony dziedzictwa narodowego zaplanowane na dany rok budżetowy w części budżetu państwa, której dysponentem jest ten minister, bez uwzględnienia wydatków zaplanowanych na wydzielonym rachunku, o którym mowa w art. 11a ustawy z dnia 27 sierpnia 2009 r. o finansach publicznych.
Art. 14.
1.
Wskaźnik zwiększający dla szkół danego typu niebędących szkołami specjalnymi oblicza się według następującego wzoru:

w którym poszczególne symbole oznaczają:
Wzt– wskaźnik zwiększający dla szkół danego typu niebędących szkołami specjalnymi w roku budżetowym,
Wbt-1– wydatki bieżące poniesione w roku bazowym z budżetu jednostki samorządu terytorialnego na prowadzenie przez tę jednostkę szkół danego typu niebędących szkołami specjalnymi,
t-1– wykonane w roku bazowym w budżecie jednostki samorządu terytorialnego dochody z tytułu opłat za wy- żywienie w prowadzonych przez tę jednostkę szkołach danego typu niebędących szkołami specjalnymi,
WbUEt-1– poniesione w roku bazowym z budżetu jednostki samorządu terytorialnego wydatki bieżące finansowane z udziałem środków pochodzących z budżetu Unii Europejskiej na prowadzenie przez tę jednostkę szkół danego typu niebędących szkołami specjalnymi,
Dpt-1– wykorzystaną w roku bazowym przez jednostkę samorządu terytorialnego kwotę dotacji, o której mowa w art. 55 ust. 3, dla prowadzonych przez tę jednostkę szkół danego typu niebędących szkołami specjalnymi,
WbIt-1– poniesione w roku bazowym z budżetu jednostki samorządu terytorialnego wydatki bieżące na finansowanie działalności internatów w prowadzonych przez tę jednostkę szkołach danego typu niebędących szkołami specjalnymi,
WbPt-1– poniesione w roku bazowym z budżetu jednostki samorządu terytorialnego wydatki bieżące na realizację programów rządowych, o których mowa w art. 90u ust. 1 ustawy o systemie oświaty, w prowadzonych przez tę jednostkę szkołach danego typu niebędących szkołami specjalnymi,
St-1– kwotę przewidzianą w części oświatowej subwencji ogólnej dla jednostki samorządu terytorialnego w roku bazowym na prowadzenie przez tę jednostkę szkół danego typu niebędących szkołami specjalnymi, bez uwzględnienia kwoty przewidzianej w części oświatowej subwencji ogólnej dla jednostki samorządu terytorialnego na wychowanków internatów w prowadzonych przez tę jednostkę szkołach danego typu niebędących szkołami specjalnymi,
Lut-2– liczbę dzieci objętych wczesnym wspomaganiem rozwoju, uczniów i uczestników zajęć rewalidacyjno-wychowawczych, ustaloną na podstawie danych systemu informacji oświatowej według stanu na dzień 30 września roku poprzedzającego rok bazowy, w prowadzonych przez jednostkę samorządu terytorialnego szkołach danego typu niebędących szkołami specjalnymi,
Lut-1– liczbę dzieci objętych wczesnym wspomaganiem rozwoju, uczniów i uczestników zajęć rewalidacyjno-wychowawczych, ustaloną na podstawie danych systemu informacji oświatowej według stanu na dzień 30 września roku bazowego, w prowadzonych przez jednostkę samorządu terytorialnego szkołach danego typu niebędących szkołami specjalnymi.
2.
Wskaźnik zwiększający dla szkół danego typu będących szkołami specjalnymi oblicza się według następującego wzoru:

w którym poszczególne symbole oznaczają:
WZt – wskaźnik zwiększający dla szkół danego typu będących szkołami specjalnymi w roku budżetowym,
Wbt-1 – wydatki bieżące poniesione w roku bazowym z budżetu jednostki samorządu terytorialnego na prowadzenie przez tę jednostkę szkół danego typu będących szkołami specjalnymi,
0t-1 – wykonane w roku bazowym w budżecie jednostki samorządu terytorialnego dochody z tytułu opłat za wyżywienie w prowadzonych przez tę jednostkę szkołach danego typu będących szkołami specjalnymi,
WbUEt-1– poniesione w roku bazowym z budżetu jednostki samorządu terytorialnego wydatki bieżące finansowane z udziałem środków pochodzących z budżetu Unii Europejskiej na prowadzenie przez tę jednostkę szkół danego typu będących szkołami specjalnymi,
Dpt-1– wykorzystaną w roku bazowym przez jednostkę samorządu terytorialnego kwotę dotacji, o której mowa w art. 55 ust. 3, dla prowadzonych przez tę jednostkę szkół danego typu będących szkołami specjalnymi,
WbIt-1– poniesione w roku bazowym z budżetu jednostki samorządu terytorialnego wydatki bieżące na finansowanie działalności internatów w prowadzonych przez tę jednostkę szkołach danego typu będących szkołami specjalnymi,
WbPt-1– poniesione w roku bazowym z budżetu jednostki samorządu terytorialnego wydatki bieżące na realizację programów rządowych, o których mowa w art. 90u ust. 1 ustawy o systemie oświaty, w prowadzonych przez tę jednostkę szkołach danego typu będących szkołami specjalnymi,
St-1– kwotę przewidzianą w części oświatowej subwencji ogólnej dla jednostki samorządu terytorialnego w roku bazowym na prowadzenie przez tę jednostkę szkół danego typu będących szkołami specjalnymi, bez uwzględnienia kwoty przewidzianej w części oświatowej subwencji ogólnej dla jednostki samorządu terytorialnego na wychowanków internatów w prowadzonych przez tę jednostkę szkołach danego typu będących szkołami specjalnymi,
Lut-2– liczbę dzieci objętych wczesnym wspomaganiem rozwoju, uczniów i uczestników zajęć rewalidacyjno-wychowawczych, ustaloną na podstawie danych systemu informacji oświatowej według stanu na dzień 30 września roku poprzedzającego rok bazowy, w prowadzonych przez jednostkę samorządu terytorialnego szkołach danego typu będących szkołami specjalnymi,
Lut-1– liczbę dzieci objętych wczesnym wspomaganiem rozwoju, uczniów i uczestników zajęć rewalidacyjno-wychowawczych, ustaloną na podstawie danych systemu informacji oświatowej według stanu na dzień 30 września roku bazowego, w prowadzonych przez jednostkę samorządu terytorialnego szkołach danego typu będących szkołami specjalnymi.
3.
Do kwoty przewidzianej w części oświatowej subwencji ogólnej dla jednostki samorządu terytorialnego, o której mowa w ust. 1 i 2, nie wlicza się środków otrzymanych z rezerwy części oświatowej subwencji ogólnej, o której mowa w art. 28 ust. 2 ustawy z dnia 13 listopada 2003 r. o dochodach jednostek samorządu terytorialnego.
4.
W przypadku braku na terenie gminy odpowiednio szkoły danego typu niebędącej szkołą specjalną lub szkoły danego typu będącej szkołą specjalną prowadzonej przez tę gminę przyjmuje się wskaźnik zwiększający, o którym mowa w ust. 1 i 2, obliczony odpowiednio dla najbliższej gminy prowadzącej szkołę danego typu niebędącą szkołą specjalną lub dla najbliższej gminy prowadzącej szkołę danego typu będącą szkołą specjalną.
5.
W przypadku braku na terenie powiatu odpowiednio szkoły danego typu niebędącej szkołą specjalną lub szkoły danego typu będącej szkołą specjalną prowadzonej przez ten powiat przyjmuje się wskaźnik zwiększający, o którym mowa w ust. 1 i 2, obliczony odpowiednio dla najbliższego powiatu prowadzącego szkołę danego typu niebędącą szkołą specjalną lub dla najbliższego powiatu prowadzącego szkołę danego typu będącą szkołą specjalną.
6.
W przypadku szkoły podstawowej prowadzonej przez gminę miejsko-wiejską wskaźnik zwiększający, o którym mowa w ust. 1 i 2, oblicza się odrębnie dla szkoły podstawowej położonej na terenie wsi i miasta do 5 tys. mieszkańców oraz dla szkoły podstawowej położonej na terenie miasta powyżej 5 tys. mieszkańców.
7.
W przypadku braku na terenie gminy miejsko-wiejskiej odpowiednio:
1)
szkoły podstawowej położonej na terenie wsi i miasta do 5 tys. mieszkańców niebędącej szkołą specjalną,
2)
szkoły podstawowej położonej na terenie wsi i miasta do 5 tys. mieszkańców będącej szkołą specjalną,
3)
szkoły podstawowej położonej na terenie miasta powyżej 5 tys. mieszkańców niebędącej szkołą specjalną,
4)
szkoły podstawowej położonej na terenie miasta powyżej 5 tys. mieszkańców będącej szkołą specjalną
-
prowadzonych przez tę gminę, przyjmuje się wskaźnik zwiększający, o którym mowa w ust. 1 i 2, obliczony odrębnie dla najbliższej gminy prowadzącej szkołę danego typu niebędącą szkołą specjalną albo dla najbliższej gminy prowadzącej szkołę danego typu będącą szkołą specjalną, z tym że najbliższą gminę ustala się odrębnie dla szkoły podstawowej położonej na terenie wsi i miasta do 5 tys. mieszkańców oraz dla szkoły podstawowej położonej na terenie miasta powyżej 5 tys. mieszkańców.
8.
Wskaźnik zwiększający, o którym mowa w ust. 1 i 2, w okresie do ostatniego dnia miesiąca pierwszej aktualizacji, o którym mowa w art. 43 ust. 2 pkt 1, przyjmuje się w wysokości równej wskaźnikowi ustalonemu dla roku poprzedniego.
9.
Wskaźnik zwiększający, o którym mowa w ust. 1 i 2, ustala się w zaokrągleniu do wartości tysięcznych, z tym że nie może być on mniejszy niż wartość 1.
Art. 15.
Prowadzone przez osoby prawne niebędące jednostkami samorządu terytorialnego oraz osoby fizyczne przedszkola, inne formy wychowania przedszkolnego, szkoły podstawowe, specjalne ośrodki szkolno-wychowawcze, specjalne ośrodki wychowawcze, ośrodki rewalidacyjno-wychowawcze oraz poradnie psychologiczno-pedagogiczne, w tym poradnie specjalistyczne, które zgodnie z art. 127 ust. 5 ustawy – Prawo oświatowe prowadzą wczesne wspomaganie rozwoju dziecka, otrzymują na każde dziecko objęte wczesnym wspomaganiem rozwoju, niezależnie od dotacji, o których mowa w art. 16–21, art. 25 ust. 1 i 2, art. 26 ust. 1 i art. 28–30, dotację z budżetu odpowiednio gminy lub powiatu w wysokości równej kwocie przewidzianej na takie dziecko objęte wczesnym wspomaganiem rozwoju w części oświatowej subwencji ogólnej odpowiednio dla gminy lub powiatu.
Art. 16.
1.
Prowadzone przez osoby prawne niebędące jednostkami samorządu terytorialnego oraz osoby fizyczne publiczne przedszkola niebędące przedszkolami specjalnymi otrzymują na każdego ucznia z budżetu gminy dotację w wysokości równej podstawowej kwocie dotacji dla przedszkoli, z tym że na ucznia niepełnosprawnego w wysokości nie niższej niż kwota przewidziana na takiego ucznia niepełnosprawnego przedszkola w części oświatowej subwencji ogólnej dla gminy.
2.
W przypadku braku na terenie gminy przedszkola prowadzonego przez gminę, w którym zaplanowane wydatki bieżące finansowane z udziałem środków pochodzących z budżetu Unii Europejskiej nie przekraczają 50% jego zaplanowanych wydatków bieżących, niebędącego przedszkolem specjalnym, kwotę dotacji, o której mowa w ust. 1, określa się w wysokości równej podstawowej kwocie dotacji dla przedszkoli w najbliższej gminie prowadzącej przedszkole, z tym że na ucznia niepełnosprawnego w wysokości nie niższej niż kwota przewidziana na takiego ucznia niepełnosprawnego przedszkola w części oświatowej subwencji ogólnej dla gminy.
3.
Prowadzone przez osoby prawne niebędące jednostkami samorządu terytorialnego oraz osoby fizyczne publiczne przedszkola specjalne otrzymują na każdego ucznia z budżetu gminy dotację w wysokości równej kwocie przewidzianej na takiego ucznia niepełnosprawnego przedszkola w części oświatowej subwencji ogólnej dla gminy.
Art. 17.
1.
Niepubliczne przedszkole niebędące przedszkolem specjalnym otrzymuje na każdego ucznia z budżetu gminy dotację w wysokości równej podstawowej kwocie dotacji dla przedszkoli, z tym że na ucznia niepełnosprawnego w wysokości nie niższej niż kwota przewidziana na takiego ucznia niepełnosprawnego przedszkola w części oświatowej subwencji ogólnej dla gminy, jeżeli to przedszkole spełnia następujące warunki:
1)
określone w art. 13 ust. 1 ustawy – Prawo oświatowe, z tym że czas bezpłatnego nauczania, wychowania i opieki, o którym mowa w art. 13 ust. 1 pkt 2 ustawy – Prawo oświatowe, nie może być krótszy niż czas bezpłatnego nauczania, wychowania i opieki ustalony przez radę gminy dla przedszkoli prowadzonych przez gminę,
2)
pobiera opłaty za korzystanie z wychowania przedszkolnego nie wyższe niż opłaty ustalone przez radę gminy na podstawie art. 52 ust. 1 pkt 1,
3)
prowadzi dokumentację przebiegu nauczania, wychowania i opieki ustaloną dla publicznych przedszkoli,
4)
liczba uczniów w oddziale przedszkolnym nie jest wyższa niż liczba uczniów w oddziale publicznego przedszkola określona w przepisach wydanych na podstawie art. 111 ustawy – Prawo oświatowe,
5)
zapewnia uczniom pomoc psychologiczno-pedagogiczną zgodnie z przepisami wydanymi na podstawie art. 47 ust. 1 pkt 5 ustawy – Prawo oświatowe,
6)
stosuje zasady przyjmowania do publicznych przedszkoli określone w rozdziale 6 ustawy – Prawo oświatowe
-
z zastrzeżeniem art. 22.
2.
W przypadku braku na terenie gminy przedszkola prowadzonego przez gminę, w którym zaplanowane wydatki bieżące finansowane z udziałem środków pochodzących z budżetu Unii Europejskiej nie przekraczają 50% jego zaplanowanych wydatków bieżących, niebędącego przedszkolem specjalnym, kwotę dotacji, o której mowa w ust. 1, określa się w wysokości równej podstawowej kwocie dotacji dla przedszkoli w najbliższej gminie prowadzącej przedszkole, z tym że na ucznia niepełnosprawnego w wysokości nie niższej niż kwota przewidziana na takiego ucznia niepełnosprawnego przedszkola w części oświatowej subwencji ogólnej dla gminy.
3.
Niepubliczne przedszkole niebędące przedszkolem specjalnym niespełniające warunków, o których mowa w ust. 1, otrzymuje na każdego ucznia dotację z budżetu gminy w wysokości równej 75% podstawowej kwoty dotacji dla przedszkoli, z tym że na ucznia niepełnosprawnego w wysokości nie niższej niż kwota przewidziana na takiego ucznia niepełnosprawnego przedszkola w części oświatowej subwencji ogólnej dla gminy.
4.
W przypadku braku na terenie gminy przedszkola prowadzonego przez gminę, w którym zaplanowane wydatki bieżące finansowane z udziałem środków pochodzących z budżetu Unii Europejskiej nie przekraczają 50% jego zaplanowanych wydatków bieżących, niebędącego przedszkolem specjalnym, kwotę dotacji, o której mowa w ust. 3, określa się w wysokości równej 75% podstawowej kwoty dotacji dla przedszkoli w najbliższej gminie prowadzącej przedszkole, z tym że na ucznia niepełnosprawnego w wysokości nie niższej niż kwota przewidziana na takiego ucznia niepełnosprawnego przedszkola w części oświatowej subwencji ogólnej dla gminy.
5.
Niepubliczne przedszkole specjalne otrzymuje na każdego ucznia dotację z budżetu gminy w wysokości równej kwocie przewidzianej na takiego ucznia niepełnosprawnego przedszkola w części oświatowej subwencji ogólnej dla gminy.
Art. 18.
1.
Prowadzone przez osoby prawne niebędące jednostkami samorządu terytorialnego oraz osoby fizyczne publiczne szkoły podstawowe, w których zorganizowano oddział przedszkolny, niebędące szkołami specjalnymi otrzymują na każdego ucznia oddziału przedszkolnego z budżetu gminy dotację w wysokości równej podstawowej kwocie dotacji dla szkół podstawowych, w których zorganizowano oddział przedszkolny, z tym że na ucznia niepełnosprawnego w wysokości nie niższej niż kwota przewidziana na takiego ucznia niepełnosprawnego oddziału przedszkolnego w szkole podstawowej w części oświatowej subwencji ogólnej dla gminy.
2.
W przypadku braku na terenie gminy szkoły podstawowej prowadzonej przez gminę, w której zorganizowano oddział przedszkolny, w którym zaplanowane wydatki bieżące finansowane z udziałem środków pochodzących z budżetu Unii Europejskiej nie przekraczają 50% jego zaplanowanych wydatków bieżących, niebędącej szkołą specjalną, kwotę dotacji, o której mowa w ust. 1, określa się w wysokości równej podstawowej kwocie dotacji dla szkół podstawowych, w których zorganizowano oddział przedszkolny, w najbliższej gminie prowadzącej szkołę podstawową, w której zorganizowano oddział przedszkolny, z tym że na ucznia niepełnosprawnego w wysokości nie niższej niż kwota przewidziana na takiego ucznia niepełnosprawnego oddziału przedszkolnego w szkole podstawowej w części oświatowej subwencji ogólnej dla gminy.
3.
Prowadzone przez osoby prawne niebędące jednostkami samorządu terytorialnego oraz osoby fizyczne publiczne szkoły podstawowe specjalne, w których zorganizowano oddział przedszkolny, otrzymują na każdego ucznia oddziału przedszkolnego z budżetu powiatu dotację w wysokości równej kwocie przewidzianej na takiego ucznia niepełnosprawnego oddziału przedszkolnego w szkole podstawowej w części oświatowej subwencji ogólnej dla powiatu.
Art. 19.
1.
Niepubliczna szkoła podstawowa, w której zorganizowano oddział przedszkolny, niebędąca szkołą specjalną otrzymuje na każdego ucznia oddziału przedszkolnego z budżetu gminy dotację w wysokości równej podstawowej kwocie dotacji dla szkół podstawowych, w których zorganizowano oddział przedszkolny, z tym że na ucznia niepełnosprawnego w wysokości nie niższej niż kwota przewidziana na takiego ucznia niepełnosprawnego oddziału przedszkolnego w szkole podstawowej w części oświatowej subwencji ogólnej dla gminy, jeżeli ten oddział przedszkolny w szkole podstawowej spełnia następujące warunki:
1)
określone w art. 13 ust. 1 ustawy – Prawo oświatowe, z tym że czas bezpłatnego nauczania, wychowania i opieki, o którym mowa w art. 13 ust. 1 pkt 2 ustawy – Prawo oświatowe, nie może być krótszy niż czas bezpłatnego nauczania, wychowania i opieki ustalony przez radę gminy dla przedszkoli prowadzonych przez gminę,
2)
pobiera opłaty za korzystanie z wychowania przedszkolnego nie wyższe niż opłaty ustalone przez radę gminy na podstawie art. 52 ust. 1 pkt 1,
3)
prowadzi dokumentację przebiegu nauczania, wychowania i opieki ustaloną dla publicznych przedszkoli,
4)
liczba uczniów w oddziale przedszkolnym nie jest wyższa niż liczba uczniów w oddziale publicznego przedszkola określona w przepisach wydanych na podstawie art. 111 ustawy – Prawo oświatowe,
5)
zapewnia uczniom pomoc psychologiczno-pedagogiczną zgodnie z przepisami wydanymi na podstawie art. 47 ust. 1 pkt 5 ustawy – Prawo oświatowe,
6)
stosuje zasady przyjmowania do publicznych przedszkoli określone w rozdziale 6 ustawy – Prawo oświatowe
-
z zastrzeżeniem art. 22.
2.
W przypadku braku na terenie gminy szkoły podstawowej prowadzonej przez gminę, w której zorganizowano oddział przedszkolny, w którym zaplanowane wydatki bieżące finansowane z udziałem środków pochodzących z budżetu Unii Europejskiej nie przekraczają 50% jego zaplanowanych wydatków bieżących, niebędącej szkołą specjalną, kwotę dotacji, o której mowa w ust. 1, określa się w wysokości równej podstawowej kwocie dotacji dla szkół podstawowych, w których zorganizowano oddział przedszkolny, w najbliższej gminie prowadzącej szkołę podstawową, w której zorganizowano oddział przedszkolny, z tym że na ucznia niepełnosprawnego w wysokości nie niższej niż kwota przewidziana na takiego ucznia niepełnosprawnego oddziału przedszkolnego w szkole podstawowej w części oświatowej subwencji ogólnej dla gminy.
3.
Niepubliczna szkoła podstawowa, w której zorganizowano oddział przedszkolny, niebędąca szkołą specjalną, niespełniająca warunków, o których mowa w ust. 1, otrzymuje na każdego ucznia oddziału przedszkolnego z budżetu gminy dotację w wysokości równej 75% podstawowej kwoty dotacji dla szkół podstawowych, w których zorganizowano oddział przedszkolny, z tym że na ucznia niepełnosprawnego w wysokości nie niższej niż kwota przewidziana na takiego ucznia niepełnosprawnego oddziału przedszkolnego w szkole podstawowej w części oświatowej subwencji ogólnej dla gminy.
4.
W przypadku braku na terenie gminy szkoły podstawowej prowadzonej przez gminę, w której zorganizowano oddział przedszkolny, w którym zaplanowane wydatki bieżące finansowane z udziałem środków pochodzących z budżetu Unii Europejskiej nie przekraczają 50% jego zaplanowanych wydatków bieżących, niebędącej szkołą specjalną, kwotę dotacji, o której mowa w ust. 3, określa się w wysokości równej 75% podstawowej kwoty dotacji dla szkół podstawowych, w których zorganizowano oddział przedszkolny, w najbliższej gminie prowadzącej szkołę podstawową, w której zorganizowano oddział przedszkolny, z tym że na ucznia niepełnosprawnego w wysokości nie niższej niż kwota przewidziana na takiego ucznia niepełnosprawnego oddziału przedszkolnego w szkole podstawowej w części oświatowej subwencji ogólnej dla gminy.
5.
Niepubliczna szkoła podstawowa specjalna, w której zorganizowano oddział przedszkolny, otrzymuje na każdego ucznia oddziału przedszkolnego z budżetu powiatu dotację w wysokości równej kwocie przewidzianej na takiego ucznia niepełnosprawnego oddziału przedszkolnego w szkole podstawowej w części oświatowej subwencji ogólnej dla powiatu.
Art. 20.
1.
Prowadzone przez osoby prawne niebędące jednostkami samorządu terytorialnego oraz osoby fizyczne publiczne inne formy wychowania przedszkolnego otrzymują na każdego ucznia dotację z budżetu gminy w wysokości równej 50% podstawowej kwoty dotacji dla przedszkoli, z tym że na ucznia niepełnosprawnego w wysokości nie niższej niż kwota przewidziana na takiego ucznia niepełnosprawnego innej formy wychowania przedszkolnego w części oświatowej subwencji ogólnej dla gminy.
2.
W przypadku braku na terenie gminy przedszkola prowadzonego przez gminę, w którym zaplanowane wydatki bieżące finansowane z udziałem środków pochodzących z budżetu Unii Europejskiej nie przekraczają 50% jego zaplanowanych wydatków bieżących, niebędącego przedszkolem specjalnym, kwotę dotacji, o której mowa w ust. 1, określa się w wysokości równej 50% podstawowej kwoty dotacji dla przedszkoli w najbliższej gminie prowadzącej przedszkole, z tym że na ucznia niepełnosprawnego w wysokości nie niższej niż kwota przewidziana na takiego ucznia niepełnosprawnego innej formy wychowania przedszkolnego w części oświatowej subwencji ogólnej dla gminy.
Art. 21.
1.
Niepubliczna inna forma wychowania przedszkolnego otrzymuje na każdego ucznia z budżetu gminy dotację w wysokości równej 50% podstawowej kwoty dotacji dla przedszkoli, z tym że na ucznia niepełnosprawnego w wysokości nie niższej niż kwota przewidziana na takiego ucznia niepełnosprawnego innej formy wychowania przedszkolnego w części oświatowej subwencji ogólnej dla gminy, jeżeli ta inna forma wychowania przedszkolnego spełnia następujące warunki:
1)
określone w art. 13 ust. 1 pkt 3 i ust. 2 ustawy – Prawo oświatowe, z tym że czas bezpłatnego nauczania, wychowania i opieki, o którym mowa w art. 13 ust. 2 ustawy – Prawo oświatowe, nie może być krótszy niż czas bezpłatnego nauczania, wychowania i opieki ustalony przez radę gminy dla publicznych innych form wychowania przedszkolnego prowadzonych przez gminę,
2)
pobiera opłaty za korzystanie z wychowania przedszkolnego nie wyższe niż opłaty ustalone przez radę gminy na podstawie art. 52 ust. 1 pkt 1,
3)
stosuje zasady przyjmowania do publicznych innych form wychowania przedszkolnego określone w rozdziale 6 ustawy – Prawo oświatowe
2.
W przypadku braku na terenie gminy przedszkola prowadzonego przez gminę, w którym zaplanowane wydatki bieżące finansowane z udziałem środków pochodzących z budżetu Unii Europejskiej nie przekraczają 50% jego zaplanowanych wydatków bieżących, niebędącego przedszkolem specjalnym, kwotę dotacji, o której mowa w ust. 1, określa się w wysokości równej 50% podstawowej kwoty dotacji dla przedszkoli w najbliższej gminie prowadzącej przedszkole, z tym że na ucznia niepełnosprawnego w wysokości nie niższej niż kwota przewidziana na takiego ucznia niepełnosprawnego innej formy wychowania przedszkolnego w części oświatowej subwencji ogólnej dla gminy.
3.
Niepubliczna inna forma wychowania przedszkolnego niespełniająca warunków, o których mowa w ust. 1, otrzymuje na każdego ucznia dotację z budżetu gminy w wysokości równej 40% podstawowej kwoty dotacji dla przedszkoli, z tym że na ucznia niepełnosprawnego w wysokości nie niższej niż kwota przewidziana na takiego ucznia niepełnosprawnego innej formy wychowania przedszkolnego w części oświatowej subwencji ogólnej dla gminy.
4.
W przypadku braku na terenie gminy przedszkola prowadzonego przez gminę, w którym zaplanowane wydatki bieżące finansowane z udziałem środków pochodzących z budżetu Unii Europejskiej nie przekraczają 50% jego zaplanowanych wydatków bieżących, niebędącego przedszkolem specjalnym, kwotę dotacji, o której mowa w ust. 3, określa się w wysokości równej 40% podstawowej kwoty dotacji dla przedszkoli w najbliższej gminie prowadzącej przedszkole, z tym że na ucznia niepełnosprawnego w wysokości nie niższej niż kwota przewidziana na takiego ucznia niepełnosprawnego innej formy wychowania przedszkolnego w części oświatowej subwencji ogólnej dla gminy.
Art. 22.
1.
Dotację, o której mowa w art. 17 ust. 1, art. 19 ust. 1 lub art. 21 ust. 1, przyznaje się po przeprowadzeniu otwartego konkursu ofert ogłaszanego przez wójta (burmistrza, prezydenta miasta). Do ogłoszenia otwartego konkursu ofert stosuje się odpowiednio przepisy art. 13 ustawy z dnia 24 kwietnia 2003 r. o działalności pożytku publicznego i o wolontariacie (Dz. U. z 2016 r. poz. 1817 i 1948 oraz z 2017 r. poz. 60, 573 i 1909).
2.
Organ prowadzący niepubliczne przedszkole, szkołę podstawową, w której zorganizowano oddział przedszkolny, lub inną formę wychowania przedszkolnego, który przystępuje do otwartego konkursu ofert, składa zobowiązanie do przestrzegania warunków, o których mowa odpowiednio w art. 17 ust. 1, art. 19 ust. 1 lub art. 21 ust. 1, oraz podaje informację o planowanej liczbie uczniów.
3.
Regulamin otwartego konkursu ofert oraz kryteria wyboru ofert określa rada gminy w drodze uchwały, uwzględniając konieczność zapewnienia jak najlepszych warunków realizacji wychowania przedszkolnego.
4.
Gmina, która nie zapewnia wszystkim dzieciom, którym ma obowiązek zapewnić możliwość korzystania z wychowania przedszkolnego, miejsca korzystania z wychowania przedszkolnego, jest obowiązana przeprowadzić otwarty konkurs ofert dla niepublicznych przedszkoli, szkół podstawowych, w których zorganizowano oddział przedszkolny, lub innych form wychowania przedszkolnego.
5.
Informację o otrzymywaniu przez niepubliczne przedszkole, szkołę podstawową, w której zorganizowano oddział przedszkolny, lub inną formę wychowania przedszkolnego dotacji, o której mowa odpowiednio w art. 17 ust. 1, art. 19 ust. 1 lub art. 21 ust. 1, wpisuje się do ewidencji, o której mowa w art. 168 ust. 1 ustawy – Prawo oświatowe. Przepisy art. 168 ust. 9 ustawy – Prawo oświatowe stosuje się odpowiednio.
6.
Organ prowadzący niepubliczne przedszkole, szkołę podstawową, w której zorganizowano oddział przedszkolny, lub inną formę wychowania przedszkolnego, otrzymujące dotację, o której mowa odpowiednio w art. 17 ust. 1, art. 19 ust. 1 lub art. 21 ust. 1, może zrezygnować ze spełniania przez to przedszkole, szkołę podstawową, w której zorganizowano oddział przedszkolny, lub inną formę wychowania przedszkolnego warunków, o których mowa odpowiednio w art. 17 ust. 1, art. 19 ust. 1 lub art. 21 ust. 1, i pobierania tej dotacji, z końcem roku szkolnego, po uprzednim pisemnym zawiadomieniu o zamiarze rezygnacji: rodziców uczniów placówki wychowania przedszkolnego, organu dotującego oraz kuratora oświaty, w terminie do dnia 31 sierpnia roku szkolnego poprzedzającego rok szkolny, w którym ma nastąpić ta rezygnacja.
7.
Wójt (burmistrz, prezydent miasta), w drodze decyzji administracyjnej, może cofnąć dotację, o której mowa odpowiednio w art. 17 ust. 1, art. 19 ust. 1 lub art. 21 ust. 1, w przypadku stwierdzenia naruszenia przez niepubliczne przedszkole, szkołę podstawową, w której zorganizowano oddział przedszkolny, lub inną formę wychowania przedszkolnego warunków, o których mowa odpowiednio w art. 17 ust. 1, art. 19 ust. 1 lub art. 21 ust. 1. Cofnięcie dotacji następuje z urzędu lub na wniosek kuratora oświaty, po uprzednim wezwaniu przez wójta (burmistrza, prezydenta miasta) organu prowadzącego niepubliczne przedszkole, szkołę podstawową, w której zorganizowano oddział przedszkolny, lub inną formę wychowania przedszkolnego do zaprzestania naruszania warunków, o których mowa odpowiednio w art. 17 ust. 1, art. 19 ust. 1 lub art. 21 ust. 1, w terminie nie dłuższym niż 3 miesiące.
Art. 23.
Dotacji, o której mowa w art. 16–21, nie udziela się na ucznia placówki wychowania przedszkolnego, który odbywa roczne przygotowanie przedszkolne poza tą placówką, zgodnie z art. 37 ust. 1 ustawy – Prawo oświatowe.
Art. 24.
1.
Jeżeli jednostka samorządu terytorialnego uzyskała informację, że uczeń placówki wychowania przedszkolnego, o której mowa w art. 16–21, jest uczniem więcej niż jednej takiej placówki dotowanej przez tę jednostkę, występuje do tych placówek o uzyskanie od rodzica ucznia pisemnego oświadczenia wskazującego jedną z tych placówek jako placówkę, do której uczeń uczęszcza w danym roku szkolnym, i przekazanie go tej jednostce samorządu terytorialnego, w terminie 30 dni od dnia tego wystąpienia.
2.
Dotację, o której mowa w art. 16–21, od miesiąca następującego po miesiącu otrzymania oświadczenia, o którym mowa w ust. 1, otrzymuje placówka wychowania przedszkolnego wskazana w oświadczeniu.
3.
Jeżeli jednostka samorządu terytorialnego nie otrzymała oświadczenia, o którym mowa w ust. 1, dotację, o której mowa w art. 16–21, otrzymuje, do miesiąca poprzedzającego miesiąc udzielenia dotacji jednej placówce wychowania przedszkolnego, zgodnie z ust. 2, ta placówka wychowania przedszkolnego, w której uczeń jest wpisany na dany miesiąc do dziennika zajęć placówki wychowania przedszkolnego jako pierwszy.
Art. 25.
1.
Prowadzone przez osoby prawne niebędące jednostkami samorządu terytorialnego oraz osoby fizyczne publiczne szkoły, w których jest realizowany obowiązek szkolny lub obowiązek nauki, niebędące szkołami specjalnymiotrzymują na każdego ucznia dotację z budżetu jednostki samorządu terytorialnego będącej dla tych szkół organem rejestrującym, w wysokości stanowiącej iloczyn kwoty przewidzianej na takiego ucznia w części oświatowej subwencji ogólnej dla jednostki samorządu terytorialnego oraz wskaźnika zwiększającego, o którym mowa w art. 14 ust. 1.
2.
Prowadzone przez osoby prawne niebędące jednostkami samorządu terytorialnego oraz osoby fizyczne publiczne szkoły, w których jest realizowany obowiązek szkolny lub obowiązek nauki, będące szkołami specjalnymi otrzymują na każdego ucznia dotację z budżetu jednostki samorządu terytorialnego będącej dla tych szkół organem rejestrującym, w wysokości stanowiącej iloczyn kwoty przewidzianej na takiego ucznia w części oświatowej subwencji ogólnej dla jednostki samorządu terytorialnego oraz wskaźnika zwiększającego, o którym mowa w art. 14 ust. 2.
3.
Prowadzone przez osoby prawne niebędące jednostkami samorządu terytorialnego oraz osoby fizyczne publiczne szkoły, w których nie jest realizowany obowiązek szkolny lub obowiązek nauki, niebędące szkołami specjalnymi otrzymują na każdego ucznia dotację z budżetu jednostki samorządu terytorialnego będącej dla tych szkół organem rejestrującym, w wysokości równej kwocie przewidzianej na takiego ucznia w części oświatowej subwencji ogólnej dla jednostki samorządu terytorialnego.
4.
Prowadzone przez osoby prawne niebędące jednostkami samorządu terytorialnego oraz osoby fizyczne publiczne szkoły, w których nie jest realizowany obowiązek szkolny lub obowiązek nauki, będące szkołami specjalnymi otrzymują na każdego ucznia dotację z budżetu jednostki samorządu terytorialnego będącej dla tych szkół organem rejestrującym, w wysokości stanowiącej iloczyn kwoty przewidzianej na takiego ucznia w części oświatowej subwencji ogólnej dla jednostki samorządu terytorialnego oraz wskaźnika zwiększającego, o którym mowa w art. 14 ust. 2.
5.
Prowadzone przez osoby prawne niebędące jednostkami samorządu terytorialnego oraz osoby fizyczne publiczne licea ogólnokształcące dla dorosłych i szkoły policealne niebędące szkołami specjalnymi otrzymują, niezależnie od dotacji, o której mowa w ust. 3, na każdego ucznia, niebędącego uczniem niepełnosprawnym, który uzyskał odpowiednio świadectwo dojrzałości lub dyplom potwierdzający kwalifikacje zawodowe, dotację z budżetu jednostki samorządu terytorialnego będącej dla tych szkół organem rejestrującym, w wysokości równej kwocie przewidzianej na takiego ucznia w części oświatowej subwencji ogólnej dla jednostki samorządu terytorialnego, pod warunkiem że organ prowadzący tę szkołę przedstawi zaświadczenie o uzyskaniu przez ucznia tej szkoły odpowiednio świadectwa dojrzałości lub dyplomu potwierdzającego kwalifikacje zawodowe, w terminie 12 miesięcy od dnia, w którym uczeń ukończył tę szkołę. Zaświadczenie wydaje niezwłocznie okręgowa komisja egzaminacyjna na wniosek organu prowadzącego szkołę.
6.
Dotacja, o której mowa w ust. 5, jest wypłacana jednorazowo w terminie 30 dni od dnia złożenia przez organ prowadzący szkołę zaświadczenia, o którym mowa w ust. 5, i może być wykorzystana także na refundację wydatków związanych z realizacją zadań szkoły, o których mowa w art. 35 ust. 1, poniesionych przez szkołę w okresie:
1)
4 lat budżetowych poprzedzających rok wypłacenia dotacji – w przypadku dotacji przyznanej na ucznia liceum ogólnokształcącego dla dorosłych;
2)
2 lat budżetowych poprzedzających rok wypłacenia dotacji – w przypadku dotacji przyznanej na ucznia szkoły policealnej.
7.
W przypadku publicznych szkół, w których zajęcia dydaktyczno-wychowawcze w klasach (semestrach) programowo najwyższych kończą się w kwietniu lub czerwcu, dotacja, o której mowa w ust. 1–4, przysługuje również na każdego absolwenta szkoły do końca roku szkolnego, w którym absolwent ukończył szkołę.
8.
Publiczne szkoły, o których mowa w ust. 1 i 2, w których zorganizowano internat, otrzymują, niezależnie od dotacji, o której mowa w ust. 1 i 2, na każdego wychowanka tego internatu dotację z budżetu jednostki samorządu terytorialnego będącej dla tych szkół organem rejestrującym, w wysokości równej podstawowej kwocie dotacji dla szkół, w których zorganizowano internat, nie niższej niż kwota przewidziana na takiego wychowanka internatu w części oświatowej subwencji ogólnej dla jednostki samorządu terytorialnego.
9.
W przypadku braku na terenie odpowiednio gminy lub powiatu szkoły, w której zorganizowano internat, prowadzonej odpowiednio przez gminę lub powiat, kwotę dotacji, o której mowa w ust. 8, określa się w wysokości równej podstawowej kwocie dotacji dla szkół, w których zorganizowano internat, odpowiednio w najbliższej gminie prowadzącej szkołę, w której zorganizowano internat, lub najbliższym powiecie prowadzącym szkołę, w której zorganizowano internat, nie niższej niż kwota przewidziana na takiego wychowanka internatu w części oświatowej subwencji ogólnej odpowiednio dla gminy lub powiatu.
Art. 26.
1.
Niepubliczne szkoły, w których jest realizowany obowiązek szkolny lub obowiązek nauki, otrzymują na każdego ucznia dotację z budżetu jednostki samorządu terytorialnego będącej dla tych szkół organem rejestrującym, w wysokości równej kwocie przewidzianej na takiego ucznia w części oświatowej subwencji ogólnej dla jednostki samorządu terytorialnego.
2.
Niepubliczne szkoły, w których nie jest realizowany obowiązek szkolny lub obowiązek nauki, otrzymują na każdego ucznia uczestniczącego w co najmniej 50% obowiązkowych zajęć edukacyjnych w danym miesiącu dotację z budżetu jednostki samorządu terytorialnego będącej dla tych szkół organem rejestrującym, w wysokości równej kwocie przewidzianej na takiego ucznia w części oświatowej subwencji ogólnej dla jednostki samorządu terytorialnego.
3.
Uczestnictwo uczniów w obowiązkowych zajęciach edukacyjnych, o którym mowa w ust. 2, potwierdza się na tych zajęciach ich własnoręcznymi podpisami na listach obecności.
4.
Dotacja, o której mowa w ust. 2, przysługuje za lipiec i sierpień na każdego ucznia, który w czerwcu spełnił warunek, o którym mowa w ust. 2.
5.
Niepubliczne licea ogólnokształcące dla dorosłych i szkoły policealne niebędące szkołami specjalnymi otrzymują niezależnie od dotacji, o której mowa w ust. 2, na każdego ucznia, niebędącego uczniem niepełnosprawnym, który uzyskał odpowiednio świadectwo dojrzałości lub dyplom potwierdzający kwalifikacje zawodowe, dotację z budżetu jednostki samorządu terytorialnego będącej dla tych szkół organem rejestrującym, w wysokości równej kwocie przewidzianej na takiego ucznia w części oświatowej subwencji ogólnej dla jednostki samorządu terytorialnego, pod warunkiem że organ prowadzący tę szkołę przedstawi zaświadczenie o uzyskaniu przez ucznia tej szkoły odpowiednio świadectwa dojrzałości lub dyplomu potwierdzającego kwalifikacje zawodowe, w terminie 12 miesięcy od dnia, w którym uczeń ukończył tę szkołę. Zaświadczenie wydaje niezwłocznie okręgowa komisja egzaminacyjna na wniosek organu prowadzącego szkołę.
6.
Dotacja, o której mowa w ust. 5, jest wypłacana jednorazowo w terminie 30 dni od dnia złożenia przez organ prowadzący szkołę zaświadczenia, o którym mowa w ust. 5, i może być wykorzystana także na refundację wydatków związanych z realizacją zadań szkoły, o których mowa w art. 35 ust. 1, poniesionych przez szkołę w okresie:
1)
4 lat budżetowych poprzedzających rok wypłacenia dotacji – w przypadku dotacji przyznanej na ucznia liceum ogólnokształcącego dla dorosłych;
2)
2 lat budżetowych poprzedzających rok wypłacenia dotacji – w przypadku dotacji przyznanej na ucznia szkoły policealnej.
7.
W przypadku niepublicznych szkół, w których zajęcia dydaktyczno-wychowawcze w klasach (semestrach) programowo najwyższych kończą się w kwietniu lub czerwcu, dotacja, o której mowa w ust. 1 i 2, przysługuje również na każdego absolwenta szkoły do końca roku szkolnego, w którym absolwent ukończył szkołę.
8.
Niepubliczne szkoły, o których mowa w ust. 1, w których zorganizowano internat, otrzymują, niezależnie od dotacji, o której mowa w ust. 1, na każdego wychowanka tego internatu dotację z budżetu jednostki samorządu terytorialnego będącej dla tych szkół organem rejestrującym, w wysokości równej kwocie przewidzianej na takiego wychowanka internatu w części oświatowej subwencji ogólnej dla jednostki samorządu terytorialnego.
Art. 27.
1.
Jeżeli jednostka samorządu terytorialnego uzyskała informację, że uczeń szkoły, o której mowa w art. 25 ust. 3 i 4 oraz art. 26 ust. 2, jest uczniem więcej niż jednej takiej szkoły dotowanej przez tę jednostkę, występuje do tych szkół o uzyskanie od rodzica ucznia albo pełnoletniego ucznia pisemnego oświadczenia wskazującego jedną z tych szkół jako szkołę, do której uczeń uczęszcza w danym roku szkolnym, i przekazanie go tej jednostce samorządu terytorialnego, w terminie 30 dni od dnia tego wystąpienia.
2.
Dotację, o której mowa w art. 25 ust. 3 i 4 oraz art. 26 ust. 2, od miesiąca następującego po miesiącu otrzymania oświadczenia, o którym mowa w ust. 1, otrzymuje szkoła wskazana w tym oświadczeniu.
3.
Jeżeli jednostka samorządu terytorialnego nie otrzymała oświadczenia, o którym mowa w ust. 1, dotację, o której mowa w art. 25 ust. 3 i 4 oraz art. 26 ust. 2, otrzymuje, do miesiąca poprzedzającego miesiąc udzielenia dotacji jednej szkole, zgodnie z ust. 2, ta szkoła, w której uczeń jest wpisany na dany miesiąc do księgi uczniów jako pierwszy.
Art. 28.
1.
Prowadzone przez osoby prawne niebędące jednostkami samorządu terytorialnego oraz osoby fizyczne publiczne placówki, o których mowa w art. 2 pkt 7 i 8 ustawy – Prawo oświatowe, otrzymują na każdego wychowanka dotację z budżetu powiatu w wysokości równej podstawowej kwocie dotacji dla placówek danego rodzaju, o których mowa w art. 2 pkt 7 i 8 ustawy – Prawo oświatowe, nie niższej niż kwota przewidziana na takiego wychowanka w części oświatowej subwencji ogólnej dla powiatu.
2.
W przypadku braku na terenie powiatu placówki danego rodzaju, o której mowa w art. 2 pkt 7 i 8 ustawy – Prawo oświatowe, prowadzonej przez powiat kwotę dotacji, o której mowa w ust. 1, określa się w wysokości równej kwocie przewidzianej na takiego wychowanka w części oświatowej subwencji ogólnej dla powiatu.
3.
Wysokość dotacji, o której mowa w ust. 1, dla prowadzonych przez osoby prawne niebędące jednostkami samorządu terytorialnego oraz osoby fizyczne publicznych placówek zapewniających opiekę i wychowanie uczniom w okresie pobierania nauki poza miejscem stałego zamieszkania, będących domami wczasów dziecięcych, o których mowa w przepisach wydanych na podstawie art. 123 ust. 1 pkt 1 ustawy – Prawo oświatowe, jest ustalana jako iloczyn podstawowej kwoty dotacji dla placówek danego rodzaju, o których mowa w art. 2 pkt 7 i 8 ustawy – Prawo oświatowe, nie niższej niż kwota przewidziana na takiego wychowanka w części oświatowej subwencji ogólnej dla powiatu, oraz liczby dni pobytu tego wychowanka w tej placówce pomniejszonej o jeden dzień i podzielonej przez liczbę dni w roku budżetowym.
4.
Prowadzone przez osoby prawne niebędące jednostkami samorządu terytorialnego oraz osoby fizyczne publiczne młodzieżowe ośrodki wychowawcze, młodzieżowe ośrodki socjoterapii i specjalne ośrodki szkolno-wychowawcze, posiadające w swoich strukturach szkołę, a w przypadku specjalnych ośrodków szkolno-wychowawczych – także przedszkole lub szkołę podstawową, w której zorganizowano oddział przedszkolny, otrzymują, niezależnie od dotacji, o której mowa w ust. 1, na każdego ucznia tej szkoły, tego przedszkola lub tego oddziału przedszkolnego w szkole podstawowej dotację z budżetu powiatu, w wysokości, o której mowa w art. 16 ust. 3, art. 18 ust. 3 lub art. 25 ust. 2.
Art. 29.
1.
Niepubliczne placówki, o których mowa w art. 2 pkt 7 i 8 ustawy – Prawo oświatowe, otrzymują na każdego wychowanka dotację z budżetu powiatu w wysokości równej kwocie przewidzianej na takiego wychowanka w części oświatowej subwencji ogólnej dla powiatu.
2.
Wysokość dotacji, o której mowa w ust. 1, dla niepublicznych placówek zapewniających opiekę i wychowanie uczniom w okresie pobierania nauki poza miejscem stałego zamieszkania, będących domami wczasów dziecięcych, o których mowa w przepisach wydanych na podstawie art. 123 ust. 1 pkt 1 ustawy – Prawo oświatowe, jest ustalana jako iloczyn kwoty przewidzianej na takiego wychowanka w części oświatowej subwencji ogólnej dla powiatu oraz liczby dni pobytu tego wychowanka w tej placówce pomniejszonej o jeden dzień i podzielonej przez liczbę dni w roku budżetowym.
3.
Niepubliczne młodzieżowe ośrodki wychowawcze, młodzieżowe ośrodki socjoterapii i specjalne ośrodki szkolno-wychowawcze, posiadające w swoich strukturach szkołę, a w przypadku specjalnych ośrodków szkolno-wychowawczych – także przedszkole lub szkołę podstawową, w której zorganizowano oddział przedszkolny, otrzymują, niezależnie od dotacji, o której mowa w ust. 1, na każdego ucznia tej szkoły, tego przedszkola lub tego oddziału przedszkolnego w szkole podstawowej dotację z budżetu powiatu w wysokości, o której mowa w art. 17 ust. 5, art. 19 ust. 5 lub art. 26 ust. 1.
Art. 30.
Prowadzone przez osoby prawne niebędące jednostkami samorządu terytorialnego oraz osoby fizyczne przedszkola, inne formy wychowania przedszkolnego, szkoły oraz placówki, o których mowa w art. 2 pkt 6 i 7 ustawy – Prawo oświatowe, które prowadzą zajęcia rewalidacyjno-wychowawcze, otrzymują na każdego uczestnika tych zajęć dotację z budżetu odpowiednio gminy lub powiatu w wysokości równej kwocie przewidzianej na takiego uczestnika zajęć rewalidacyjno-wychowawczych w części oświatowej subwencji ogólnej odpowiednio dla gminy lub powiatu.
Art. 31.
1.
Prowadzone przez osoby prawne niebędące jednostkami samorządu terytorialnego oraz osoby fizyczne szkoły ponadpodstawowe prowadzące kwalifikacyjne kursy zawodowe otrzymują na każdego słuchacza kursu, który zdał egzamin potwierdzający kwalifikacje w zawodzie w zakresie danej kwalifikacji, dotację z budżetu powiatu w wysokości stanowiącej sumę kwoty przewidzianej w części oświatowej subwencji ogólnej dla powiatu na takiego słuchacza kwalifikacyjnego kursu zawodowego, który uczestniczył w kursie, oraz kwoty przewidzianej w części oświatowej subwencji ogólnej dla powiatu na takiego słuchacza kwalifikacyjnego kursu zawodowego, który zdał ten egzamin, pod warunkiem że organ prowadzący szkołę:
1)
przekaże powiatowi informację o planowanej liczbie słuchaczy kwalifikacyjnego kursu zawodowego nie później niż do dnia 30 września roku bazowego;
2)
przekaże dane do systemu informacji oświatowej według stanu na dzień 30 września roku bazowego; przepisy art. 33 ust. 3 i 4 stosuje się odpowiednio;
3)
udokumentuje uzyskanie świadectwa potwierdzającego kwalifikację w zawodzie w zakresie danej kwalifikacji przez słuchacza kwalifikacyjnego kursu zawodowego w terminie 30 dni od dnia ogłoszenia wyników egzaminu potwierdzającego kwalifikacje w zawodzie przez okręgową komisję egzaminacyjną; na wniosek organu prowadzącego szkołę okręgowa komisja egzaminacyjna wydaje niezwłocznie zaświadczenie o uzyskaniu świadectwa potwierdzającego kwalifikację w zawodzie w zakresie danej kwalifikacji przez słuchacza kwalifikacyjnego kursu zawodowego.
2.
Dotacja, o której mowa w ust. 1, jest wypłacana jednorazowo, w terminie 30 dni od dnia złożenia powiatowi przez organ prowadzący szkołę zaświadczenia, o którym mowa w ust. 1 pkt 3, i może być wykorzystana także na refundację wydatków związanych z realizacją zadań szkoły, o których mowa w art. 35 ust. 1, poniesionych przez szkołę w okresie roku budżetowego poprzedzającego rok wypłacenia dotacji.
Art. 32.
1.
Prowadzone przez osoby prawne niebędące jednostkami samorządu terytorialnego oraz osoby fizyczne publiczne placówki, o których mowa w art. 2 pkt 3–6 i 10 ustawy – Prawo oświatowe, mogą otrzymywać dotacje z budżetu powiatu w wysokości i na zasadach ustalonych przez radę powiatu.
2.
Niepubliczne szkoły nieposiadające uprawnień szkoły publicznej oraz niepubliczne placówki, o których mowa w art. 2 pkt 3, 6 i 10 ustawy – Prawo oświatowe, mogą otrzymywać dotacje z budżetu powiatu w wysokości i na zasadach ustalonych przez radę powiatu.
Art. 33.
1.
Dotacje, o których mowa w art. 15–21, art. 25, art. 26, art. 28–30 i art. 32, są przekazywane, pod warunkie, że organ prowadzący przedszkole, inną formę wychowania przedszkolnego, szkołę oraz placówkę, o której mowa w art. 2 pkt 6, 7 i 8 ustawy – Prawo oświatowe, przekaże:
1)
organowi dotującemu informację o planowanej liczbie dzieci objętych wczesnym wspomaganiem rozwoju, uczniów, wychowanków lub uczestników zajęć rewalidacyjno-wychowawczych nie później niż do dnia 30 września roku bazowego – w przypadku dotacji, o których mowa w art. 15, art. 17, art. 19, art. 21, art. 26 ust. 1, 2, 5 i 8, art. 29 i art. 30;
2)
dane do systemu informacji oświatowej według stanu na dzień 30 września roku bazowego – w przypadku dotacji, o których mowa w art. 15–21, art. 25, art. 26, art. 28–30 i art. 32.
2.
Przepisu ust. 1 nie stosuje się do dotacji, o których mowa w art. 17 ust. 1, art. 19 ust. 1 lub art. 21 ust. 1, w roku, w którym dotacja została przyznana.
3.
Przepisu ust. 1 pkt 2 nie stosuje się do placówek wychowania przedszkolnego, szkół oraz placówek, o których mowa w art. 2 pkt 6, 7 i 8 ustawy – Prawo oświatowe, które rozpoczynają działalność po dniu 30 września roku bazowego i uzyskały wpis do ewidencji, o której mowa w art. 168 ust. 1 ustawy – Prawo oświatowe, lub zezwolenie, o którym mowa w art. 88 ust. 4 pkt 1 lub art. 90 ust. 1 ustawy – Prawo oświatowe, do dnia 30 września roku bazowego.
4.
Na wniosek organu prowadzącego odpowiednio przedszkole, inną formę wychowania przedszkolnego, szkołę lub placówkę, o której mowa w art. 2 pkt 6, 7 i 8 ustawy – Prawo oświatowe, organ wykonawczy jednostki samorządu terytorialnego właściwej do udzielenia dotacji, o której mowa w art. 15, art. 17, art. 19, art. 21, art. 26 ust. 1, 2, 5 i 8, art. 29 i art. 30, może wyrazić zgodę na odstąpienie od terminów, o których mowa w ust. 1, lub na udzielenie dotacji w terminie wcześniejszym niż od początku następnego roku budżetowego.
Art. 34.
1.
Dotacje, o których mowa w art. 15–21, art. 25 ust. 1–4 i 8, art. 26 ust. 1, 2 i 8 oraz art. 28–30, są przekazywane na rachunek bankowy przedszkola, innej formy wychowania przedszkolnego, szkoły lub placówki, o której mowa w art. 2 pkt 6, 7 i 8 ustawy – Prawo oświatowe, lub zespołu szkół lub placówek, w 12 częściach w terminie do ostatniego dnia każdego miesiąca, z tym że części za styczeń i za grudzień są przekazywane w terminie odpowiednio do dnia 20 stycznia oraz do dnia 15 grudnia roku budżetowego.
2.
Dotacje, o których mowa w art. 15–21, art. 25 ust. 1–4 i 8, art. 26 ust. 1, 2 i 8 oraz art. 28–30, są przekazywane na każde dziecko objęte wczesnym wspomaganiem rozwoju, ucznia, wychowanka lub uczestnika zajęć rewalidacyjno-wychowawczych, będącego w danym miesiącu roku budżetowego dzieckiem objętym wczesnym wspomaganiem rozwoju, uczniem, wychowankiem lub uczestnikiem zajęć rewalidacyjno-wychowawczych w placówce wychowywania przedszkolnego, szkole lub placówce, o której mowa w art. 2 pkt 6, 7 i 8 ustawy – Prawo oświatowe.
3.
Jeżeli faktyczna liczba uczniów szkoły, o której mowa w art. 26 ust. 2, spełniających warunek uczestniczenia w co najmniej 50% obowiązkowych zajęć edukacyjnych w danym miesiącu, jest inna niż liczba uczniów, na których zgodnie z ust. 2 przekazano część dotacji na dany miesiąc, część dotacji na następny miesiąc jest przekazywana na liczbę uczniów skorygowaną o różnicę między liczbą uczniów, na których zgodnie z ust. 2 przekazano część dotacji na dany miesiąc, a faktyczną liczbą uczniów szkoły, o której mowa w art. 26 ust. 2, spełniających warunek uczestniczenia w co najmniej 50% obowiązkowych zajęć edukacyjnych w danym miesiącu.
4.
Publiczne przedszkole lub szkoła przekazana do prowadzenia osobie prawnej niebędącej jednostką samorządu terytorialnego oraz osobie fizycznej na podstawie umowy, o której mowa w art. 9 ust. 1 ustawy – Prawo oświatowe, otrzymuje dotacje, o których mowa odpowiednio w art. 15, art. 16 ust. 1 i 3, art. 18 ust. 1 i 3, art. 20 ust. 1, art. 25 ust. 1–5 i 8 oraz art. 30, od dnia przekazania tego przedszkola lub szkoły.
Art. 35.
1.
Dotacje, o których mowa w art. 15–21, art. 25, art. 26, art. 28–30 i art. 32, są przeznaczone na dofinansowanie realizacji zadań placówek wychowania przedszkolnego, szkół lub placówek w zakresie kształcenia, wychowania i opieki, w tym kształcenia specjalnego i profilaktyki społecznej. Dotacje mogą być wykorzystane wyłącznie na:
1)
pokrycie wydatków bieżących placówki wychowania przedszkolnego, szkoły i placówki, obejmujących każdy wydatek poniesiony na cele działalności placówki wychowania przedszkolnego, szkoły lub placówki, w tym na:
a)
wynagrodzenie osoby fizycznej zatrudnionej, w tym na podstawie umowy cywilnoprawnej, w przedszkolu, innej formie wychowania przedszkolnego, szkole lub placówce oraz osoby fizycznej prowadzącej przedszkole, inną formę wychowania przedszkolnego, szkołę lub placówkę, jeżeli odpowiednio pełni funkcję dyrektora przedszkola, szkoły lub placówki albo prowadzi zajęcia w innej formie wychowania przedszkolnego – w wysokości nieprzekraczającej miesięcznie:
– 250% średniego wynagrodzenia nauczyciela dyplomowanego, o którym mowa w art. 30 ust. 3 pkt 4 ustawy z dnia 26 stycznia 1982 r. – Karta Nauczyciela (Dz. U. z 2017 r. poz. 1189) – w przypadku publicznych przedszkoli, innych form wychowania przedszkolnego, szkół i placówek oraz niepublicznych przedszkoli, o których mowa w art. 17 ust. 1, oddziałów przedszkolnych w niepublicznych szkołach podstawowych, o których mowa w art. 19 ust. 1, i niepublicznych innych form wychowania przedszkolnego, o których mowa w art. 21 ust. 1,
– 150% średniego wynagrodzenia nauczyciela dyplomowanego, o którym mowa w art. 30 ust. 3 pkt 4 ustawy z dnia 26 stycznia 1982 r. – Karta Nauczyciela – w przypadku niepublicznych przedszkoli, oddziałów przedszkolnych w niepublicznych szkołach podstawowych i niepublicznych innych form wychowania przedszkolnego, niewymienionych w tiret pierwszym, oraz niepublicznych szkół i placówek,
b)
sfinansowanie wydatków związanych z realizacją zadań organu prowadzącego, o których mowa w art. 10 ust. 1 ustawy – Prawo oświatowe;
2)
zakup środków trwałych oraz wartości niematerialnych i prawnych obejmujących:
a)
książki i inne zbiory biblioteczne,
b)
środki dydaktyczne służące procesowi dydaktyczno-wychowawczemu realizowanemu w placówkach wychowania przedszkolnego, szkołach i placówkach,
c)
sprzęt rekreacyjny i sportowy dla dzieci i młodzieży,
e)
pozostałe środki trwałe oraz wartości niematerialne i prawne o wartości nieprzekraczającej wielkości określonej zgodnie z art. 16f ust. 3 ustawy z dnia 15 lutego 1992 r. o podatku dochodowym od osób prawnych, dla których odpisy amortyzacyjne są uznawane za koszt uzyskania przychodu w 100% ich wartości w momencie oddania do używania.
2.
Przez wydatki bieżące, o których mowa w ust. 1 pkt 1, należy rozumieć wydatki bieżące, o których mowa w art. 236 ust. 2 ustawy z dnia 27 sierpnia 2009 r. o finansach publicznych.
3.
Dotacja, o której mowa w art. 15–21, art. 25, art. 26, art. 28–30 i art. 32, może być wykorzystana wyłącznie na pokrycie wydatków związanych z realizacją zadań określonych w ust. 1, poniesionych w roku budżetowym, na który dotacja została udzielona, niezależnie od tego, którego roku dotyczą te zadania.
4.
Dotacja, o której mowa w art. 15–21, art. 25, art. 26, art. 28–30 i art. 32, przekazana na uczniów i wychowanków, posiadających orzeczenie o potrzebie kształcenia specjalnego, uczestników zajęć rewalidacyjno-wychowawczych oraz na uczniów oddziałów integracyjnych w szkołach może być wykorzystana wyłącznie na pokrycie wydatków związanych z realizacją zadań związanych z organizacją kształcenia specjalnego, o którym mowa w art. 127 ust. 1 ustawy – Prawo oświatowe, oraz na organizację zajęć rewalidacyjno-wychowawczych, o których mowa w art. 36 ust. 17 ustawy – Prawo oświatowe.
5.
Przez wydatki, o których mowa w ust. 4, należy rozumieć w przypadku:
1)
przedszkoli specjalnych, oddziałów przedszkolnych w szkołach podstawowych specjalnych, szkół specjalnych oraz placówek, o których mowa w art. 2 pkt 7 ustawy – Prawo oświatowe – wydatki, o których mowa w ust. 1;
2)
przedszkoli, oddziałów przedszkolnych w szkołach podstawowych oraz szkół, niewymienionych w pkt 1, innych form wychowania przedszkolnego oraz poradni psychologiczno-pedagogicznych, w tym poradni specjalistycznych – wydatki na realizację zadań wynikających z zaleceń zawartych w orzeczeniach o potrzebie kształcenia specjalnego, orzeczeniach o potrzebie zajęć rewalidacyjno-wychowawczych, indywidualnych programach zajęć, o których mowa w przepisach wydanych na podstawie art. 7 ust. 3 ustawy z dnia 19 sierpnia 1994 r. o ochronie zdrowia psychicznego, oraz indywidualnych programach edukacyjno-terapeutycznych, o których mowa w art. 127 ust. 3 ustawy – Prawo oświatowe, oraz zapewnienie warunków ich realizacji;
3)
przedszkoli i oddziałów przedszkolnych w szkołach podstawowych, niewymienionych w pkt 1, oraz innych form wychowania przedszkolnego – oprócz wydatków, o których mowa w pkt 2, także wydatki na realizację zadań innych niż określone w pkt 2, w wysokości niezbędnej dla realizacji zadań tych placówek wychowania przedszkolnego w zakresie kształcenia, wychowania i opieki, w tym profilaktyki społecznej, w odniesieniu do uczniów posiadających orzeczenie o potrzebie kształcenia specjalnego lub uczestników zajęć rewalidacyjno-wychowawczych;
4)
szkół niewymienionych w pkt 1 – oprócz wydatków, o których mowa w pkt 2, także wydatki na realizację zadań innych niż określone w pkt 2, w wysokości wyrażonej wzorem:

Winne– wydatki poniesione w danym roku budżetowym na realizację zadań innych niż określone w pkt 2 w tej
szkole,
W - wydatki, o których mowa w ust. 1, poniesione w danym roku budżetowym w tej szkole,
SSI – kwotę przewidzianą w części oświatowej subwencji ogólnej dla jednostki samorządu terytorialnego na uczniów oddziałów specjalnych i oddziałów integracyjnych w tej szkole,
SSIN– kwotę przewidzianą w części oświatowej subwencji ogólnej dla jednostki samorządu terytorialnego na uczniów posiadających orzeczenie o potrzebie kształcenia specjalnego oddziałów specjalnych i oddziałów integracyjnych tej szkoły, w zakresie wynikającym z posiadania przez tych uczniów orzeczeń o potrzebie kształcenia specjalnego,
SON- kwotę przewidzianą w części oświatowej subwencji ogólnej dla jednostki samorządu terytorialnego na uczniów posiadających orzeczenie o potrzebie kształcenia specjalnego oddziałów niebędących oddziałami specjalnymi albo oddziałami integracyjnymi i uczestników zajęć rewalidacyjno-wychowawczych w tej szkole
SONN- kwotę przewidzianą w części oświatowej subwencji ogólnej dla jednostki samorządu terytorialnego na uczniów posiadających orzeczenie o potrzebie kształcenia specjalnego oddziałów niebędących oddziałami specjalnymi albo oddziałami integracyjnymi i uczestników zajęć rewalidacyjno-wychowawczych w tej szkole, w zakresie wynikającym z posiadania przez tych uczniów oraz uczestników zajęć rewalidacyjno-wychowawczych orzeczeń o potrzebie kształcenia specjalnego lub orzeczeń o potrzebie zajęć rewalidacyjno-wychowawczych,
S – kwotę części oświatowej subwencji ogólnej przewidzianą dla jednostki samorządu terytorialnego na uczniów i uczestników zajęć rewalidacyjno-wychowawczych w tej szkole.
Art. 36.
1.
Organ dotujący, o którym mowa w art. 15–21, art. 25, art. 26, art. 28–30 i art. 32, może kontrolować prawidłowość pobrania i wykorzystania dotacji udzielonych zgodnie z art. 15–21, art. 25, art. 26, art. 28–30 i art. 32.
2.
Osoby upoważnione do przeprowadzenia kontroli mają prawo wstępu do przedszkoli, innych form wychowania przedszkolnego, szkół i placówek oraz wglądu do prowadzonej przez nie dokumentacji organizacyjnej, finansowej i dokumentacji przebiegu nauczania w związku z przekazaną dotacją, a w przypadku szkół, o których mowa w art. 26 ust. 2 – także do wglądu do list obecności, o których mowa w art. 26 ust. 3, oraz ich weryfikacji.
3.
Przedszkole, inna forma wychowania przedszkolnego, szkoła i placówka udostępnia dokumentację, o której mowa w ust. 2, oraz listy obecności, o których mowa w art. 26 ust. 3, w terminie 14 dni od dnia zwrócenia się przez osobę upoważnioną do przeprowadzenia kontroli o udostępnienie tej dokumentacji.
4.
Organ dotujący, o którym mowa w ust. 1 – w związku z przeprowadzaniem kontroli prawidłowości pobrania i wykorzystania dotacji przez przedszkola, inne formy wychowania przedszkolnego, szkoły i placówki – może przetwarzać dane osobowe:
1)
dzieci objętych wczesnym wspomaganiem rozwoju, uczniów, wychowanków i uczestników zajęć rewalidacyjno-wychowawczych tych przedszkoli, innych form wychowania przedszkolnego, szkół i placówek, znajdujące się w dokumentacji, o której mowa w ust. 2,
2)
osób fizycznych zatrudnionych, w tym na podstawie umowy cywilnoprawnej, w tych przedszkolach, innych formach wychowania przedszkolnego, szkołach lub placówkach oraz osób fizycznych prowadzących przedszkole, inną formę wychowania przedszkolnego, szkołę lub placówkę, jeżeli odpowiednio pełnią funkcję dyrektora przedszkola, szkoły lub placówki albo prowadzą zajęcia w innej formie wychowania przedszkolnego, w związku z przeprowadzaniem kontroli w zakresie przeznaczania dotacji na wynagrodzenia, o których mowa w art. 35 ust. 1 pkt 1 lit. a
-
w tym z wykorzystaniem systemów teleinformatycznych służących do gromadzenia danych osobowych.
5.
Kontrola może obejmować okres 5 lat budżetowych poprzedzających rok budżetowy, w którym jest ona przeprowadzana.
6.
W przypadku utrudniania lub udaremniania przez szkołę, o której mowa w art. 26 ust. 2, niepubliczną placówkę, o której mowa w art. 2 pkt 3, 6, 8 i 10 ustawy – Prawo oświatowe, lub przez organ prowadzący tę szkołę lub placówkę czynności kontrolnych, o których mowa w ust. 2, organ dotujący wzywa dyrektora tej szkoły lub placówki lub organ prowadzący tę szkołę lub placówkę do zaprzestania tych działań w wyznaczonym terminie.
7.
Po bezskutecznym upływie terminu, o którym mowa w ust. 6, organ dotujący wstrzymuje, w drodze decyzji administracyjnej, przekazywanie szkole, o której mowa w art. 26 ust. 2, lub niepublicznej placówce, o której mowa w art. 2 pkt 3, 6, 8 i 10 ustawy – Prawo oświatowe, dotacji do dnia umożliwienia przeprowadzenia w tej szkole lub placówce czynności kontrolnych, o których mowa w ust. 2.
8.
Środki przekazane szkole, o której mowa w art. 26 ust. 2, lub niepublicznej placówce, o której mowa w art. 2 pkt 3, 6, 8 i 10 ustawy – Prawo oświatowe, za okres, którego dotyczyło wstrzymanie dotacji, mogą być wykorzystane wyłącznie na refundację wydatków związanych z realizacją zadań szkoły lub placówki, o których mowa w art. 35 ust. 1, poniesionych przez szkołę lub placówkę w okresie roku budżetowego, w którym dotacja została wstrzymana. Jeżeli okres wstrzymania dotacji przypada na więcej niż jeden rok budżetowy, przekazane środki mogą być wykorzystane proporcjonalnie do okresów wstrzymania dotacji w poszczególnych latach budżetowych.
Art. 37.
1.
Jeżeli szkoła, o której mowa w art. 26 ust. 2, lub niepubliczna placówka, o której mowa w art. 2 pkt 3, 6, 8 i 10 ustawy – Prawo oświatowe:
1)
nie przekazała rozliczenia wykorzystania dotacji za rok bazowy lub nie dokonała w rozliczeniu korekty błędów w terminie wskazanym przez organ dotujący,
2)
nie przekazała informacji o liczbie dzieci objętych wczesnym wspomaganiem rozwoju, uczniów, wychowanków lub uczestników zajęć rewalidacyjno-wychowawczych, na których jest udzielana dotacja zgodnie z art. 34 ust. 2, w terminie określonym w uchwale, o której mowa w art. 38 ust. 1,
3)
nie wykonała decyzji administracyjnej lub prawomocnego wyroku sądu wydanych w związku z przekazaną dotacją
-
organ dotujący wzywa dyrektora szkoły lub placówki lub organ prowadzący tę szkołę lub placówkę do wykonania działań, o których mowa w pkt 1–3, w wyznaczonym terminie.
2.
Po bezskutecznym upływie wyznaczonego terminu, o którym mowa w ust. 1, organ dotujący wstrzymuje, w drodze decyzji administracyjnej, przekazywanie szkole, o której mowa w art. 26 ust. 2, lub niepublicznej placówce, o której mowa w art. 2 pkt 3, 6, 8 i 10 ustawy – Prawo oświatowe, dotacji do dnia wykonania działań, o których mowa w ust. 1.
3.
Środki przekazane szkole, o której mowa w art. 26 ust. 2, lub niepublicznej placówce, o której mowa w art. 2 pkt 3, 6, 8 i 10 ustawy – Prawo oświatowe, za okres, którego dotyczyło wstrzymanie dotacji, mogą być wykorzystane wyłącznie na refundację wydatków związanych z realizacją zadań szkoły lub placówki, o których mowa w art. 35 ust. 1, poniesionych przez szkołę lub placówkę w okresie roku budżetowego, w którym dotacja została wstrzymana. Jeżeli okres wstrzymania dotacji przypada na więcej niż jeden rok budżetowy, przekazane środki mogą być wykorzystane proporcjonalnie do okresów wstrzymania dotacji w poszczególnych latach budżetowych.
Art. 38.
1.
Organ stanowiący jednostki samorządu terytorialnego, w drodze uchwały, ustala tryb udzielania i rozliczania dotacji, o których mowa w art. 15–21, art. 25, art. 26, art. 28–30 i art. 32, oraz tryb przeprowadzania kontroli prawidłowości ich pobrania i wykorzystania, w tym zakres danych, które powinny być zawarte we wniosku o udzielenie dotacji i w rozliczeniu jej wykorzystania, termin przekazania informacji o liczbie dzieci objętych wczesnym wspomaganiem rozwoju, uczniów, wychowanków lub uczestników zajęć rewalidacyjno-wychowawczych, o których mowa w art. 34 ust. 2, oraz termin i sposób rozliczenia wykorzystania dotacji.
2.
Organ dotujący, o którym mowa w art. 15–21, art. 25, art. 26, art. 28–30 i art. 32, w związku z udzielaniem i rozliczaniem wykorzystania dotacji, o których mowa w art. 15–21, art. 25, art. 26, art. 28–30 i art. 32, może przetwarzać dane osobowe dzieci objętych wczesnym wspomaganiem rozwoju, uczniów, wychowanków i uczestników zajęć rewalidacyjno-wychowawczych przedszkoli, innych form wychowania przedszkolnego, szkół i placówek, w tym z wykorzystaniem systemów teleinformatycznych służących do gromadzenia danych osobowych.
Art. 39.
1.
Organ stanowiący jednostki samorządu terytorialnego, w drodze uchwały, może wyrazić zgodę na udzielenie dotacji, o której mowa w:
1)
art. 16 ust. 1, art. 17 ust. 1, art. 18 ust. 1, art. 19 ust. 1, art. 21 ust. 1, art. 25 ust. 3 i 8 oraz art. 28 ust. 1 i 3, w odniesieniu do kwoty przewidzianej w części oświatowej subwencji ogólnej – w wysokości wyższej niż określona odpowiednio w art. 16 ust. 1, art. 17 ust. 1, art. 18 ust. 1, art. 19 ust. 1, art. 21 ust. 1, art. 25 ust. 3 i 8 oraz art. 28 ust. 1 i 3, w odniesieniu do kwoty przewidzianej w części oświatowej subwencji ogólnej;
2)
art. 15, art. 16 ust. 3, art. 17 ust. 3 i 5, art. 18 ust. 3, art. 19 ust. 3 i 5, art. 20 ust. 1, art. 21 ust. 3, art. 25 ust. 5, art. 26 ust. 1, 2, 5 i 8, art. 29 ust. 1 i 2, art. 30 oraz art. 31 ust. 1 – w wysokości wyższej niż określona odpowiednio w art. 15, art. 16 ust. 3, art. 17 ust. 3 i 5, art. 18 ust. 3, art. 19 ust. 3 i 5, art. 20 ust. 1, art. 21 ust. 3, art. 25 ust. 5, art. 26 ust. 1, 2, 5 i 8, art. 29 ust. 1 i 2, art. 30 oraz art. 31 ust. 1;
3)
art. 16 ust. 1, art. 17 ust. 1 i 3, art. 18 ust. 1 oraz art. 19 ust. 1 i 3, w odniesieniu do ucznia przedszkola integracyjnego, ucznia oddziału integracyjnego w przedszkolu z oddziałami integracyjnymi lub ucznia oddziału przedszkolnego integracyjnego zorganizowanego w szkole podstawowej – w wysokości wyższej niż określona odpowiednio w art. 16 ust. 1, art. 17 ust. 1 i 3, art. 18 ust. 1 oraz art. 19 ust. 1 i 3.
2.
W szczególnie uzasadnionych przypadkach organ stanowiący jednostki samorządu terytorialnego, w drodze uchwały, może wyrazić zgodę na udzielenie dotacji, o której mowa w:
1)
art. 16 ust. 1, art. 17 ust. 1, art. 18 ust. 1, art. 19 ust. 1, art. 21 ust. 1, art. 25 ust. 8 i art. 28 ust. 1 i 3, w odniesieniu do podstawowej kwoty dotacji – w wysokości wyższej niż określona odpowiednio w art. 16 ust. 1, art. 17 ust. 1, art. 18 ust. 1, art. 19 ust. 1, art. 21 ust. 1, art. 25 ust. 8 i art. 28 ust. 1 i 3, w odniesieniu do podstawowej kwoty dotacji;
2)
art. 25 ust. 1, 2 i 4 – w wysokości wyższej niż określona w art. 25 ust. 1, 2 i 4.
3.
Organ stanowiący jednostki samorządu terytorialnego, w uchwale, o której mowa w ust. 2, ustala okres udzielania tej dotacji w wyższej wysokości.
Art. 40.
1.
Prowadzone przez osoby prawne niebędące jednostkami samorządu terytorialnego oraz osoby fizyczne publiczne szkoły artystyczne otrzymują na każdego ucznia dotację z budżetu państwa w wysokości równej podstawowej kwocie dotacji dla szkół artystycznych danego typu.
2.
Jeżeli minister właściwy do spraw kultury i ochrony dziedzictwa narodowego nie prowadzi szkoły artystycznej danego typu, kwotę dotacji, o której mowa w ust. 1, określa się:
1)
w przypadku publicznej szkoły artystycznej realizującej kształcenie ogólne – w wysokości równej podstawowej kwocie dotacji dla szkół artystycznych realizujących kształcenie ogólne;
2)
w przypadku publicznej szkoły artystycznej realizującej wyłącznie kształcenie artystyczne – w wysokości równej podstawowej kwocie dotacji dla szkół artystycznych realizujących wyłącznie kształcenie artystyczne.
3.
Prowadzone przez osoby prawne niebędące jednostkami samorządu terytorialnego oraz osoby fizyczne publiczne szkoły artystyczne, w których zorganizowano internat, otrzymują, niezależnie od dotacji, o której mowa w ust. 1, na każdego wychowanka tego internatu będącego uczniem szkoły artystycznej dotację z budżetu państwa w wysokości równej podstawowej kwocie dotacji dla szkół artystycznych, w których zorganizowano internat.
Art. 41.
1.
Niepubliczne szkoły artystyczne o uprawnieniach szkół publicznych realizujące kształcenie ogólne otrzymują na każdego ucznia dotację z budżetu państwa w wysokości równej podstawowej kwocie dotacji dla szkół artystycznych danego typu.
2.
Niepubliczne szkoły artystyczne o uprawnieniach szkół publicznych realizujące wyłącznie kształcenie artystyczne otrzymują na każdego ucznia uczestniczącego w co najmniej 50% obowiązkowych zajęć edukacyjnych w danym miesiącu dotację z budżetu państwa w wysokości nie niższej niż 25% podstawowej kwoty dotacji dla szkół artystycznych danego typu.
3.
Jeżeli minister właściwy do spraw kultury i ochrony dziedzictwa narodowego nie prowadzi szkoły artystycznej danego typu, kwotę dotacji, o której mowa w ust. 1 i 2, określa się:
1)
w przypadku niepublicznej szkoły artystycznej o uprawnieniach szkoły publicznej realizującej kształcenie ogólne – w wysokości równej podstawowej kwocie dotacji dla szkół artystycznych realizujących kształcenie ogólne;
2)
w przypadku niepublicznej szkoły artystycznej o uprawnieniach szkoły publicznej realizującej wyłącznie kształcenie artystyczne – w wysokości nie niższej niż 25% podstawowej kwoty dotacji dla szkół artystycznych prowadzących wyłącznie kształcenie artystyczne.
4.
W niepublicznej artystycznej szkole policealnej uczestnictwo uczniów w obowiązkowych zajęciach edukacyjnych musi być potwierdzone na tych zajęciach ich własnoręcznymi podpisami na listach obecności.
5.
Niepubliczne szkoły artystyczne, o których mowa w ust. 1, w których zorganizowano internat, otrzymują, niezależnie od dotacji, o której mowa w ust. 1, na każdego wychowanka tego internatu będącego uczniem szkoły artystycznej dotację z budżetu państwa w wysokości równej podstawowej kwocie dotacji dla szkół artystycznych, w których zorganizowano internat.
6.
Niepubliczne szkoły artystyczne nieposiadające uprawnień szkoły publicznej mogą otrzymywać dotacje z budżetu państwa.
Art. 42.
1.
Dotacje, o których mowa w art. 40 ust. 1 i 3 oraz art. 41 ust. 1, 2 i 5, są przekazywane na rachunek bankowy szkoły lub zespołu szkół w 12 częściach w terminie do ostatniego dnia każdego miesiąca, z tym że części za styczeń i za grudzień są przekazywane w terminie odpowiednio do dnia 20 stycznia oraz do dnia 15 grudnia roku budżetowego.
2.
Do dotacji, o których mowa w:
1)
art. 40 ust. 1 i 3 – stosuje się odpowiednio art. 25 ust. 7, art. 34 ust. 2, art. 35 ust. 1–3 oraz art. 36 ust. 1–5;
2)
art. 41 ust. 1, 2 i 5 – stosuje się odpowiednio art. 26 ust. 4 i 7, art. 33 ust. 1 pkt 1, art. 34 ust. 2 i 3, art. 35 ust. 1–3 oraz art. 36;
3)
art. 41 ust. 6 – stosuje się odpowiednio art. 26 ust. 4 i 7, art. 35 ust. 1–3 oraz art. 36.
3.
Minister właściwy do spraw kultury i ochrony dziedzictwa narodowego w porozumieniu z ministrem właściwym do spraw finansów publicznych określi, w drodze rozporządzenia:
1)
tryb przekazywania przez organ prowadzący szkołę informacji niezbędnych dla ustalenia wysokości dotacji, o których mowa w art. 40 ust. 1 i 3 oraz art. 41 ust. 1, 2, 5 i 6, oraz wzór wniosku o udzielenie dotacji zawierającego te informacje,
2)
tryb udzielania oraz rozliczania wykorzystania dotacji, o których mowa w art. 40 ust. 1 i 3 oraz art. 41 ust. 1, 2, 5 i 6, wzór składanego przez szkołę formularza zawierającego informację o liczbie uczniów i poniesionych wydatkach sfinansowanych z udzielonej części dotacji przypadającej na dany miesiąc oraz wzór formularza rozliczenia wykorzystania tych dotacji,
3)
tryb przeprowadzania kontroli prawidłowości pobrania i wykorzystania dotacji, o których mowa w art. 40 ust. 1 i 3 oraz art. 41 ust. 1, 2, 5 i 6
-
uwzględniając typy szkół, których informacje dotyczą, oraz odpowiedni stopień szczegółowości danych, możliwość wykorzystania środków komunikacji elektronicznej i informatycznych nośników danych przy składaniu wniosku o udzielenie dotacji oraz rozliczaniu wykorzystania tych dotacji, a także konieczność zapewnienia weryfikacji prawidłowości wydatkowania środków publicznych i odpowiedniego udokumentowania przebiegu kontroli.
Art. 43.
1.
Kwota dotacji, o której mowa w art. 15–21, art. 25 ust. 1–4 i 8, art. 26 ust. 1, 2 i 8, art. 28–30, art. 40 i art. 41, ulega aktualizacji:
1)
w wyniku aktualizacji podstawowej kwoty dotacji, o której mowa w art. 12 i art. 13, dokonanej na podstawie art. 44 ust. 1;
2)
w wyniku zmiany kwoty przewidzianej w części oświatowej subwencji ogólnej dla jednostki samorządu terytorialnego, dokonanej na podstawie art. 45;
3)
w wyniku zmiany wskaźnika zwiększającego, o którym mowa w art. 14 ust. 1 i 2, dokonanej na podstawie art. 14 ust. 8;
4)
w szczególnie uzasadnionych przypadkach.
2.
Aktualizacji kwoty dotacji, o której mowa w art. 15–21, art. 25 ust. 1–4 i 8, art. 26 ust. 1, 2 i 8, art. 28–30, art. 40 i art. 41, dokonuje się:
1)
w miesiącu roku budżetowego następującym po miesiącu, w którym upłynęło 30 dni od dnia ogłoszenia ustawy budżetowej na rok budżetowy, zwanym dalej „miesiącem pierwszej aktualizacji” – w przypadku aktualizacji, o której mowa w ust. 1 pkt 1–3;
2)
w październiku roku budżetowego – w przypadku aktualizacji, o której mowa w ust. 1 pkt 1;
3)
w dowolnym miesiącu roku budżetowego – w przypadku aktualizacji, o której mowa w ust. 1 pkt 4.
3.
Zaktualizowana kwota dotacji, o której mowa w art. 15–21, art. 25 ust. 1–4 i 8, art. 26 ust. 1, 2 i 8, art. 28–30, art. 40 i art. 41, obowiązuje od:
1)
pierwszego dnia miesiąca następującego po miesiącu pierwszej aktualizacji – w przypadku aktualizacji, o której mowa w ust. 2 pkt 1;
2)
pierwszego dnia listopada roku budżetowego – w przypadku aktualizacji, o której mowa w ust. 2 pkt 2;
3)
pierwszego dnia miesiąca następującego po miesiącu aktualizacji – w przypadku aktualizacji, o której mowa w ust. 2 pkt 3.
4.
Jeżeli wysokość dotacji, o której mowa w art. 15–21, art. 25 ust. 1–4 i 8, art. 26 ust. 1, 2 i 8, art. 28–30, art. 40 i art. 41, uległa zmianie, suma kolejnych przekazywanych części dotacji odpowiednio na dziecko objęte wczesnym wspomaganiem rozwoju, ucznia, wychowanka lub uczestnika zajęć rewalidacyjno-wychowawczych, począwszy od pierwszego dnia obowiązywania zaktualizowanej kwoty dotacji, stanowi różnicę pomiędzy wysokością dotacji, o której mowa odpowiednio w art. 15–21, art. 25 ust. 1–4 i 8, art. 26 ust. 1, 2 i 8, art. 28–30, art. 40 i art. 41, według stanu na pierwszy dzień obowiązywania zaktualizowanej kwoty dotacji, a sumą części dotacji przekazanych odpowiednio na dziecko objęte wczesnym wspomaganiem rozwoju, ucznia, wychowanka lub uczestnika zajęć rewalidacyjno-wychowawczych od początku roku budżetowego do dnia poprzedzającego pierwszy dzień obowiązywania zaktualizowanej kwoty dotacji.
5.
W przypadku wyrównywania kwoty dotacji, o której mowa w art. 15–21, art. 25 ust. 1–4 i 8, art. 26 ust. 1, 2 i 8, art. 28–30, art. 40 i art. 41, zgodnie z ust. 4, średnia arytmetyczna kolejnych przekazywanych części dotacji odpowiednio na dziecko objęte wczesnym wspomaganiem rozwoju, ucznia, wychowanka lub uczestnika zajęć rewalidacyjno-wychowawczych, począwszy od pierwszego dnia obowiązywania zaktualizowanej kwoty dotacji, może zwiększyć się maksymalnie o 50% albo zmniejszyć się maksymalnie o 25% średniej arytmetycznej części dotacji przekazanych odpowiednio na dziecko objęte wczesnym wspomaganiem rozwoju, ucznia, wychowanka lub uczestnika zajęć rewalidacyjno-wychowawczych od początku roku budżetowego do dnia poprzedzającego pierwszy dzień obowiązywania zaktualizowanej kwoty dotacji.
Art. 44.
1.
Aktualizacji podstawowej kwoty dotacji, o której mowa w art. 12, art. 13 i art. 50 ust. 1, dokonuje się:
1)
w miesiącu pierwszej aktualizacji;
2)
w październiku roku budżetowego;
3)
w dowolnym miesiącu roku budżetowego – w szczególnie uzasadnionych przypadkach.
2.
W aktualizacji dokonywanej na podstawie ust. 1 pkt 1 uwzględnia się plan dochodów i wydatków:
1)
budżetu jednostki samorządu terytorialnego – w przypadku aktualizacji podstawowej kwoty dotacji, o której mowa w art. 12 i art. 50 ust. 1,
2)
części budżetu państwa, której dysponentem jest minister właściwy do spraw kultury i ochrony dziedzictwa narodowego
– w przypadku aktualizacji podstawowej kwoty dotacji, o której mowa w art. 13
– według stanu na ostatni dzień miesiąca poprzedzającego miesiąc pierwszej aktualizacji.
3.
W aktualizacji dokonywanej na podstawie ust. 1 pkt 2 uwzględnia się:
1)
plan dochodów i wydatków:
a)
budżetu jednostki samorządu terytorialnego – w przypadku aktualizacji podstawowej kwoty dotacji, o której mowa w art. 12 i art. 50 ust. 1,
b)
części budżetu państwa, której dysponentem jest minister właściwy do spraw kultury i ochrony dziedzictwa narodowego
– w przypadku aktualizacji podstawowej kwoty dotacji, o której mowa w art. 13
– według stanu na dzień 30 września roku budżetowego;
2)
zaktualizowaną zgodnie z art. 11 ust. 2 statystyczną liczbę dzieci objętych wczesnym wspomaganiem rozwoju, uczniów, wychowanków lub uczestników zajęć rewalidacyjno-wychowawczych.
4.
W aktualizacji dokonywanej na podstawie ust. 1 pkt 3 uwzględnia się:
1)
plan dochodów i wydatków:
a)
budżetu jednostki samorządu terytorialnego – w przypadku aktualizacji podstawowej kwoty dotacji, o której mowa w art. 12 i art. 50 ust. 1,
b)
części budżetu państwa, której dysponentem jest minister właściwy do spraw kultury i ochrony dziedzictwa narodowego
– w przypadku aktualizacji podstawowej kwoty dotacji, o której mowa w art. 13
– według stanu na ostatni dzień miesiąca poprzedzającego miesiąc aktualizacji;
2)
zaktualizowaną zgodnie z art. 11 ust. 2 statystyczną liczbę dzieci objętych wczesnym wspomaganiem rozwoju, uczniów, wychowanków lub uczestników zajęć rewalidacyjno-wychowawczych – w przypadku aktualizacji podstawowej kwoty dotacji dokonywanej po dniu 30 września roku budżetowego.
Art. 45.
Jeżeli ustawa budżetowa na rok budżetowy została ogłoszona po dniu 1 grudnia roku bazowego, wysokość dotacji, o której mowa w art. 15–21, art. 25 ust. 1–4 i 8, art. 26 ust. 1, 2 i 8 oraz art. 28–30, w zakresie kwoty przewidzianej w części oświatowej subwencji ogólnej dla jednostki samorządu terytorialnego, ustala się:
1)
w okresie do ostatniego dnia miesiąca pierwszej aktualizacji – z uwzględnieniem kwoty przewidzianej w części oświatowej subwencji ogólnej dla jednostki samorządu terytorialnego w roku bazowym;
2)
w okresie od pierwszego dnia miesiąca następującego po miesiącu pierwszej aktualizacji – z uwzględnieniem kwoty przewidzianej w części oświatowej subwencji ogólnej dla jednostki samorządu terytorialnego w roku budżetowym.
Art. 46.
1.
W Biuletynie Informacji Publicznej jednostki samorządu terytorialnego, która udziela dotacji, o których mowa w art. 16–21, art. 25 i art. 28, ogłasza się informację o:
1)
podstawowej kwocie dotacji, o której mowa w art. 12, oraz jej aktualizacji dokonywanej na podstawie art. 44 ust. 1;
2)
statystycznej liczbie dzieci objętych wczesnym wspomaganiem rozwoju, uczniów, wychowanków lub uczestników zajęć rewalidacyjno-wychowawczych oraz jej aktualizacji dokonywanej na podstawie art. 11 ust. 2;
3)
wskaźniku zwiększającym, o którym mowa w art. 14 ust. 1, 2 i 8;
4)
najbliższej gminie lub najbliższym powiecie, o których mowa w art. 10 ust. 1–18 oraz art. 14 ust. 7.
2.
W Biuletynie Informacji Publicznej specjalistycznej jednostki nadzoru, o której mowa w art. 53 ust. 1 ustawy – Prawo oświatowe, ogłasza się informację o:
1)
podstawowej kwocie dotacji, o której mowa w art. 13, oraz jej aktualizacji dokonywanej na podstawie art. 44 ust. 1;
2)
statystycznej liczbie uczniów lub wychowanków oraz jej aktualizacji dokonywanej na podstawie art. 11 ust. 2.
Art. 47.
Czynności podejmowane przez organ dotujący, o którym mowa w art. 15–21, art. 25, art. 26, art. 28–32, art. 40 i art. 41, w celu ustalenia wysokości lub przekazania dotacji, o których mowa w art. 15–21, art. 25, art. 26, art. 28–32, art. 40 i art. 41, stanowią czynności z zakresu administracji publicznej, o których mowa w art. 3 § 2 pkt 4 ustawy z dnia 30 sierpnia 2002 r. – Prawo o postępowaniu przed sądami administracyjnymi (Dz. U. z 2017 r. poz. 1369 i 1370).
Art. 48.
1.
W przypadku nieprzekazania dotacji, o której mowa w art. 15–21, art. 25, art. 26, art. 28–31, art. 40 i art. 41, na rachunek bankowy przedszkola, innej formy wychowania przedszkolnego, szkoły, placówki lub zespołu szkół w terminie, o którym mowa odpowiednio w art. 25 ust. 6, art. 26 ust. 6, art. 31 ust. 2, art. 34 ust. 1 i art. 42 ust. 1, z winy organu, o którym mowa w art. 15–21, art. 25, art. 26, art. 28–31, art. 40 i art. 41, nalicza się odsetki w wysokości określonej jak dla zaległości podatkowych, począwszy od dnia następującego po dniu, w którym upłynął termin przekazania dotacji.
2.
Przepisu ust. 1 nie stosuje się w przypadku aktualizacji kwoty dotacji dokonanej na podstawie art. 43 ust. 1 oraz w przypadku wstrzymania dotacji na podstawie art. 36 ust. 7 lub art. 37 ust. 2.
Art. 49.
1.
Dotacje, o których mowa w art. 15–21, art. 25, art. 26, art. 28–32, art. 40 i art. 41, nie podlegają egzekucji.
2.
Przepis ust. 1 nie dotyczy egzekucji prowadzonej w przypadku stwierdzenia, na podstawie ustawy z dnia 27 sierpnia 2009 r. o finansach publicznych, obowiązku zwrotu dotacji wykorzystanej niezgodnie z przeznaczeniem, pobranej nienależnie lub w nadmiernej wysokości.
Rozdział 4
Rozliczenia finansowe między jednostkami samorządu terytorialnego
Art. 50.
1.
Przez podstawową kwotę dotacji dla innych form wychowania przedszkolnego należy rozumieć kwotę wydatków bieżących zaplanowanych na prowadzenie przez gminę innych form wychowania przedszkolnego, z wyłączeniem innych form wychowania przedszkolnego, w których zaplanowane wydatki bieżące finansowane z udziałem środków pochodzących z budżetu Unii Europejskiej przekraczają 50% ich zaplanowanych wydatków bieżących, pomniejszonych o:
1)
zaplanowane na rok budżetowy w budżecie gminy opłaty za korzystanie z wychowania przedszkolnego w tych innych formach wychowania przedszkolnego, stanowiące dochody budżetu gminy,
2)
zaplanowane na rok budżetowy w budżecie gminy opłaty za wyżywienie w tych innych formach wychowania przedszkolnego, stanowiące dochody budżetu gminy,
3)
sumę iloczynów odpowiednich kwot przewidzianych w części oświatowej subwencji ogólnej dla gminy na uczniów niepełnosprawnych z danymi rodzajami niepełnosprawności w innych formach wychowania przedszkolnego oraz statystycznej liczby uczniów niepełnosprawnych z danymi rodzajami niepełnosprawności, o której mowa w rozdziale 3, w tych innych formach wychowania przedszkolnego,
4)
zaplanowane na rok budżetowy w budżecie gminy wydatki bieżące finansowane z udziałem środków pochodzących z budżetu Unii Europejskiej na prowadzenie tych innych form wychowania przedszkolnego,
5)
iloczyn kwoty przewidzianej w części oświatowej subwencji ogólnej dla gminy na dziecko objęte wczesnym wspomaganiem rozwoju w innej formie wychowania przedszkolnego oraz statystycznej liczby dzieci objętych wczesnym wspomaganiem rozwoju, o której mowa w art. 11 ust. 1, w tych innych formach wychowania przedszkolnego,
6)
iloczyn kwoty przewidzianej w części oświatowej subwencji ogólnej dla gminy na uczestnika zajęć rewalidacyjno-wychowawczych w innej formie wychowania przedszkolnego oraz statystycznej liczby uczestników zajęć rewalidacyjno-wychowawczych, o której mowa w art. 11 ust. 1, w tych innych formach wychowania przedszkolnego,
7)
zaplanowane na rok budżetowy w budżecie gminy wydatki bieżące na realizację programów rządowych, o których mowa w art. 90u ust. 1 ustawy o systemie oświaty, w tych innych formach wychowania przedszkolnego
-
i podzielonych przez statystyczną liczbę uczniów, o której mowa w art. 11 ust. 1, w tych innych formach wychowania przedszkolnego pomniejszoną o statystyczną liczbę uczniów niepełnosprawnych, o której mowa w art. 11 ust. 1, w tych innych formach wychowania przedszkolnego.
2.
Jeżeli do placówki wychowania przedszkolnego prowadzonej przez gminę uczęszcza uczeń objęty wychowaniem przedszkolnym do końca roku szkolnego w roku kalendarzowym, w którym kończy 6 lat, niebędący jej mieszkańcem, który nie jest uczniem niepełnosprawnym, gmina, której mieszkańcem jest ten uczeń, pokrywa koszty wychowania przedszkolnego tego ucznia w wysokości równej odpowiednio podstawowej kwocie dotacji dla przedszkoli, o której mowa w art. 12 ust. 1, podstawowej kwocie dotacji dla szkół podstawowych, w których zorganizowano oddział przedszkolny, o której mowa w art. 12 ust. 2, lub podstawowej kwocie dotacji dla innych form wychowania przedszkolnego, określonej dla gminy, w której uczeń uczęszcza do placówki wychowania przedszkolnego, pomniejszonej o kwotę dotacji, o której mowa w art. 53 ust. 1, przewidzianej na ucznia na dany rok budżetowy.
3.
Przez wydatki bieżące, o których mowa w ust. 1, należy rozumieć wydatki bieżące, o których mowa w art. 9.
4.
Gmina, o której mowa w ust. 2, w związku z pokrywaniem kosztów wychowania przedszkolnego ucznia, który uczęszcza do placówki wychowania przedszkolnego na terenie innej gminy, może przetwarzać dane osobowe tego ucznia placówki wychowania przedszkolnego, w tym z wykorzystaniem systemów teleinformatycznych służących do gromadzenia danych osobowych.
5.
Do rozliczeń finansowych między jednostkami samorządu terytorialnego, o których mowa w ust. 2, stosuje się odpowiednio przepisy art. 43 ust. 3–5.
Art. 51.
1.
Jeżeli do publicznego przedszkola, o którym mowa w art. 16 ust. 1, uczęszcza uczeń objęty wychowaniem przedszkolnym do końca roku szkolnego w roku kalendarzowym, w którym kończy 6 lat, niebędący mieszkańcem gminy dotującej to przedszkole, który nie jest uczniem niepełnosprawnym, gmina, której mieszkańcem jest ten uczeń, pokrywa koszty dotacji udzielonej zgodnie z art. 16 ust. 1, pomniejszonej o kwotę dotacji, o której mowa w art. 53 ust. 1, przewidzianej na ucznia na dany rok budżetowy.
2.
Jeżeli do niepublicznego przedszkola, o którym mowa w art. 17 ust. 1, uczęszcza uczeń objęty wychowaniem przedszkolnym do końca roku szkolnego w roku kalendarzowym, w którym kończy 6 lat, niebędący mieszkańcem gminy dotującej to przedszkole, który nie jest uczniem niepełnosprawnym, gmina, której mieszkańcem jest ten uczeń, pokrywa koszty dotacji udzielonej zgodnie z art. 17 ust. 1, pomniejszonej o kwotę dotacji, o której mowa w art. 53 ust. 1, przewidzianej na ucznia na dany rok budżetowy.
3.
Jeżeli do niepublicznego przedszkola, o którym mowa w art. 17 ust. 3, uczęszcza uczeń objęty wychowaniem przedszkolnym do końca roku szkolnego w roku kalendarzowym, w którym kończy 6 lat, niebędący mieszkańcem gminy dotującej to przedszkole, który nie jest uczniem niepełnosprawnym, gmina, której mieszkańcem jest ten uczeń, pokrywa koszty dotacji udzielonej zgodnie z art. 17 ust. 3, do wysokości iloczynu podstawowej kwoty dotacji dla przedszkoli określonej dla gminy dotującej i wskaźnika procentowego ustalonego na potrzeby dotowania niepublicznych przedszkoli, o których mowa w art. 17 ust. 3, w gminie zobowiązanej do pokrycia kosztów udzielonej dotacji, pomniejszając powyższy iloczyn o kwotę dotacji, o której mowa w art. 53 ust. 1, przewidzianej na ucznia na dany rok budżetowy. W przypadku braku na terenie gminy zobowiązanej do pokrycia kosztów udzielonej dotacji niepublicznego przedszkola, o którym mowa w art. 17 ust. 3, zamiast wskaźnika procentowego określonego w zdaniu pierwszym przyjmuje się wskaźnik rocentowy w wysokości 75%.
4.
Jeżeli do oddziału przedszkolnego w publicznej szkole podstawowej, o którym mowa w art. 18 ust. 1, uczęszcza uczeń objęty wychowaniem przedszkolnym do końca roku szkolnego w roku kalendarzowym, w którym kończy 6 lat, niebędący mieszkańcem gminy dotującej tę szkołę podstawową, w której zorganizowano oddział przedszkolny, który nie jest uczniem niepełnosprawnym, gmina, której mieszkańcem jest ten uczeń, pokrywa koszty dotacji udzielonej zgodnie z art. 18 ust. 1, pomniejszonej o kwotę dotacji, o której mowa w art. 53 ust. 1, przewidzianej na ucznia na dany rok budżetowy.
5.
Jeżeli do oddziału przedszkolnego w niepublicznej szkole podstawowej, o którym mowa w art. 19 ust. 1, uczęszcza uczeń objęty wychowaniem przedszkolnym do końca roku szkolnego w roku kalendarzowym, w którym kończy 6 lat, niebędący mieszkańcem gminy dotującej tę szkołę podstawową, w której zorganizowano oddział przedszkolny, który nie jest uczniem niepełnosprawnym, gmina, której mieszkańcem jest ten uczeń, pokrywa koszty dotacji udzielonej zgodnie z art. 19 ust. 1, pomniejszonej o kwotę dotacji, o której mowa w art. 53 ust. 1, przewidzianej na ucznia na dany rok budżetowy.
6.
Jeżeli do oddziału przedszkolnego w niepublicznej szkole podstawowej, o którym mowa w art. 19 ust. 3, uczęszcza uczeń objęty wychowaniem przedszkolnym do końca roku szkolnego w roku kalendarzowym, w którym kończy 6 lat, niebędący mieszkańcem gminy dotującej tę szkołę podstawową, w której zorganizowano oddział przedszkolny, który nie jest uczniem niepełnosprawnym, gmina, której mieszkańcem jest ten uczeń, pokrywa koszty dotacji udzielonej zgodnie z art. 19 ust. 3 do wysokości iloczynu podstawowej kwoty dotacji dla szkół podstawowych, w których zorganizowano oddział przedszkolny, określonej dla gminy dotującej, i wskaźnika procentowego ustalonego na potrzeby dotowania niepublicznych szkół podstawowych, w których zorganizowano oddział przedszkolny, o których mowa w art. 19 ust. 3, w gminie zobowiązanej do pokrycia kosztów udzielonej dotacji, pomniejszając powyższy iloczyn o kwotę dotacji, o której mowa w art. 53 ust. 1, przewidzianej na ucznia na dany rok budżetowy. W przypadku braku na terenie gminy zobowiązanej do pokrycia kosztów udzielonej dotacji niepublicznej szkoły podstawowej, w której zorganizowano oddział przedszkolny, o której mowa w art. 19 ust. 3, zamiast wskaźnika procentowego określonego w zdaniu pierwszym przyjmuje się wskaźnik procentowy w wysokości 75%.
7.
Jeżeli do publicznej innej formy wychowania przedszkolnego, o której mowa w art. 20 ust. 1, uczęszcza uczeń objęty wychowaniem przedszkolnym do końca roku szkolnego w roku kalendarzowym, w którym kończy 6 lat, niebędący mieszkańcem gminy dotującej tę inną formę wychowania przedszkolnego, który nie jest uczniem niepełnosprawnym, gmina, której mieszkańcem jest ten uczeń, pokrywa koszty dotacji udzielonej zgodnie z art. 20 ust. 1 do wysokości iloczynu podstawowej kwoty dotacji dla przedszkoli określonej dla gminy dotującej i wskaźnika procentowego ustalonego na potrzeby dotowania publicznych innych form wychowania przedszkolnego, o których mowa w art. 20 ust. 1, w gminie zobowiązanej do pokrycia kosztów udzielonej dotacji, pomniejszając powyższy iloczyn o kwotę dotacji, o której mowa w art. 53 ust. 1, przewidzianej na ucznia na dany rok budżetowy. W przypadku braku na terenie gminy zobowiązanej do pokrycia kosztów udzielonej dotacji publicznej innej formy wychowania przedszkolnego, o której mowa w art. 20 ust. 1, zamiast wskaźnika procentowego określonego w zdaniu pierwszym przyjmuje się wskaźnik procentowy w wysokości 50%.
8.
Jeżeli do niepublicznej innej formy wychowania przedszkolnego, o której mowa w art. 21 ust. 1, uczęszcza uczeń objęty wychowaniem przedszkolnym do końca roku szkolnego w roku kalendarzowym, w którym kończy 6 lat, niebędący mieszkańcem gminy dotującej tę inną formę wychowania przedszkolnego, który nie jest uczniem niepełnosprawnym, gmina, której mieszkańcem jest ten uczeń, pokrywa koszty dotacji udzielonej zgodnie z art. 21 ust. 1 do wysokości iloczynu podstawowej kwoty dotacji dla przedszkoli określonej dla gminy dotującej i wskaźnika procentowego ustalonego na potrzeby dotowania niepublicznych innych form wychowania przedszkolnego, o których mowa w art. 21 ust. 1, w gminie zobowiązanej do pokrycia kosztów udzielonej dotacji, pomniejszając powyższy iloczyn o kwotę dotacji, o której mowa w art. 53 ust. 1, przewidzianej na ucznia na dany rok budżetowy. W przypadku braku na terenie gminy zobowiązanej do pokrycia kosztów udzielonej dotacji niepublicznej innej formy wychowania przedszkolnego, o której mowa w art. 21 ust. 1, zamiast wskaźnika procentowego określonego w zdaniu pierwszym przyjmuje się wskaźnik procentowy w wysokości 50%.
9.
Jeżeli do niepublicznej innej formy wychowania przedszkolnego, o której mowa w art. 21 ust. 3, uczęszcza uczeń w wieku do lat 5 niebędący mieszkańcem gminy dotującej tę inną formę wychowania przedszkolnego, który nie jest uczniem niepełnosprawnym, gmina, której mieszkańcem jest ten uczeń, pokrywa koszty dotacji udzielonej zgodnie z art. 21 ust. 3 do wysokości iloczynu podstawowej kwoty dotacji dla przedszkoli określonej dla gminy dotującej i wskaźnika procentowego ustalonego na potrzeby dotowania niepublicznych innych form wychowania przedszkolnego, o których mowa w art. 21 ust. 3, w gminie zobowiązanej do pokrycia kosztów udzielonej dotacji, pomniejszając powyższy iloczyn o kwotę dotacji, o której mowa w art. 53 ust. 1, przewidzianej na ucznia na dany rok budżetowy. W przypadku braku na terenie gminy zobowiązanej do pokrycia kosztów udzielonej dotacji niepublicznej innej formy wychowania przedszkolnego, o której mowa w art. 21 ust. 3, zamiast wskaźnika procentowego określonego w zdaniu pierwszym przyjmuje się wskaźnik procentowy w wysokości 40%.
10.
Gmina, o której mowa w ust. 1–9, w związku z pokrywaniem kosztów dotacji, udzielonej zgodnie z art. 16 ust. 1, art. 17 ust. 1 i 3, art. 18 ust. 1, art. 19 ust. 1 i 3, art. 20 ust. 1 i art. 21 ust. 1 i 3, może przetwarzać dane osobowe uczniów placówek wychowania przedszkolnego, w tym z wykorzystaniem systemów teleinformatycznych służących do gromadzenia danych osobowych.
Art. 52.
Opłaty za korzystanie z wychowania przedszkolnego
1.
Rada gminy określa wysokość opłat za korzystanie z wychowania przedszkolnego uczniów objętych wychowaniem przedszkolnym do końca roku szkolnego w roku kalendarzowym, w którym kończą 6 lat, w prowadzonym przez gminę:
1)
publicznym przedszkolu i oddziale przedszkolnym w publicznej szkole podstawowej, w czasie przekraczającym wymiar zajęć, o którym mowa w art. 13 ust. 1 pkt 2 ustawy – Prawo oświatowe;
2)
publicznej innej formie wychowania przedszkolnego w czasie przekraczającym czas bezpłatnego nauczania, wychowania i opieki ustalony dla publicznych przedszkoli na podstawie art. 13 ust. 2 ustawy – Prawo oświatowe.
2.
Rada gminy może określić warunki częściowego lub całkowitego zwolnienia z opłat, o których mowa w ust. 1.
3.
Wysokość opłaty, o której mowa w ust. 1, nie może być wyższa niż 1 zł za godzinę zajęć.
4.
Maksymalna wysokość opłaty, o której mowa w ust. 3, podlega waloryzacji. Waloryzacja dokonywana po raz pierwszy polega na pomnożeniu kwoty opłaty, o której mowa w ust. 3, przez wskaźnik waloryzacji i zaokrągleniu w dół do pełnych groszy. Kolejne waloryzacje wysokości opłaty polegają na pomnożeniu kwoty opłaty z roku, w którym była dokonywana ostatnia waloryzacja, przez wskaźnik waloryzacji i zaokrągleniu w dół do pełnych groszy. Waloryzacji dokonuje się od dnia 1 września roku kalendarzowego, w którym ogłoszono wysokość wskaźnika waloryzacji ustalonego zgodnie z ust. 5 lub 6.
5.
Jeżeli średnioroczny wskaźnik cen towarów i usług konsumpcyjnych ogółem określany przez Prezesa Głównego Urzędu Statystycznego w Dzienniku Urzędowym Rzeczypospolitej Polskiej „Monitor Polski” na podstawie art. 94 ust. 1 ustawy z dnia 17 grudnia 1998 r. o emeryturach i rentach z Funduszu Ubezpieczeń Społecznych (Dz. U. z 2017 r. poz. 1383, 1386 i 2120) za rok kalendarzowy, w którym była przeprowadzona ostatnia waloryzacja, a w przypadku waloryzacji dokonywanej po raz pierwszy – za rok 2013, wyniósł co najmniej 110, to wartość tego wskaźnika podzieloną przez 100 przyjmuje się jako wskaźnik waloryzacji.
6.
Jeżeli warunek, o którym mowa w ust. 5, nie został spełniony, to wskaźnik waloryzacji ustala się jako iloczyn podzielonych przez 100 wartości średniorocznych wskaźników cen towarów i usług konsumpcyjnych ogółem określanych przez Prezesa Głównego Urzędu Statystycznego w Dzienniku Urzędowym Rzeczypospolitej Polskiej „Monitor Polski” na podstawie art. 94 ust. 1 ustawy z dnia 17 grudnia 1998 r. o emeryturach i rentach z Funduszu Ubezpieczeń Społecznych, wynoszący co najmniej 1,1 w okresie od roku kalendarzowego, w którym była przeprowadzona ostatnia waloryzacja, do roku poprzedzającego termin waloryzacji, a w przypadku waloryzacji dokonywanej po raz pierwszy, w okresie od roku 2013 do roku poprzedzającego termin waloryzacji.
7.
Minister właściwy do spraw oświaty i wychowania ogłasza w Dzienniku Urzędowym Rzeczypospolitej Polskiej „Monitor Polski” w terminie do końca marca roku, w którym jest dokonywana waloryzacja, o której mowa w ust. 4, wysokość wskaźnika waloryzacji oraz maksymalną wysokość kwoty opłaty, o której mowa w ust. 1, po waloryzacji.
8.
Prowadzone przez osoby prawne niebędące jednostkami samorządu terytorialnego oraz osoby fizyczne publiczne przedszkola, szkoły podstawowe z oddziałami przedszkolnymi oraz inne formy wychowania przedszkolnego pobierają opłaty za korzystanie z wychowania przedszkolnego w wysokości nie wyższej niż wysokość opłat ustalonych przez radę gminy na podstawie ust. 1 za każdą rozpoczętą godzinę faktycznego pobytu dziecka w przedszkolu przekraczającą czas bezpłatnego nauczania, wychowania i opieki ustalony odpowiednio na podstawie art. 13 ust. 1 pkt 2 lub ust. 2 ustawy – Prawo oświatowe.
9.
Organ prowadzący publiczne przedszkole, szkołę podstawową z oddziałami przedszkolnymi i inną formę wychowania przedszkolnego, niepubliczne przedszkole, o którym mowa w art. 17 ust. 1, niepubliczną szkołę podstawową z oddziałami przedszkolnymi, o której mowa w art. 19 ust. 1, lub niepubliczną inną formę wychowania przedszkolnego, o której mowa w art. 21 ust. 1, zwalnia rodziców w całości lub w części z opłat za korzystanie z wychowania przedszkolnego, na warunkach określonych przez radę gminy na podstawie ust. 2. Organ prowadzący może upoważnić do udzielania tych zwolnień odpowiednio dyrektora przedszkola lub szkoły podstawowej.
10.
Osoba prawna niebędąca jednostką samorządu terytorialnego oraz osoba fizyczna prowadząca publiczne przedszkole, szkołę podstawową z oddziałami przedszkolnymi i inną formę wychowania przedszkolnego, niepubliczne przedszkole, o którym mowa w art. 17 ust. 1, niepubliczną szkołę podstawową z oddziałami przedszkolnymi, o której mowa w art. 19 ust. 1, lub niepubliczną inną formę wychowania przedszkolnego, o której mowa w art. 21 ust. 1, może przyznać częściowe lub całkowite zwolnienie z opłat za korzystanie z wychowania przedszkolnego również w przypadkach innych niż określone przez radę gminy na podstawie ust. 2.
11.
Rodzic zamierzający ubiegać się o całkowite lub częściowe zwolnienie z opłat, o którym mowa w ust. 2, przedstawia w formie oświadczenia dane niezbędne do ustalenia uprawnienia do tego zwolnienia.
12.
Do ustalania opłat za korzystanie z wyżywienia w publicznych placówkach wychowania przedszkolnego przepisy art. 106 ustawy – Prawo oświatowe stosuje się odpowiednio.
13.
Publiczne przedszkola, szkoły podstawowe z oddziałami przedszkolnymi i inne formy wychowania przedszkolnego, niepubliczne przedszkola, o których mowa w art. 17 ust. 1, niepubliczne szkoły podstawowe z oddziałami przedszkolnymi, o których mowa w art. 19 ust. 1, oraz niepubliczne inne formy wychowania przedszkolnego, o których mowa w art. 21 ust. 1, nie mogą pobierać opłat innych niż opłaty ustalone zgodnie z ust. 1, 2, 8, 12 i 14.
14.
Do przedszkoli, szkół podstawowych z oddziałami przedszkolnymi lub innych form wychowania przedszkolnego prowadzonych przez organy, o których mowa w art. 8 ust. 4 i 17 ustawy – Prawo oświatowe, stosuje się odpowiednio przepisy ust. 1–7, 9, 11 i 12, z tym że kompetencje rady gminy określone w ust. 1 i 2 wykonują te organy.
15.
Opłaty za korzystanie z wychowania przedszkolnego w publicznych placówkach wychowania przedszkolnego prowadzonych przez jednostki samorządu terytorialnego oraz opłaty za korzystanie z wyżywienia w takich placówkach stanowią niepodatkowe należności budżetowe o charakterze publicznoprawnym, o których mowa w art. 60 pkt 7 ustawy z dnia 27 sierpnia 2009 r. o finansach publicznych.
Rozdział 6
Dotacja celowa na dofinansowanie zadań w zakresie wychowania przedszkolnego
Art. 53.
1.
Na dofinansowanie zadań w zakresie wychowania przedszkolnego uczniów objętych wychowaniem przedszkolnym do końca roku szkolnego w roku kalendarzowym, w którym kończą 6 lat, jednostka samorządu terytorialnego otrzymuje dotację celową z budżetu państwa, która może być wykorzystana wyłącznie na dofinansowanie wydatków bieżących związanych z realizacją tych zadań.
2.
Podziału środków przeznaczonych na dotację, o której mowa w ust. 1, pomiędzy poszczególne jednostki samorządu terytorialnego dokonuje minister właściwy do spraw oświaty i wychowania.
3.
Wysokość dotacji, o której mowa w ust. 1, dla danej jednostki samorządu terytorialnego jest obliczana jako iloczyn kwoty rocznej, o której mowa w ust. 4, oraz liczby uczniów, którzy w roku bazowym kończą 5 lat lub mniej, w placówkach wychowania przedszkolnego:
1)
prowadzonych przez tę jednostkę samorządu terytorialnego,
2)
dla których ta jednostka samorządu terytorialnego jest organem rejestrującym
-
ustalonej na podstawie danych systemu informacji oświatowej według stanu na dzień 30 września roku bazowego.
4.
Kwota roczna dotacji, o której mowa w ust. 1, na każdego ucznia, o którym mowa w ust. 3, bez względu na czas przebywania ucznia w placówce wychowania przedszkolnego, wynosi 1506 zł.
5.
Kwota roczna, o której mowa w ust. 4, podlega corocznie waloryzacji prognozowanym średniorocznym wskaźnikiem cen towarów i usług konsumpcyjnych ogółem, określonym w ustawie budżetowej.
6.
Wysokość dotacji, o której mowa w ust. 1, obliczona zgodnie z ust. 3 dla gminy, jest pomniejszana o kwotę stanowiącą iloczyn kwoty rocznej w roku, na który jest udzielana dotacja, i liczby dzieci, które w roku bazowym kończą 5 lat lub mniej, którym gmina ma obowiązek zapewnić możliwość korzystania z wychowania przedszkolnego, nieprzyjętych w danym roku szkolnym do publicznej placówki wychowania przedszkolnego lub do niepublicznego przedszkola, o którym mowa w art. 17 ust. 1, oddziału przedszkolnego w niepublicznej szkole podstawowej, o której mowa w art. 19 ust. 1, lub niepublicznej innej formy wychowania przedszkolnego, o której mowa w art. 21 ust. 1, którym wójt (burmistrz, prezydent miasta) wbrew obowiązkowi nie wskazał miejsca korzystania z wychowania przedszkolnego, zgodnie z art. 31 ust. 10 ustawy – Prawo oświatowe.
7.
Pomniejszenie dotacji nie zwalnia gminy z obowiązku zapewnienia dzieciom warunków do realizacji prawa, o którym mowa w art. 31 ust. 6 ustawy – Prawo oświatowe.
8.
Jeżeli liczba uczniów uwzględniona do obliczenia dotacji na dany rok budżetowy dla danej jednostki samorządu terytorialnego zgodnie z ust. 3 i 6 jest większa niż średnioroczna liczba uczniów, którzy kończą 5 lat lub mniej odpowiednio w roku bazowym oraz w roku budżetowym w placówkach wychowania przedszkolnego prowadzonych przez tę jednostkę samorządu terytorialnego oraz w placówkach wychowania przedszkolnego, dla których ta jednostka samorządu terytorialnego jest organem rejestrującym, w roku budżetowym, na który została udzielona dotacja, część dotacji pobrana w nadmiernej wysokości podlega zwrotowi do budżetu państwa.
9.
Dotacji, o której mowa w ust. 1, udzielają wojewodowie. Dotację przekazuje się w 12 częściach w terminie do 15. dnia każdego miesiąca, z wyjątkiem pierwszej części, którą przekazuje się niezwłocznie po zwiększeniu wydatków w części budżetu państwa będącej w dyspozycji wojewody, z wyrównaniem za okres od początku roku budżetowego.
10.
Przez wydatki bieżące, o których mowa w ust. 1, należy rozumieć wydatki bieżące, o których mowa w art. 236 ust. 2 ustawy z dnia 27 sierpnia 2009 r. o finansach publicznych.
11.
Minister właściwy do spraw oświaty i wychowania określi, w drodze rozporządzenia:
1)
tryb udzielania i sposób rozliczania dotacji, o której mowa w ust. 1, w tym sposób ustalania wysokości dotacji podlegającej zwrotowi, oraz sposób ustalania średniorocznej liczby uczniów, o której mowa w ust. 8, a także wzór formularza rocznego rozliczenia wykorzystania dotacji, mając na celu zapewnienie jawności i przejrzystości gospodarowania środkami budżetu państwa;
2)
sposób i terminy ustalania informacji o liczbie dzieci, o których mowa w ust. 6, biorąc pod uwagę możliwość wykorzystania środków komunikacji elektronicznej i informatycznych nośników danych.
Rozdział 7
Wyposażenie publicznych i niepublicznych szkół oraz szkolnych punktów konsultacyjnych w podręczniki, materiały edukacyjne i materiały ćwiczeniowe
Art. 54.
1.
Uczniowie publicznych szkół podstawowych i szkół artystycznych realizujących kształcenie ogólne w zakresie szkoły podstawowej mają prawo do bezpłatnego dostępu do podręczników, materiałów edukacyjnych lub materiałów ćwiczeniowych, przeznaczonych do obowiązkowych zajęć edukacyjnych z zakresu kształcenia ogólnego, określonych w ramowych planach nauczania ustalonych dla tych szkół.
2.
Uczniowie szkolnych punktów konsultacyjnych, o których mowa w art. 8 ust. 5 pkt 1 lit. a ustawy – Prawo oświatowe, oraz szkół, o których mowa w art. 8 ust. 5 pkt 2 lit. c ustawy – Prawo oświatowe, które umożliwiają tym uczniom uzupełnienie wykształcenia w zakresie szkoły podstawowej, mają prawo do bezpłatnego dostępu do podręczników, materiałów edukacyjnych lub materiałów ćwiczeniowych, umożliwiających nauczanie obowiązkowych zajęć edukacyjnych, określonych w planie nauczania uzupełniającego, o którym mowa w przepisach wydanych na podstawie art. 47 ust. 3 pkt 1 ustawy – Prawo oświatowe. Do szkolnych punktów konsultacyjnych przepisy ust. 3 i 4 oraz art. 64 stosuje się odpowiednio.
3.
Publiczna szkoła podstawowa i szkoła artystyczna realizująca kształcenie ogólne w zakresie szkoły podstawowej nieodpłatnie:
1)
wypożycza uczniom podręczniki lub materiały edukacyjne, mające postać papierową, lub
2)
zapewnia uczniom dostęp do podręczników lub materiałów edukacyjnych, mających postać elektroniczną, lub
3)
przekazuje uczniom materiały ćwiczeniowe bez obowiązku zwrotu lub je udostępnia.
4.
Szczegółowe warunki korzystania przez uczniów z podręczników lub materiałów edukacyjnych określa dyrektor publicznej szkoły podstawowej i szkoły artystycznej realizującej kształcenie ogólne w zakresie szkoły podstawowej, uwzględniając konieczność zapewnienia co najmniej trzyletniego okresu używania tych podręczników lub materiałów.
5.
Przepisów ust. 1–4 nie stosuje się do szkół dla dorosłych.
1)
publicznych szkół podstawowych i szkół artystycznych realizujących kształcenie ogólne w zakresie szkoły podstawowej w podręczniki do zajęć z zakresu edukacji: polonistycznej, matematycznej, przyrodniczej i społecznej, podręczniki do zajęć z zakresu danego języka obcego nowożytnego, materiały edukacyjne lub materiały ćwiczeniowe, dla klas I–III,
2)
publicznych szkół podstawowych i szkół artystycznych realizujących kształcenie ogólne w zakresie szkoły podstawowej w podręczniki, materiały edukacyjne lub materiały ćwiczeniowe, dla klas IV–VIII
-
jest zadaniem zleconym z zakresu administracji rządowej, wykonywanym przez jednostki samorządu terytorialnego prowadzące te szkoły.
2.
W przypadku publicznych szkół podstawowych prowadzonych przez osoby prawne niebędące jednostkami samorządu terytorialnego oraz osoby fizyczne, zapewnienie sfinansowania kosztu zakupu podręczników, materiałów edukacyjnych lub materiałów ćwiczeniowych, o których mowa w ust. 1, jest zadaniem zleconym z zakresu administracji rządowej, wykonywanym przez jednostki samorządu terytorialnego będące dla tych szkół organem rejestrującym.
3.
Na realizację zadania, o którym mowa w ust. 1 i 2, jednostka samorządu terytorialnego otrzymuje dotację celową z budżetu państwa, udzielaną przez wojewodę.
4.
Na sfinansowanie kosztu zakupu podręczników, materiałów edukacyjnych lub materiałów ćwiczeniowych, o których mowa w ust. 1, publiczna szkoła podstawowa prowadzona przez osobę prawną niebędącą jednostką samorządu terytorialnego oraz osobę fizyczną otrzymuje, na wniosek, dotację celową z budżetu jednostki samorządu terytorialnego będącej dla tej szkoły organem rejestrującym.
5.
Dotacja celowa jest obliczana i przyznawana na wyposażenie publicznych szkół podstawowych i szkół artystycznych realizujących kształcenie ogólne w zakresie szkoły podstawowej w:
1)
podręczniki do zajęć z zakresu edukacji: polonistycznej, matematycznej, przyrodniczej i społecznej, podręczniki do zajęć z zakresu danego języka obcego nowożytnego lub materiały edukacyjne, w kwocie do wysokości 75 zł na ucznia – w przypadku klas I–III;
2)
materiały ćwiczeniowe w kwocie do wysokości 50 zł na ucznia – w przypadku klas I–III;
3)
podręczniki lub materiały edukacyjne, w kwocie do wysokości:
a)
140 zł na ucznia – w przypadku klasy IV,
b)
180 zł na ucznia – w przypadku klasy V i VI,
c)
250 zł na ucznia – w przypadku klasy VII i VIII;
4)
materiały ćwiczeniowe w kwocie do wysokości 25 zł na ucznia – w przypadku klas IV–VIII.
6.
Kwoty dotacji celowej, o których mowa w ust. 5, oraz kwota refundacji, o której mowa w art. 57 ust. 4, są powiększane przez pomnożenie ich przez wskaźniki:
1)
nie mniejsze niż 2 i nie większe niż 3 – w przypadku uczniów z niepełnosprawnością intelektualną, niesłyszących, słabosłyszących, z autyzmem, w tym z zespołem Aspergera, niewidomych i słabowidzących, z zastrzeżeniem pkt 2 i 3, posiadających orzeczenie o potrzebie kształcenia specjalnego, o ile uczniowie ci będą korzystać z podręczników, materiałów edukacyjnych lub materiałów ćwiczeniowych, dostosowanych do potrzeb edukacyjnych i możliwości psychofizycznych tych uczniów;
2)
nie mniejsze niż 5 i nie większe niż 10 – w przypadku uczniów słabowidzących posiadających orzeczenie o potrzebie kształcenia specjalnego, o ile uczniowie ci będą korzystać z podręczników do kształcenia specjalnego przeznaczonych dla uczniów słabowidzących, materiałów edukacyjnych lub materiałów ćwiczeniowych, dostosowanych do potrzeb edukacyjnych i możliwości psychofizycznych tych uczniów, wydrukowanych w druku powiększonym;
3)
nie mniejsze niż 10 i nie większe niż 25 – w przypadku uczniów niewidomych posiadających orzeczenie o potrzebie kształcenia specjalnego, o ile uczniowie ci będą korzystać z podręczników do kształcenia specjalnego przeznaczonych dla uczniów niewidomych, materiałów edukacyjnych lub materiałów ćwiczeniowych, dostosowanych do potrzeb edukacyjnych i możliwości psychofizycznych tych uczniów, wydrukowanych w systemie Braille'a lub technologii umożliwiającej ich odczyt przez uczniów niewidomych.
7.
Maksymalne kwoty dotacji celowej, o których mowa w ust. 5, mogą podlegać weryfikacji. Weryfikacji dokonuje minister właściwy do spraw oświaty i wychowania, biorąc pod uwagę liczbę obowiązkowych zajęć edukacyjnych z zakresu kształcenia ogólnego na danym etapie edukacyjnym, warunki, jakie muszą spełniać podręczniki oraz kształtowanie się cen podręczników, materiałów edukacyjnych i materiałów ćwiczeniowych.
8.
Maksymalne kwoty dotacji celowej, o których mowa w ust. 5, po weryfikacji obowiązują od roku budżetowego następującego po roku, w którym była dokonana weryfikacja.
9.
Koszty obsługi zadania, o którym mowa w ust. 1 i 2, wynoszą 1% przekazanej kwoty dotacji celowej.
10.
Rada Ministrów może określić, w drodze rozporządzenia, maksymalne kwoty dotacji celowej, o których mowa w ust. 5, po weryfikacji, w terminie do końca czerwca roku, w którym jest dokonywana weryfikacja.
Art. 56.
1.
Dotacja celowa, o której mowa w art. 55 ust. 5 pkt 1 i 3, jest udzielana, z uwzględnieniem kosztów obsługi zadania, o których mowa w art. 55 ust. 9, do wysokości stanowiącej iloczyn liczby uczniów danej klasy, którym należy zapewnić komplet podręczników lub materiałów edukacyjnych, oraz odpowiednio kwot, o których mowa w art. 55 ust. 5 pkt 1 i 3, z uwzględnieniem wskaźników, o których mowa w art. 55 ust. 6, pod warunkiem że taki komplet podręczników lub materiałów edukacyjnych będzie zapewniał możliwość używania ich przez uczniów tej klasy przez co najmniej trzy kolejne lata szkolne. Następna dotacja celowa na uczniów tej klasy jest udzielana po trzech kolejnych latach szkolnych.
2.
Liczba uczniów danej klasy objęta dotacją celową, o której mowa w art. 55 ust. 5 pkt 1 i 3, udzielaną zgodnie z ust. 1, jest zwiększana o liczbę uczniów równą liczbie oddziałów danej klasy objętych tą dotacją.
3.
Dotacja celowa, o której mowa w art. 55 ust. 5 pkt 2 i 4, jest udzielana corocznie, z uwzględnieniem kosztów obsługi zadania, o których mowa w art. 55 ust. 9, do wysokości stanowiącej iloczyn liczby uczniów danej klasy, którym należy zapewnić materiały ćwiczeniowe, oraz odpowiednio kwot, o których mowa w art. 55 ust. 5 pkt 2 i 4, z uwzględnieniem wskaźników, o których mowa w art. 55 ust. 6.
4.
W ramach łącznej kwoty dotacji celowej, o której mowa w art. 55 ust. 5 pkt 1 i 3, przyznanej na wyposażenie danej publicznej szkoły podstawowej lub szkoły artystycznej realizującej kształcenie ogólne w zakresie szkoły podstawowej, w danym roku budżetowym, w podręczniki lub materiały edukacyjne, dyrektor tej szkoły, ustalając zestaw podręczników lub materiałów edukacyjnych zgodnie z art. 22ab ust. 4 pkt 1 ustawy o systemie oświaty, może w uzasadnionych przypadkach wyrazić zgodę na zwiększenie kosztu zakupu kompletu podręczników lub materiałów edukacyjnych na każdego ucznia danej klasy, przekraczając odpowiednio kwoty, o których mowa w art. 55 ust. 5 pkt 1 albo 3, informując jednocześnie organ prowadzący o zwiększeniu kosztu zakupu kompletu podręczników lub materiałów edukacyjnych.
5.
W ramach łącznej kwoty dotacji celowej, o której mowa w art. 55 ust. 5 pkt 2 i 4, przyznanej na wyposażenie danej publicznej szkoły podstawowej lub szkoły artystycznej realizującej kształcenie ogólne w zakresie szkoły podstawowej, w danym roku budżetowym, w materiały ćwiczeniowe, dyrektor tej szkoły, ustalając materiały ćwiczeniowe zgodnie z art. 22ab ust. 4 pkt 2 ustawy o systemie oświaty, może w uzasadnionych przypadkach wyrazić zgodę na zwiększenie kosztu zakupu materiałów ćwiczeniowych na każdego ucznia danej klasy, przekraczając odpowiednio kwoty, o których mowa w art. 55 ust. 5 pkt 2 albo 4, informując jednocześnie organ prowadzący o zwiększeniu kosztu zakupu materiałów ćwiczeniowych.
6.
W przypadku kwot dotacji celowej, o których mowa w art. 55 ust. 5, powiększonych wskaźnikami określonymi w art. 55 ust. 6 i w przepisach wydanych na podstawie art. 61, nie stosuje się przepisów ust. 4 i 5.
7.
Dotacja celowa może być wykorzystana także na pokrycie kosztu drukowania i powielania podręczników, materiałów edukacyjnych i materiałów ćwiczeniowych w celach dydaktycznych lub na zakup urządzeń umożliwiających drukowanie lub powielanie tych podręczników i materiałów, a w przypadku uczniów niepełnosprawnych posiadających orzeczenie o potrzebie kształcenia specjalnego – także na zakup sprzętu lub oprogramowania umożliwiającego odczyt podręczników, materiałów edukacyjnych lub materiałów ćwiczeniowych w postaci elektronicznej.
Art. 57.
1.
Jeżeli w latach następujących po roku, w którym udzielono dotacji celowej na wszystkich uczniów danej klasy, istnieje konieczność zapewnienia kompletu podręczników, materiałów edukacyjnych lub materiałów ćwiczeniowych dla danej klasy, która nie funkcjonowała w danej szkole lub do tej klasy nie uczęszczali uczniowie, dotacja celowa, o której mowa w art. 55 ust. 5, jest udzielana do wysokości stanowiącej iloczyn liczby uczniów tej klasy, którym należy zapewnić komplet podręczników, materiałów edukacyjnych lub materiałów ćwiczeniowych, oraz odpowiednio kwot, o których mowa w art. 55 ust. 5, z uwzględnieniem wskaźników, o których mowa w art. 55 ust. 6. Przepisy art. 56 ust. 4–6 stosuje się odpowiednio.
2.
W przypadku gdy w ramach danej klasy nie funkcjonował dany oddział przepis ust. 1 stosuje się odpowiednio. Przepis art. 56 ust. 2 stosuje się odpowiednio.
3.
Jeżeli istnieje konieczność zapewnienia odpowiedniego kompletu podręczników lub materiałów edukacyjnych, w tym kompletu dostosowanego do potrzeb edukacyjnych i możliwości psychofizycznych ucznia niepełnosprawnego, w przypadku gdy:
1)
liczba uczniów danej klasy jest większa niż w poprzednim roku szkolnym, a od roku szkolnego rozpoczynającego się w roku, w którym udzielono ostatniej dotacji celowej na wszystkich uczniów tej klasy, nie upłynęły trzy lata szkolne lub
2)
liczba uczniów danej klasy nie jest większa niż w poprzednim roku szkolnym, a istnieje konieczność zakupu kompletu podręczników lub materiałów edukacyjnych, w szczególności dostosowanego do potrzeb edukacyjnych i możliwości psychofizycznych ucznia niepełnosprawnego, z powodu niedokonania zakupu takiego kompletu ze środków ostatniej dotacji celowej udzielonej na wszystkich uczniów tej klasy lub udzielonej w poprzednim roku, jeżeli ostatniej dotacji celowej na wszystkich uczniów tej klasy udzielono dwa lata temu, lub
3)
komplet podręczników lub materiałów edukacyjnych dostosowany do potrzeb edukacyjnych i możliwości psychofizycznych ucznia niepełnosprawnego został wcześniej przekazany innej szkole, zgodnie z art. 64 ust. 3
-
dotacja celowa, o której mowa w art. 55 ust. 5 pkt 1 i 3, jest udzielana do wysokości stanowiącej iloczyn liczby zakupionych brakujących kompletów podręczników lub materiałów edukacyjnych, w tym dostosowanych do potrzeb edukacyjnych i możliwości psychofizycznych uczniów niepełnosprawnych, oraz odpowiednio kwot, o których mowa w art. 55 ust. 5 pkt 1 i 3, z uwzględnieniem wskaźników, o których mowa w art. 55 ust. 6.
4.
Jeżeli w latach następujących po roku, w którym udzielono dotacji celowej na wszystkich uczniów danej klasy na wyposażenie klas IV–VIII publicznej szkoły podstawowej oraz szkół artystycznych realizujących kształcenie ogólne w zakresie klas IV–VIII szkoły podstawowej, istnieje konieczność zapewnienia, ze względu na zdiagnozowany stopień zaawansowania znajomości danego języka obcego nowożytnego przez uczniów kolejnych roczników tych klas, podręczników lub materiałów edukacyjnych do danego języka obcego nowożytnego innych pod względem poziomu zaawansowania niż zakupione ze środków dotacji celowej, koszt zakupu tych brakujących podręczników lub materiałów edukacyjnych jest refundowany ze środków dotacji celowej przekazanej na wyposażenie tych szkół w podręczniki lub materiały edukacyjne na kolejny rok szkolny. Kwota refundacji zapewnienia tych podręczników lub materiałów edukacyjnych jest przyznawana do wysokości 25 zł na ucznia, z uwzględnieniem kosztów obsługi zadania, o których mowa w art. 55 ust. 9.
5.
Jeżeli w wyniku zwiększenia się liczby uczniów danej klasy w ciągu roku szkolnego środki z przekazanej dotacji celowej nie pokryją kosztu zakupu kompletów podręczników, materiałów edukacyjnych lub materiałów ćwiczeniowych dla tych uczniów, koszt zakupu brakujących kompletów podręczników, materiałów edukacyjnych lub materiałów ćwiczeniowych jest refundowany ze środków dotacji celowej przekazanej na wyposażenie publicznych szkół podstawowych i szkół artystycznych realizujących kształcenie ogólne w zakresie szkoły podstawowej w podręczniki, materiały edukacyjne lub materiały ćwiczeniowe na kolejny rok szkolny. Kwota refundacji jest przyznawana do wysokości stanowiącej iloczyn liczby zakupionych brakujących kompletów podręczników, materiałów edukacyjnych lub materiałów ćwiczeniowych oraz odpowiednio kwot, o których mowa w art. 55 ust. 5, z uwzględnieniem wskaźników, o których mowa w art. 55 ust. 6.
6.
Jeżeli w ciągu roku szkolnego istnieje konieczność zakupu dodatkowych kompletów podręczników, materiałów edukacyjnych lub materiałów ćwiczeniowych, dostosowanych do potrzeb edukacyjnych i możliwości psychofizycznych uczniów niepełnosprawnych, w wyniku:
1)
dostarczenia do szkoły orzeczenia o potrzebie kształcenia specjalnego, a środki z przekazanej dotacji celowej nie pokryją kosztu zakupu tych kompletów, lub
2)
braku możliwości uzyskania tych kompletów z innej szkoły w drodze przekazania, zgodnie z art. 64 ust. 3
-
koszt zakupu brakujących kompletów podręczników, materiałów edukacyjnych lub materiałów ćwiczeniowych, dostosowanych do potrzeb edukacyjnych i możliwości psychofizycznych uczniów niepełnosprawnych, jest refundowany ze środków dotacji celowej przekazanej na wyposażenie publicznych szkół podstawowych i szkół artystycznych realizujących kształcenie ogólne w zakresie szkoły podstawowej w podręczniki, materiały edukacyjne lub materiały ćwiczeniowe na kolejny rok szkolny. Kwota refundacji jest przyznawana do wysokości stanowiącej iloczyn liczby zakupionych brakujących kompletów podręczników, materiałów edukacyjnych lub materiałów ćwiczeniowych, dostosowanych do potrzeb edukacyjnych i możliwości psychofizycznych uczniów niepełnosprawnych, oraz odpowiednio kwot, o których mowa w art. 55 ust. 5, z uwzględnieniem wskaźników, o których mowa w art. 55 ust. 6.
Art. 58.
1.
Dotacja celowa, o której mowa w art. 55 ust. 3, jest przekazywana w terminie od dnia 6 maja do dnia 15 października.
2.
Dyrektor publicznej szkoły podstawowej oraz szkoły artystycznej realizującej kształcenie ogólne w zakresie szkoły podstawowej, prowadzonych przez jednostkę samorządu terytorialnego, przekazuje organowi prowadzącemu informacje niezbędne dla ustalenia wysokości dotacji celowej, o której mowa w art. 55 ust. 3.
3.
Dyrektor publicznej szkoły podstawowej prowadzonej przez osobę prawną niebędącą jednostką samorządu terytorialnego oraz osobę fizyczną przekazuje jednostce samorządu terytorialnego, właściwej do udzielenia dotacji celowej, o której mowa w art. 55 ust. 4, wniosek o udzielenie tej dotacji wraz z informacjami niezbędnymi dla ustalenia wysokości dotacji.
4.
Informacje i wniosek, o których mowa w ust. 2 i 3, oraz ich aktualizacje, o których mowa w ust. 7, przekazuje się w terminie od dnia 1 kwietnia do dnia 10 września.
5.
Dotacja celowa, o której mowa w art. 55 ust. 4, jest przekazywana w terminie 14 dni od dnia otrzymania dotacji celowej, o której mowa w art. 55 ust. 3, przez jednostkę samorządu terytorialnego.
6.
Jednostka samorządu terytorialnego, na podstawie informacji i wniosków, o których mowa w ust. 2 i 3, przekazuje do wojewody wniosek o udzielenie dotacji celowej, o której mowa w art. 55 ust. 3, w terminie od dnia 15 kwietnia do dnia 15 września. Jednostka samorządu terytorialnego może złożyć więcej niż jeden wniosek.
7.
Dyrektor publicznej szkoły podstawowej oraz szkoły artystycznej realizującej kształcenie ogólne w zakresie szkoły podstawowej, o których mowa w ust. 2 i 3, ma obowiązek dokonania aktualizacji informacji i wniosku, o których mowa w ust. 2 i 3, w związku ze zmianą prognozowanej liczby uczniów w danych klasach lub zmianą wyników postępowania rekrutacyjnego do tych szkół.
8.
Jednostka samorządu terytorialnego na podstawie informacji i wniosków, o których mowa w ust. 7, ma obowiązek dokonania aktualizacji wniosku, o którym mowa w ust. 6.
9.
Jeżeli w wyniku aktualizacji informacji i wniosku, o których mowa w ust. 7, złożonych przez publiczną szkołę podstawową prowadzoną przez osobę prawną niebędącą jednostką samorządu terytorialnego oraz osobę fizyczną, wnioskowana kwota dotacji celowej ulegnie zmniejszeniu, a dotacja celowa przekazana przez jednostkę samorządu terytorialnego przekracza kwotę wskazaną w aktualizacji informacji i wniosku, szkoła, w terminie 5 dni od dnia złożenia tej aktualizacji, zwraca jednostce samorządu terytorialnego kwotę dotacji równą różnicy między kwotą, którą szkoła otrzymała, a kwotą wynikającą z aktualizacji.
10.
Jeżeli w wyniku aktualizacji wniosku, o której mowa w ust. 8, wnioskowana kwota dotacji celowej ulegnie zmniejszeniu, a dotacja celowa przekazana przez wojewodę jednostce samorządu terytorialnego przekracza kwotę wskazaną w aktualizacji wniosku, jednostka samorządu terytorialnego, w terminie 5 dni od dnia złożenia aktualizacji, zwraca wojewodzie kwotę dotacji równą różnicy między kwotą, którą jednostka samorządu terytorialnego otrzymała, a kwotą wynikającą z aktualizacji.
Art. 59.
1.
Dotacja celowa może być wykorzystana do końca roku budżetowego, na który została udzielona.
2.
Dyrektor publicznej szkoły podstawowej prowadzonej przez osobę prawną niebędącą jednostką samorządu terytorialnego oraz osobę fizyczną rozlicza wykorzystanie dotacji celowej, o której mowa w art. 55 ust. 4, z łącznej kwoty dotacji celowej, o której mowa w art. 55 ust. 5 pkt 1 i 3, z uwzględnieniem wskaźników, o których mowa w art. 55 ust. 6, w tym kwot refundacji, o których mowa w art. 57 ust. 4–6, przyznanej na wyposażenie tej szkoły w podręczniki lub materiały edukacyjne, w danym roku budżetowym.
3.
Dyrektor publicznej szkoły podstawowej prowadzonej przez osobę prawną niebędącą jednostką samorządu terytorialnego oraz osobę fizyczną rozlicza wykorzystanie dotacji celowej, o której mowa w art. 55 ust. 4, z łącznej kwoty dotacji celowej, o której mowa w art. 55 ust. 5 pkt 2 i 4, z uwzględnieniem wskaźników, o których mowa w art. 55 ust. 6, w tym kwot refundacji, o których mowa w art. 57 ust. 5 i 6, przyznanej na wyposażenie tej szkoły w materiały ćwiczeniowe, w danym roku budżetowym.
4.
Jednostka samorządu terytorialnego rozlicza wykorzystanie dotacji celowej, o której mowa w art. 55 ust. 3, z łącznej kwoty dotacji celowej przyznanej, w danym roku budżetowym, na wyposażenie publicznych szkół podstawowych oraz szkół artystycznych realizujących kształcenie ogólne w zakresie szkoły podstawowej w podręczniki lub materiały edukacyjne, w tym kwot refundacji, o których mowa w art. 57 ust. 4–6, w odniesieniu do każdej ze szkół prowadzonych przez tę jednostkę samorządu terytorialnego lub szkół, dla której ta jednostka samorządu terytorialnego jest organem rejestrującym.
5.
Jednostka samorządu terytorialnego rozlicza wykorzystanie dotacji celowej, o której mowa w art. 55 ust. 3, z łącznej kwoty dotacji celowej przyznanej, w danym roku budżetowym, na wyposażenie publicznych szkół podstawowych oraz szkół artystycznych realizujących kształcenie ogólne w zakresie szkoły podstawowej w materiały ćwiczeniowe, w tym kwot refundacji, o których mowa w art. 57 ust. 5 i 6, w odniesieniu do każdej ze szkół prowadzonych przez tę jednostkę samorządu terytorialnego lub szkół, dla których ta jednostka samorządu terytorialnego jest organem rejestrującym.
6.
Rozliczenie wykorzystania dotacji celowej, o której mowa w art. 55 ust. 4, przez dyrektora publicznej szkoły podstawowej prowadzonej przez osobę prawną niebędącą jednostką samorządu terytorialnego oraz osobę fizyczną oraz zwrot niewykorzystanej dotacji następują w terminie do dnia 15 stycznia następnego roku.
7.
Rozliczenie wykorzystania dotacji celowej, o której mowa w art. 55 ust. 3, przez jednostkę samorządu terytorialnego oraz zwrot niewykorzystanej dotacji następują w terminie do dnia 31 stycznia następnego roku.
8.
Wojewoda sporządza i przekazuje ministrowi właściwemu do spraw oświaty i wychowania, w terminie do dnia 15 marca następnego roku, zbiorcze zestawienie wykorzystania dotacji celowej, o której mowa w art. 55 ust. 3, przez jednostki samorządu terytorialnego w danym roku budżetowym.
Art. 60.
Minister właściwy do spraw oświaty i wychowania określi corocznie, w drodze rozporządzenia:
1)
sposób przekazywania przez dyrektora publicznej szkoły podstawowej lub szkoły artystycznej realizującej kształcenie ogólne w zakresie szkoły podstawowej prowadzonych przez jednostki samorządu terytorialnego oraz dyrektora publicznej szkoły podstawowej prowadzonej przez osobę prawną niebędącą jednostką samorządu terytorialnego oraz osobę fizyczną jednostkom samorządu terytorialnego informacji niezbędnych dla ustalenia wysokości dotacji celowej, o której mowa w art. 55 ust. 3 i 4, w tym kwot refundacji, o których mowa w art. 57 ust. 4–6, oraz wzór formularza zawierającego te informacje,
2)
wzór wniosku o udzielenie dotacji celowej, o której mowa w art. 55 ust. 4, w tym kwot refundacji, o których mowa w art. 57 ust. 4–6, szkole podstawowej prowadzonej przez osobę prawną niebędącą jednostką samorządu terytorialnego oraz osobę fizyczną,
3)
sposób przekazywania przez jednostki samorządu terytorialnego wojewodom wniosku o udzielenie dotacji celowej, o której mowa w art. 55 ust. 3, w tym kwot refundacji, o których mowa w art. 57 ust. 4–6, oraz wzór wniosku o udzielenie tej dotacji,
4)
tryb i terminy udzielania oraz szczegółowy sposób rozliczania wykorzystania dotacji celowej, o której mowa w art. 55 ust. 3, w tym kwot refundacji, o których mowa w art. 57 ust. 4–6, oraz wzór formularza rozliczenia wykorzystania tej dotacji,
5)
szczegółowy sposób rozliczania wykorzystania dotacji celowej, o której mowa w art. 55 ust. 4, w tym kwot refundacji, o których mowa w art. 57 ust. 4–6, oraz wzór formularza rozliczenia wykorzystania tej dotacji
-
biorąc pod uwagę możliwość wykorzystania środków komunikacji elektronicznej i informatycznych nośników danych, a także mając na względzie zapewnienie jawności i przejrzystości gospodarowania środkami budżetu państwa.
Art. 61.
Minister właściwy do spraw oświaty i wychowania określi, w drodze rozporządzenia, wysokość wskaźników, o których mowa w art. 55 ust. 6, biorąc pod uwagę wyniki analiz kształtowania się cen podręczników, materiałów edukacyjnych lub materiałów ćwiczeniowych, dostosowanych do potrzeb edukacyjnych i możliwości psychofizycznych uczniów z niepełnosprawnością intelektualną, niesłyszących, słabosłyszących, z autyzmem, w tym z zespołem Aspergera, niewidomych i słabowidzących, a także możliwość zapewnienia tych podręczników, materiałów edukacyjnych lub materiałów ćwiczeniowych.
Art. 62.
1.
Na sfinansowanie kosztu zakupu podręczników, materiałów edukacyjnych lub materiałów ćwiczeniowych w zakresie, o którym mowa w art. 55 ust. 1, publiczne szkoły artystyczne realizujące kształcenie ogólne w zakresie szkoły podstawowej prowadzone przez osoby prawne niebędące jednostkami samorządu terytorialnego oraz osoby fizyczne otrzymują, na wniosek, dotację celową z budżetu państwa. Przepisy art. 55 ust. 5–8, art. 56 i art. 57 oraz przepisy wydane na podstawie art. 55 ust. 10 stosuje się odpowiednio.
2.
Dotacja celowa, o której mowa w ust. 1, jest przekazywana w terminie od dnia 6 maja do dnia 15 października.
3.
Dyrektor publicznej szkoły artystycznej realizującej kształcenie ogólne w zakresie szkoły podstawowej prowadzonej przez osobę prawną niebędącą jednostką samorządu terytorialnego oraz osobę fizyczną przekazuje do ministra właściwego do spraw kultury i ochrony dziedzictwa narodowego, w terminie od dnia 1 kwietnia do dnia 10 września, wniosek o udzielenie dotacji celowej, o której mowa w ust. 1, wraz z informacjami niezbędnymi dla ustalenia wysokości dotacji.
4.
Dyrektor publicznej szkoły artystycznej realizującej kształcenie ogólne w zakresie szkoły podstawowej prowadzonej przez osobę prawną niebędącą jednostką samorządu terytorialnego oraz osobę fizyczną ma obowiązek dokonania aktualizacji informacji i wniosku, o których mowa w ust. 3, w związku ze zmianą prognozowanej liczby uczniów w danych klasach lub zmianą wyników postępowania rekrutacyjnego do tej szkoły.
5.
Jeżeli w wyniku aktualizacji informacji i wniosku, o której mowa w ust. 4, złożonej przez publiczną szkołę artystyczną realizującą kształcenie ogólne w zakresie szkoły podstawowej prowadzonej przez osobę prawną niebędącą jednostką samorządu terytorialnego oraz osobę fizyczną wnioskowana kwota dotacji celowej ulegnie zmniejszeniu, a dotacja celowa przekazana przez ministra właściwego do spraw kultury i ochrony dziedzictwa narodowego przekracza kwotę wskazaną w aktualizacji informacji i wniosku, szkoła, w terminie 5 dni od dnia złożenia tej aktualizacji, zwraca ministrowi właściwemu do spraw kultury i ochrony dziedzictwa narodowego kwotę dotacji równą różnicy między kwotą, którą ta szkoła otrzymała, a kwotą wynikającą z aktualizacji.
6.
Dotacja celowa, o której mowa w ust. 1, może być wykorzystana do końca roku budżetowego, na który została udzielona.
7.
Dyrektor publicznej szkoły artystycznej realizującej kształcenie ogólne w zakresie szkoły podstawowej prowadzonej przez osobę prawną niebędącą jednostką samorządu terytorialnego oraz osobę fizyczną rozlicza wykorzystanie dotacji celowej, o której mowa w ust. 1, z łącznej kwoty dotacji celowej, o której mowa w art. 55 ust. 5 pkt 1 i 3, z uwzględnieniem wskaźników, o których mowa w art. 55 ust. 6, w tym kwot refundacji, o których mowa w art. 57 ust. 4–6, udzielonej na wyposażenie tej szkoły w podręczniki lub materiały edukacyjne, w danym roku budżetowym.
8.
Dyrektor publicznej szkoły artystycznej realizującej kształcenie ogólne w zakresie szkoły podstawowej prowadzonej przez osobę prawną niebędącą jednostką samorządu terytorialnego oraz osobę fizyczną rozlicza wykorzystanie dotacji celowej, o której mowa w ust. 1, z łącznej kwoty dotacji celowej, o której mowa w art. 55 ust. 5 pkt 2 i 4, z uwzględnieniem wskaźników, o których mowa w art. 55 ust. 6, w tym kwot refundacji, o których mowa w art. 57 ust. 5 i 6, udzielonej na wyposażenie tej szkoły w materiały ćwiczeniowe, w danym roku budżetowym.
9.
Minister właściwy do spraw kultury i ochrony dziedzictwa narodowego rozlicza wykorzystanie dotacji celowej, o której mowa w ust. 1, z łącznej kwoty dotacji celowej przyznanej, w danym roku budżetowym, na wyposażenie publicznych szkół artystycznych realizujących kształcenie ogólne w zakresie szkoły podstawowej w podręczniki lub materiały edukacyjne, w tym kwot refundacji, o których mowa w art. 57 ust. 4–6, w odniesieniu do każdej ze szkół prowadzonych przez osoby prawne niebędące jednostkami samorządu terytorialnego oraz osoby fizyczne.
10.
Minister właściwy do spraw kultury i ochrony dziedzictwa narodowego rozlicza wykorzystanie dotacji celowej, o której mowa w ust. 1, z łącznej kwoty dotacji celowej przyznanej, w danym roku budżetowym, na wyposażenie publicznych szkół artystycznych realizujących kształcenie ogólne w zakresie szkoły podstawowej w materiały ćwiczeniowe, w tym kwot refundacji, o których mowa w art. 57 ust. 5 i 6, w odniesieniu do każdej ze szkół prowadzonych przez osoby prawne niebędące jednostkami samorządu terytorialnego oraz osoby fizyczne.
11.
Rozliczenie wykorzystania dotacji celowej, o której mowa w ust. 1, przez dyrektora publicznej szkoły artystycznej realizującej kształcenie ogólne w zakresie szkoły podstawowej prowadzonej przez osoby prawne niebędące jednostkami samorządu terytorialnego oraz osoby fizyczne oraz zwrot niewykorzystanej dotacji następują w terminie do dnia 15 stycznia następnego roku.
12.
Minister właściwy do spraw kultury i ochrony dziedzictwa narodowego określi corocznie, w drodze rozporządzenia:
1)
sposób przekazywania przez dyrektora publicznej szkoły artystycznej realizującej kształcenie ogólne w zakresie szkoły podstawowej prowadzonej przez osobę prawną niebędącą jednostką samorządu terytorialnego oraz osobę fizyczną informacji niezbędnych dla ustalenia wysokości dotacji celowej, o której mowa w ust. 1, w tym kwot refundacji, o których mowa w art. 57 ust. 4–6, wzór formularza zawierającego te informacje oraz wzór wniosku o udzielenie dotacji,
2)
tryb udzielania oraz szczegółowy sposób rozliczania wykorzystania dotacji celowej, o której mowa w ust. 1, w tym kwot refundacji, o których mowa w art. 57 ust. 4–6, oraz wzór formularza rozliczenia wykorzystania tej dotacji
-
biorąc pod uwagę możliwość wykorzystania środków komunikacji elektronicznej i informatycznych nośników danych, a także mając na względzie zapewnienie jawności i przejrzystości gospodarowania środkami budżetu państwa.
Art. 63.
1.
Dyrektor publicznej szkoły podstawowej i szkoły artystycznej realizującej kształcenie ogólne w zakresie szkoły podstawowej, za zgodą organu prowadzącego, może ustalić:
1)
w zestawie, o którym mowa w art. 22ab ust. 4 pkt 1 ustawy o systemie oświaty, podręczniki lub materiały edukacyjne, których koszt zakupu dla ucznia przekracza kwotę dotacji celowej, o której mowa odpowiednio w art. 55 ust. 5 pkt 1 i 3, udzielonej w danym roku budżetowym, z uwzględnieniem przypadku możliwości zwiększenia kosztu zakupu tych podręczników lub materiałów edukacyjnych, o której mowa w art. 56 ust. 4;
2)
materiały ćwiczeniowe, których koszt zakupu na ucznia przekracza kwotę dotacji celowej, o której mowa odpowiednio w art. 55 ust. 5 pkt 2 i 4, udzielonej w danym roku budżetowym, z uwzględnieniem przypadku możliwości zwiększenia kosztu zakupu tych materiałów ćwiczeniowych, o której mowa w art. 56 ust. 5;
3)
w zestawie, o którym mowa w art. 22ab ust. 4 pkt 1 ustawy o systemie oświaty, podręczniki lub materiały edukacyjne, których koszt zakupu na ucznia przekracza odpowiednio kwoty dotacji celowej, o których mowa w art. 55 ust. 5 pkt 1 i 3, z uwzględnieniem wskaźników, o których mowa w art. 55 ust. 6 – w przypadku ustalania w zestawie podręczników lub materiałów edukacyjnych, dostosowanych do potrzeb edukacyjnych i możliwości psychofizycznych uczniów niepełnosprawnych;
4)
materiały ćwiczeniowe, których koszt zakupu na ucznia przekracza odpowiednio kwoty dotacji celowej, o których mowa w art. 55 ust. 5 pkt 2 i 4, z uwzględnieniem wskaźników, o których mowa w art. 55 ust. 6 – w przypadku ustalania materiałów ćwiczeniowych dostosowanych do potrzeb edukacyjnych i możliwości psychofizycznych uczniów niepełnosprawnych.
2.
W przypadkach, o których mowa w ust. 1 pkt 1 i 2, różnicę między kosztem zakupu dla ucznia kompletu podręczników lub materiałów edukacyjnych oraz zakupu materiałów ćwiczeniowych a wysokością kwot dotacji celowej, o których mowa w art. 55 ust. 5, z uwzględnieniem przypadku, o którym mowa odpowiednio w art. 56 ust. 4 i 5, pokrywa organ prowadzący publiczną szkołę podstawową lub szkołę artystyczną realizującą kształcenie ogólne w zakresie szkoły podstawowej.
3.
W przypadkach, o których mowa w ust. 1 pkt 3 i 4, różnicę między kosztem zakupu dla ucznia kompletu podręczników lub materiałów edukacyjnych oraz zakupu materiałów ćwiczeniowych a wysokością kwot dotacji celowej, o których mowa w art. 55 ust. 5, z uwzględnieniem wskaźników, o których mowa w art. 55 ust. 6, pokrywa organ prowadzący publiczną szkołę podstawową lub szkołę artystyczną realizującą kształcenie ogólne w zakresie szkoły podstawowej.
4.
W przypadku, o którym mowa odpowiednio w art. 57 ust. 3 pkt 1 i 2, różnicę między kosztem zakupu dla ucznia kompletu podręczników lub materiałów edukacyjnych a wysokością kwot dotacji celowej, o których mowa w art. 55 ust. 5 pkt 1 i 3, z uwzględnieniem przypadku, o którym mowa w art. 56 ust. 4, pokrywa organ prowadzący publiczną szkołę podstawową lub szkołę artystyczną realizującą kształcenie ogólne w zakresie szkoły podstawowej.
Art. 64.
1.
W przypadku uszkodzenia, zniszczenia lub niezwrócenia podręcznika lub materiału edukacyjnego publiczna szkoła podstawowa lub szkoła artystyczna realizująca kształcenie ogólne w zakresie szkoły podstawowej może żądać od rodziców ucznia zwrotu kwoty nieprzekraczającej kosztu zakupu podręcznika lub materiału edukacyjnego. Kwota zwrotu stanowi dochód organu prowadzącego publiczną szkołę podstawową lub szkołę artystyczną realizującą kształcenie ogólne w zakresie szkoły podstawowej.
2.
W przypadku gdy uczeń niepełnosprawny przechodzi z jednej publicznej szkoły podstawowej lub szkoły artystycznej realizującej kształcenie ogólne w zakresie szkoły podstawowej do innej publicznej szkoły tego typu, w trakcie roku szkolnego, podręczniki lub materiały edukacyjne, dostosowane do potrzeb edukacyjnych i możliwości psychofizycznych tego ucznia, zakupione z dotacji celowej, o której mowa w art. 55 ust. 3, z których uczeń korzysta, stają się własnością organu prowadzącego publiczną szkołę podstawową lub szkołę artystyczną realizującą kształcenie ogólne w zakresie szkoły podstawowej, do której uczeń przechodzi.
3.
W przypadku gdy publiczna szkoła podstawowa lub szkoła artystyczna realizująca kształcenie ogólne w zakresie szkoły podstawowej dysponuje wolnymi podręcznikami lub materiałami edukacyjnymi, w tym dostosowanymi do potrzeb edukacyjnych i możliwości psychofizycznych uczniów niepełnosprawnych, zakupionymi z dotacji celowej, o której mowa w art. 55 ust. 3, dyrektor publicznej szkoły podstawowej lub szkoły artystycznej realizującej kształcenie ogólne w zakresie szkoły podstawowej, za zgodą organu prowadzącego, przekazuje te podręczniki lub materiały edukacyjne dyrektorowi publicznej szkoły podstawowej lub szkoły artystycznej realizującej kształcenie ogólne w zakresie szkoły podstawowej, który wystąpi z wnioskiem o ich przekazanie. Podręczniki lub materiały edukacyjne stają się własnością organu prowadzącego szkołę, której zostały przekazane.
4.
W przypadku gdy publiczna szkoła podstawowa lub szkoła artystyczna realizująca kształcenie ogólne w zakresie szkoły podstawowej dysponuje wolnymi podręcznikami lub materiałami edukacyjnymi, dostosowanymi do potrzeb edukacyjnych i możliwości psychofizycznych uczniów niepełnosprawnych, zakupionymi z dotacji celowej, o której mowa w art. 55 ust. 3, dyrektor tej szkoły, za zgodą organu prowadzącego, może wypożyczyć te podręczniki lub materiały edukacyjne dyrektorowi publicznej szkoły podstawowej lub szkoły artystycznej realizującej kształcenie ogólne w zakresie szkoły podstawowej, który wystąpi z wnioskiem o ich wypożyczenie.
5.
W przypadku uszkodzenia, zniszczenia lub niezwrócenia podręcznika lub materiału edukacyjnego wypożyczonego innej publicznej szkole podstawowej lub szkole artystycznej realizującej kształcenie ogólne w zakresie szkoły podstawowej, o których mowa w ust. 4, przysługuje zwrot kwoty nieprzekraczającej kosztu zakupu podręcznika lub materiału edukacyjnego.
Kwota zwrotu stanowi dochód organu prowadzącego publiczną szkołę podstawową lub szkołę artystyczną realizującą kształcenie ogólne w zakresie szkoły podstawowej, która wypożyczyła podręcznik lub materiał edukacyjny.
6.
Koszty przekazania lub wypożyczenia podręczników lub materiałów edukacyjnych, o których mowa w ust. 3 i 4, pokrywa publiczna szkoła podstawowa lub szkoła artystyczna realizująca kształcenie ogólne w zakresie szkoły podstawowej, która występuje z wnioskiem o przekazanie lub wypożyczenie. Koszty przekazania lub wypożyczenia tych podręczników lub materiałów edukacyjnych mogą być pokryte z dotacji celowej.
7.
W przypadku publicznych szkół podstawowych oraz szkół artystycznych realizujących kształcenie ogólne w zakresie szkoły podstawowej, prowadzonych przez jednostki samorządu terytorialnego, organ stanowiący jednostki samorządu terytorialnego może zdecydować, że dochód, o którym mowa w ust. 1 i 5, może być gromadzony na wydzielonym rachunku, o którym mowa w art. 223 ustawy z dnia 27 sierpnia 2009 r. o finansach publicznych.
8.
W przypadku podręczników, materiałów edukacyjnych i materiałów ćwiczeniowych oraz książek pomocniczych, dostosowanych do potrzeb edukacyjnych i możliwości psychofizycznych uczniów niepełnosprawnych, o których mowa w art. 67 pkt 2, stosuje się przepisy ust. 3, 4 i 6.
Art. 65.
1.
W przypadku likwidacji publicznej szkoły podstawowej prowadzonej przez osobę prawną niebędącą jednostką samorządu terytorialnego oraz osobę fizyczną, podręczniki, materiały edukacyjne lub urządzenia, sprzęt lub oprogramowanie, o których mowa w art. 56 ust. 7, zakupione z dotacji celowej podlegają zwrotowi jednostce samorządu terytorialnego, która udzieliła dotacji celowej.
2.
W przypadku likwidacji publicznej szkoły artystycznej realizującej kształcenie ogólne w zakresie szkoły podstawowej prowadzonej przez osobę prawną niebędącą jednostką samorządu terytorialnego oraz osobę fizyczną, podręczniki, materiały edukacyjne lub urządzenia, sprzęt lub oprogramowanie, o których mowa w art. 56 ust. 7, zakupione z dotacji celowej podlegają zwrotowi ministrowi właściwemu do spraw kultury i ochrony dziedzictwa narodowego.
3.
W przypadku likwidacji publicznych szkół, o których mowa w ust. 1 i 2, wypożyczone podręczniki lub materiały edukacyjne, o których mowa w art. 64 ust. 4, podlegają zwrotowi odpowiednio jednostce samorządu terytorialnego, która udzieliła dotacji celowej, lub ministrowi właściwemu do spraw kultury i ochrony dziedzictwa narodowego.
4.
W przypadku gdy wartość podręczników, materiałów edukacyjnych lub urządzeń, sprzętu lub oprogramowania, o których mowa w art. 56 ust. 7, podlegających zwrotowi zgodnie z ust. 1 i 2, przewyższa wartość udzielonej dotacji celowej, organ prowadzący publiczne szkoły, o których mowa w ust. 1 i 2, może zwrócić równowartość otrzymanej dotacji odpowiednio jednostce samorządu terytorialnego, która udzieliła dotacji celowej, lub ministrowi właściwemu do spraw kultury i ochrony dziedzictwa narodowego.
5.
W przypadku likwidacji publicznych szkół, o których mowa w ust. 1 i 2, jeżeli podręczniki, materiały edukacyjne lub urządzenia, sprzęt lub oprogramowanie, o których mowa w art. 56 ust. 7, uległy zniszczeniu lub nie zostały zwrócone, organ prowadzący te szkoły zwraca równowartość otrzymanej dotacji odpowiednio jednostce samorządu terytorialnego, która udzieliła dotacji celowej, lub ministrowi właściwemu do spraw kultury i ochrony dziedzictwa narodowego.
Art. 66.
W przypadku szkół prowadzonych przez jednostki samorządu terytorialnego zadania i kompetencje organu prowadzącego określone w art. 63 wykonuje odpowiednio wójt (burmistrz, prezydent miasta), zarząd powiatu, zarząd województwa.
Art. 67.
Podręczniki, materiały edukacyjne i materiały ćwiczeniowe oraz książki pomocnicze, dostosowane do potrzeb edukacyjnych i możliwości psychofizycznych uczniów niepełnosprawnych, są dofinansowywane z budżetu państwa przez:
1)
udzielanie dotacji celowej, o której mowa w art. 55 ust. 3 i art. 69 ust. 2;
2)
możliwość zlecenia opracowania i wydania, w tym dystrybucji podręczników, materiałów edukacyjnych, materiałów ćwiczeniowych lub książek pomocniczych, lub ich części, przez ministra właściwego do spraw oświaty i wychowania, o którym mowa w art. 22c ustawy o systemie oświaty.
Art. 68.
Podręczniki i książki pomocnicze do kształcenia uczniów w zakresie niezbędnym do podtrzymania poczucia tożsamości narodowej, etnicznej i językowej mogą być dofinansowywane z budżetu państwa z części, której dysponentem jest minister właściwy do spraw oświaty i wychowania.
Art. 69.
1.
Na sfinansowanie kosztu zakupu podręczników, materiałów edukacyjnych lub materiałów ćwiczeniowych w zakresie, o którym mowa w art. 55 ust. 1, przeznaczonych do obowiązkowych zajęć edukacyjnych z zakresu kształcenia ogólnego, określonych w ramowych planach nauczania ustalonych dla publicznych szkół podstawowych, niepubliczne szkoły podstawowe otrzymują, na wniosek, dotację celową z budżetu jednostki samorządu terytorialnego będącej dla tych szkół organem rejestrującym.
2.
Zapewnienie sfinansowania kosztu zakupu podręczników, materiałów edukacyjnych lub materiałów ćwiczeniowych, o których mowa w ust. 1, jest zadaniem zleconym z zakresu administracji rządowej, wykonywanym przez jednostki samorządu terytorialnego będące organem rejestrującym dla niepublicznych szkół podstawowych. Na realizację tego zadania jednostka samorządu terytorialnego otrzymuje dotację celową z budżetu państwa, udzielaną przez wojewodę.
3.
Na sfinansowanie kosztu zakupu podręczników, materiałów edukacyjnych lub materiałów ćwiczeniowych w zakresie, o którym mowa w art. 55 ust. 1, przeznaczonych do obowiązkowych zajęć edukacyjnych z zakresu kształcenia ogólnego, określonych w ramowych planach nauczania ustalonych dla publicznych szkół podstawowych, niepubliczne szkoły artystyczne realizujące kształcenie ogólne w zakresie szkoły podstawowej otrzymują, na wniosek, dotację celową z budżetu państwa. Przepisy art. 55 ust. 5–8, art. 56, art. 57, art. 62 ust. 2–12 i art. 65 ust. 2, 4 i 5 oraz przepisy wydane na podstawie art. 55 ust. 10 stosuje się odpowiednio.
4.
Niepubliczne szkoły podstawowe i szkoły artystyczne realizujące kształcenie ogólne w zakresie szkoły podstawowej, które otrzymały dotację celową, o której mowa w ust. 1 i 3, zapewniają uczniom bezpłatny dostęp do podręczników, materiałów edukacyjnych lub materiałów ćwiczeniowych, zakupionych z tej dotacji.
5.
Do niepublicznych szkół podstawowych stosuje się odpowiednio przepisy art. 55 ust. 5–9, art. 56, art. 57, art. 58 ust. 1 i ust. 3–10, art. 59, art. 65 ust. 1, 4 i 5 oraz przepisy wydane na podstawie art. 55 ust. 10, art. 60 i art. 61.
Rozdział 8
Finansowanie świadczeń pomocy materialnej
Art. 70.
1.
Na dofinansowanie świadczeń pomocy materialnej o charakterze socjalnym, o których mowa w art. 90c ust. 2 ustawy o systemie oświaty, gmina otrzymuje dotację celową z budżetu państwa.
2.
Dotacji, o której mowa w ust. 1, udzielają wojewodowie.
3.
Na finansowanie zasiłków szkolnych, o których mowa w art. 90c ust. 2 pkt 2 ustawy o systemie oświaty, w danej gminie przeznacza się nie więcej niż 5% kwoty dotacji, o której mowa w ust. 1.
4.
W przypadku gminy, w której wskaźnik dochodów podatkowych na jednego mieszkańca w gminie jest równy lub niższy od 40% wskaźnika dochodów podatkowych dla wszystkich gmin, kwota dotacji, o której mowa w ust. 1, nie może przekroczyć 95% kwoty świadczeń pomocy materialnej o charakterze socjalnym udzielonych w roku budżetowym przez gminę, pod warunkiem że kwota stypendiów szkolnych, o których mowa w art. 90c ust. 2 pkt 1 ustawy o systemie oświaty, lub zasiłków szkolnych, o których mowa w art. 90c ust. 2 pkt 2 ustawy o systemie oświaty, przekazana uczniom i uczestnikom zajęć rewalidacyjno-wychowawczych w roku budżetowym, będzie nie mniejsza niż 95% kwoty naliczonej tej gminie zgodnie z przepisami wydanymi na podstawie ust. 6.
5.
W przypadku gminy, w której wskaźnik dochodów podatkowych na jednego mieszkańca w gminie jest równy lub niższy od 75% i wyższy od 40% wskaźnika dochodów podatkowych dla wszystkich gmin, kwota dotacji, o której mowa w ust. 1, nie może przekroczyć 90% kwoty świadczeń pomocy materialnej o charakterze socjalnym udzielonych w roku budżetowym przez gminę, pod warunkiem że kwota stypendiów szkolnych, o których mowa w art. 90c ust. 2 pkt 1 ustawy o systemie oświaty, lub zasiłków szkolnych, o których mowa w art. 90c ust. 2 pkt 2 ustawy o systemie oświaty, przekazana uczniom i uczestnikom zajęć rewalidacyjno-wychowawczych w roku budżetowym, będzie nie mniejsza niż 95% kwoty naliczonej tej gminie zgodnie z przepisami wydanymi na podstawie ust. 6.
6.
Minister właściwy do spraw oświaty i wychowania, po zasięgnięciu opinii przedstawicieli samorządu terytorialnego w Komisji Wspólnej Rządu i Samorządu Terytorialnego, określi, w drodze rozporządzenia, terminy przekazywania gminom dotacji, o której mowa w ust. 1, oraz sposób ustalania wysokości tej dotacji, uwzględniając:
1)
wskaźnik dochodów podatkowych na jednego mieszkańca w gminie;
2)
liczbę osób w wieku od 6 do 18 lat, zameldowanych na terenie gminy na pobyt stały;
3)
stosunek liczby uczniów, uczestników zajęć rewalidacyjno-wychowawczych i słuchaczy kolegiów służb społecznych, którym przyznano stypendium szkolne, o którym mowa w art. 90c ust. 2 pkt 1 ustawy o systemie oświaty, w roku bazowym, do liczby osób zameldowanych na terenie gminy na pobyt stały.
Art. 71.
1.
Stypendia za wyniki w nauce lub za osiągnięcia sportowe, o których mowa w art. 90c ust. 3 pkt 1 ustawy o systemie oświaty, są finansowane z dochodów jednostek samorządu terytorialnego, z zastrzeżeniem ust. 4–6.
2.
Publiczne szkoły prowadzone przez osoby prawne niebędące jednostkami samorządu terytorialnego oraz osoby fizyczne otrzymują środki na stypendia za wyniki w nauce lub za osiągnięcia sportowe, o których mowa w art. 90c ust. 3 pkt 1 ustawy o systemie oświaty, w ramach dotacji, o której mowa w art. 25 ust. 1–4.
3.
Niepubliczne szkoły otrzymują środki na stypendia za wyniki w nauce lub za osiągnięcia sportowe, o których mowa w art. 90c ust. 3 pkt 1 ustawy o systemie oświaty, w ramach dotacji, o której mowa w art. 26 ust. 1 i 2.
4.
W publicznych szkołach prowadzonych przez ministrów stypendia za wyniki w nauce lub za osiągnięcia sportowe, o których mowa w art. 90c ust. 3 pkt 1 ustawy o systemie oświaty, są finansowane z budżetu państwa z części, których dysponentami są ci ministrowie.
5.
Publiczne szkoły artystyczne prowadzone przez osoby prawne niebędące jednostkami samorządu terytorialnego oraz osoby fizyczne otrzymują środki na stypendia za wyniki w nauce lub za osiągnięcia sportowe, o których mowa w art. 90c ust. 3 pkt 1 ustawy o systemie oświaty, w ramach dotacji, o której mowa w art. 40 ust. 1.
6.
Niepubliczne szkoły artystyczne o uprawnieniach szkół publicznych otrzymują środki na stypendia za wyniki w nauce lub za osiągnięcia sportowe, o których mowa w art. 90c ust. 3 pkt 1 ustawy o systemie oświaty, w ramach dotacji, o której mowa w art. 41 ust. 1 i 2.
7.
Stypendium Prezesa Rady Ministrów, o którym mowa w art. 90c ust. 3 pkt 2 ustawy o systemie oświaty, jest finansowane z budżetu państwa, a stypendium ministra właściwego do spraw oświaty i wychowania oraz stypendium ministra właściwego do spraw kultury i ochrony dziedzictwa narodowego, o których mowa w art. 90c ust. 3 pkt 3 i 4 ustawy o systemie oświaty, są finansowane z budżetu państwa z części, których dysponentami są ci ministrowie.
Rozdział 9
Finansowanie programów regionalnych, lokalnych i rządowych
Art. 72.
Na realizację programów regionalnych lub lokalnych, o których mowa w art. 90t ust. 1 ustawy o systemie oświaty, jednostki samorządu terytorialnego przeznaczają środki własne, a także mogą przeznaczać środki publiczne, o których mowa w art. 5 ust. 1 pkt 2 i 3 ustawy z dnia 27 sierpnia 2009 r. o finansach publicznych.
Art. 73.
1.
Na współfinansowanie programów, o których mowa w art. 90u ust. 1 pkt 2 i 3 ustawy o systemie oświaty, jest przyznawana dotacja celowa, po zapewnieniu udziału środków własnych jednostki samorządu terytorialnego lub organizacji, o których mowa w art. 3 ust. 2 i 3 ustawy z dnia 24 kwietnia 2003 r. o działalności pożytku publicznego i o wolontariacie, albo pozyskaniu przez tę jednostkę lub organizację środków z innych źródeł, na realizację tworzonych regionalnych lub lokalnych programów.
2.
Na współfinansowanie programów, o których mowa w art. 90u ust. 1 ustawy o systemie oświaty, mogą być przeznaczane środki zagraniczne w rozumieniu ustawy z dnia 20 kwietnia 2004 r. o Narodowym Planie Rozwoju (Dz. U. z 2014 r. poz. 1448 i 1856, z 2015 r. poz. 1240, z 2016 r. poz. 1948 oraz z 2017 r. poz. 1566) oraz ustawy z dnia 6 grudnia 2006 r. o zasadach prowadzenia polityki rozwoju (Dz. U. z 2017 r. poz. 1376 i 1475).
Rozdział 10
Inne dotacje udzielane z budżetu państwa
Art. 74.
1.
Minister Obrony Narodowej może udzielić organowi prowadzącemu szkołę, w związku z realizacją zobowiązań Rzeczypospolitej Polskiej wynikających z ratyfikowanych umów międzynarodowych w dziedzinie obronności, których stroną jest Rzeczpospolita Polska, dotacji celowej na dofinansowanie zadań bieżących lub inwestycyjnych.
2.
Minister Obrony Narodowej może udzielić organowi prowadzącemu szkołę, która prowadzi działalność dydaktyczno-wychowawczą w dziedzinie obronności państwa, dotacji celowej na dofinansowanie zadań bieżących lub inwestycyjnych.
Art. 75.
Na realizację zadań, o których mowa w art. 90v ust. 1 ustawy o systemie oświaty, minister właściwy do spraw oświaty i wychowania może udzielić jednostkom samorządu terytorialnego dotacji celowej.
Art. 76.
Zmiany w przepisach
W ustawie z dnia 26 stycznia 1982 r. – Karta Nauczyciela (Dz. U. z 2017 r. poz. 1189) wprowadza się następujące zmiany:
1)
w art. 1 w ust. 2 w pkt 2 w lit. b średnik zastępuje się przecinkiem i dodaje się lit. c w brzmieniu:
„c) publicznych innych formach wychowania przedszkolnego prowadzonych przez osoby fizyczne oraz osoby prawne niebędące jednostkami samorządu terytorialnego oraz niepublicznych innych formach wychowania przedszkolnego;”;
2)
w art. 6 po pkt 3 dodaje się pkt 3a w brzmieniu:
„3a) doskonalić się zawodowo, zgodnie z potrzebami szkoły;”;
a)
ust. 1 otrzymuje brzmienie:
„1. Praca nauczyciela podlega ocenie. Oceny pracy nauczyciela dokonuje się:
1) po zakończeniu stażu na stopień nauczyciela kontraktowego, nauczyciela mianowanego i nauczyciela dyplomowanego;
2) po zakończeniu dodatkowego stażu, o którym mowa w art. 9g ust. 8;
3) co 3 lata pracy w szkole od dnia uzyskania stopnia nauczyciela kontraktowego, nauczyciela mianowanego i nauczyciela dyplomowanego.”,
b)
po ust. 1 dodaje się ust. 1a–1g w brzmieniu:
„1a. W przypadku gdy termin, o którym mowa w ust. 1 pkt 3, upływa w okresie odbywania przez nauczyciela kontraktowego lub nauczyciela mianowanego stażu na kolejny stopień awansu zawodowego, oceny pracy dokonuje się po zakończeniu tego stażu.
1b. W razie usprawiedliwionej nieobecności nauczyciela w pracy, trwającej dłużej niż 3 miesiące, termin, o którym mowa w ust. 1 pkt 3, ulega przedłużeniu o czas tej nieobecności.
1c. W przypadku zmiany miejsca zatrudnienia nauczyciela ocena pracy jest dokonywana nie wcześniej niż po upływie roku od dnia podjęcia pracy w danej szkole, a termin, o którym mowa w ust. 1 pkt 3, ulega odpowiednio przedłużeniu.
1d. Ocena pracy nauczyciela kontraktowego, nauczyciela mianowanego i nauczyciela dyplomowanego może być także dokonana w każdym czasie, nie wcześniej jednak niż po upływie roku od dokonania oceny poprzedniej, z inicjatywy dyrektora szkoły lub na wniosek:
1) nauczyciela;
2) organu sprawującego nadzór pedagogiczny, a w przypadku nauczycieli placówek doskonalenia nauczycieli
– kuratora oświaty;
3) organu prowadzącego szkołę;
4) rady szkoły;
5) rady rodziców.
1e. Kryteria oceny pracy nauczyciela dotyczą stopnia realizacji obowiązków określonych w art. 6 i art. 42 ust. 2 oraz w art. 5 ustawy – Prawo oświatowe i obejmują wszystkie obszary działalności szkoły odpowiednio do posiadanego stopnia awansu zawodowego.
1f. Kryteria oceny pracy dyrektora szkoły dotyczą stopnia realizacji obowiązków określonych w art. 6 i art. 7 oraz w art. 68 ust. 1, 5 i 6 ustawy – Prawo oświatowe, a w przypadku realizowania przez dyrektora szkoły zajęć dydaktycznych, wychowawczych i opiekuńczych – także obowiązków określonych w art. 42 ust. 2 oraz w art. 5 ustawy – Prawo oświatowe.
1g. Na ocenę pracy nauczyciela i dyrektora szkoły nie mogą mieć wpływu jego przekonania religijne i poglądy polityczne, a także odmowa wykonania przez niego polecenia służbowego, gdy odmowa taka wynikała z uzasadnionego przekonania, że wydane polecenie było sprzeczne z dobrem ucznia albo dobrem publicznym.”,
c)
ust. 2 otrzymuje brzmienie:
„2. Dyrektor szkoły jest obowiązany dokonać oceny pracy nauczyciela w okresie nie dłuższym niż 3 miesiące od dnia złożenia wniosku, a w przypadku oceny pracy dokonywanej z własnej inicjatywy oraz w przypadku, o którym mowa w ust. 1 pkt 3 – w okresie nie dłuższym niż 3 miesiące od dnia powiadomienia nauczyciela na piśmie o rozpoczęciu dokonywania oceny jego pracy.”,
d)
po ust. 2 dodaje się ust. 2a i 2b w brzmieniu:
„2a. W przypadkach, o których mowa w ust. 1 pkt 1 i 2, dyrektor szkoły jest obowiązany dokonać oceny pracy nauczyciela w terminie nie dłuższym niż 21 dni od dnia złożenia sprawozdania, o którym mowa w art. 9c ust. 3.
2b. Do okresów, o których mowa w ust. 2 i 2a, nie wlicza się okresów usprawiedliwionej nieobecności nauczyciela w pracy, trwającej dłużej niż 14 dni, oraz okresów ferii szkolnych wynikających z przepisów w sprawie organizacji roku szkolnego, a w przypadku nauczycieli zatrudnionych w szkołach, w których nie są przewidziane ferie szkolne – okresów urlopu wypoczynkowego trwającego nieprzerwanie co najmniej 14 dni kalendarzowych.”,
e)
ust. 4 i 5 otrzymują brzmienie:
„4. Ocena pracy nauczyciela ma charakter opisowy i jest zakończona stwierdzeniem uogólniającym:
1) ocena wyróżniająca;
2) ocena bardzo dobra;
3) ocena dobra;
4) ocena negatywna.
5. Oceny pracy nauczyciela dokonuje dyrektor szkoły, który przy jej dokonywaniu:
1) zasięga opinii rady rodziców, z wyjątkiem szkół i placówek, w których nie tworzy się rad rodziców;
2) w przypadku nauczyciela stażysty i nauczyciela kontraktowego – zasięga opinii opiekuna stażu o dorobku zawodowym nauczyciela za okres stażu;
3) może zasięgnąć opinii samorządu uczniowskiego;
4) na wniosek nauczyciela zasięga, a z własnej inicjatywy może zasięgnąć opinii właściwego doradcy metodycznego na temat pracy nauczyciela, a w przypadku braku takiej możliwości – opinii innego nauczyciela dyplomowanego lub mianowanego, a w przypadku nauczyciela publicznego kolegium pracowników służb społecznych – opinii opiekuna naukowo-dydaktycznego.”,
f)
po ust. 5 dodaje się ust. 5a–5f w brzmieniu:
„5a. Rada rodziców przedstawia pisemną opinię w terminie 14 dni od dnia otrzymania zawiadomienia o dokonywanej ocenie pracy nauczyciela. Nieprzedstawienie opinii przez radę rodziców nie wstrzymuje dokonywania oceny pracy.
5b. W przypadku gdy dyrektorem szkoły jest osoba niebędąca nauczycielem, oceny pracy nauczyciela dokonuje dyrektor szkoły w porozumieniu z nauczycielem zajmującym inne stanowisko kierownicze i sprawującym w tej szkole nadzór pedagogiczny, a w przypadku innych form wychowania przedszkolnego, przedszkoli, szkół i placówek, o których mowa w art. 1 ust. 2 pkt 2 – nauczyciel upoważniony przez organ prowadzący.
5c. W przypadku gdy dyrektorem szkoły jest osoba niebędąca nauczycielem, oceny pracy nauczyciela zajmującego inne stanowisko kierownicze i sprawującego w tej szkole nadzór pedagogiczny dokonuje dyrektor szkoły w porozumieniu z organem sprawującym nadzór pedagogiczny, a w przypadku nauczycieli placówek doskonalenia nauczycieli – dyrektor szkoły w porozumieniu z kuratorem oświaty.
5d. W przypadku uzupełniania przez nauczyciela tygodniowego obowiązkowego wymiaru zajęć na podstawie art. 22 ust. 1 oceny pracy nauczyciela dokonuje dyrektor szkoły, w której nauczyciel jest zatrudniony, w porozumieniu z dyrektorem szkoły, w której nauczyciel uzupełnia obowiązkowy wymiar zajęć.
5e. W przypadku, o którym mowa w art. 22 ust. 3, oceny pracy nauczyciela po zakończeniu stażu na kolejny stopień awansu zawodowego dokonuje dyrektor szkoły wyznaczony przez organ sprawujący nadzór pedagogiczny w porozumieniu z dyrektorami szkół, w których nauczyciel odbywał staż.
5f. Oceny pracy nauczyciela, któremu powierzono zadania doradcy metodycznego, dokonuje dyrektor szkoły, w której nauczyciel jest zatrudniony, po uzyskaniu oceny pracy dokonanej przez dyrektora właściwej placówki doskonalenia nauczycieli, w zakresie dotyczącym wykonywania zadań doradcy metodycznego.”,
g)
ust. 6 i 7 otrzymują brzmienie:
„6. Oceny pracy dyrektora szkoły, nauczyciela, któremu czasowo powierzono pełnienie obowiązków dyrektora szkoły, oraz nauczyciela pełniącego w zastępstwie obowiązki dyrektora szkoły przez okres co najmniej 6 miesięcy dokonuje organ sprawujący nadzór pedagogiczny w porozumieniu z organem prowadzącym szkołę, a w przypadku gdy organ prowadzący szkołę jest jednocześnie organem sprawującym nadzór pedagogiczny – oceny dokonuje ten organ. W przypadku placówek doskonalenia nauczycieli oceny pracy dyrektora placówki doskonalenia nauczycieli, nauczyciela, któremu czasowo powierzono pełnienie obowiązków dyrektora placówki doskonalenia nauczycieli, oraz nauczyciela pełniącego w zastępstwie obowiązki dyrektora placówki doskonalenia nauczycieli przez okres co najmniej 6 miesięcy dokonuje kurator oświaty w porozumieniu z organem prowadzącym placówkę.
7. Organ, o którym mowa w ust. 6, dokonuje oceny pracy dyrektora szkoły, nauczyciela, któremu czasowo powierzono pełnienie obowiązków dyrektora szkoły, oraz nauczyciela pełniącego w zastępstwie obowiązki dyrektora szkoły przez okres co najmniej 6 miesięcy po zasięgnięciu opinii rady szkoły i zakładowych organizacji związkowych działających w tej szkole.”,
h)
po ust. 7 dodaje się ust. 7a w brzmieniu:
„7a. Do oceny pracy, o której mowa w ust. 6, przepisy ust. 2–2b stosuje się odpowiednio.”,
i)
po ust. 8 dodaje się ust. 8a i 8b w brzmieniu:
„8a. Nauczyciel, po ustaleniu oceny jego pracy, otrzymuje kartę oceny pracy zawierającą ocenę pracy, jej uzasadnienie oraz pouczenie o możliwości wniesienia odwołania albo wniosku o ponowne ustalenie oceny.
8b. Przy dokonywaniu oceny pracy do doręczeń stosuje się odpowiednio przepisy art. 39, art. 42, art. 43, art. 44, art. 46 i art. 47 ustawy z dnia 14 czerwca 1960 r. – Kodeks postępowania administracyjnego (Dz. U. z 2017 r. poz. 1257).”,
j)
ust. 9 i 10 otrzymują brzmienie:
„9. Od ustalonej oceny pracy, w terminie 14 dni od dnia jej doręczenia, przysługuje:
1) nauczycielowi – prawo wniesienia odwołania, za pośrednictwem dyrektora szkoły, do organu sprawującego nadzór pedagogiczny nad szkołą, a w przypadku nauczycieli placówek doskonalenia nauczycieli – prawo wniesienia odwołania, za pośrednictwem dyrektora placówki, do kuratora oświaty;
2) dyrektorowi szkoły, nauczycielowi, któremu czasowo powierzono pełnienie obowiązków dyrektora szkoły, oraz nauczycielowi pełniącemu w zastępstwie obowiązki dyrektora szkoły przez okres co najmniej 6 miesięcy, a także dyrektorowi placówki doskonalenia nauczycieli, nauczycielowi, któremu czasowo powierzono pełnienie obowiązków dyrektora placówki doskonalenia nauczycieli, oraz nauczycielowi pełniącemu w zastępstwie obowiązki dyrektora placówki doskonalenia nauczycieli przez okres co najmniej 6 miesięcy – prawo złożenia wniosku o ponowne ustalenie oceny jego pracy do organu, który tę ocenę ustalił.
10. Odwołanie albo wniosek o ponowne ustalenie oceny pracy rozpatruje zespół oceniający powołany przez organ, o którym mowa w ust. 9.”,
k)
po ust. 10 dodaje się ust. 10a–10c w brzmieniu:
„10a. Organ, o którym mowa w ust. 9, w terminie 30 dni od dnia otrzymania odwołania albo wniosku o ponowne ustalenie oceny pracy, po rozpatrzeniu odwołania albo wniosku o ponowne ustalenie oceny pracy przez zespół oceniający:
1) podtrzymuje ocenę pracy dokonaną przez dyrektora szkoły lub organ, o którym mowa w ust. 6, albo
2) uchyla ocenę pracy dokonaną przez dyrektora szkoły lub organ, o którym mowa w ust. 6, oraz ustala nową ocenę pracy nauczyciela, albo
3) uchyla ocenę pracy dokonaną przez dyrektora szkoły lub organ, o którym mowa w ust. 6, oraz przekazuje sprawę do ponownego ustalenia oceny pracy, jeżeli ocena pracy została dokonana z naruszeniem prawa.
10b. Ocena pracy ustalona przez organ, o którym mowa w ust. 9, w wyniku odwołania albo wniosku o ponowne ustalenie oceny pracy jest sporządzana w formie pisemnej i zawiera uzasadnienie.
10c. Ocena pracy ustalona przez organ, o którym mowa w ust. 9, jest ostateczna.”,
l)
ust. 12 otrzymuje brzmienie:
„12. Minister właściwy do spraw oświaty i wychowania, a w stosunku do nauczycieli szkół artystycznych, zakładów poprawczych, schronisk dla nieletnich odpowiednio – minister właściwy do spraw kultury i ochrony dziedzictwa narodowego oraz Minister Sprawiedliwości, w porozumieniu z ministrem właściwym do spraw oświaty i wychowania, określi, w drodze rozporządzenia, szczegółowe kryteria i tryb dokonywania oceny pracy nauczycieli, w tym nauczycieli zajmujących stanowiska kierownicze, szczegółowy zakres informacji zawartych w karcie oceny pracy, skład i sposób powoływania zespołu oceniającego oraz szczegółowy tryb postępowania odwoławczego, mając na uwadze konieczność zapewnienia odpowiedniego poziomu wykonywania pracy przez nauczycieli na poszczególnych stopniach awansu zawodowego, a w przypadku nauczycieli zajmujących stanowiska kierownicze także wykonywania obowiązków związanych z zajmowanym stanowiskiem, zróżnicowania szczegółowych kryteriów oceny pracy dla poszczególnych stopni awansu zawodowego oraz uwzględnienia w szczegółowych kryteriach oceny pracy dokonywanej po zakończeniu stażu stopnia realizacji planu rozwoju zawodowego nauczyciela.”,
n)
dodaje się ust. 14–18 w brzmieniu:
„14. Dyrektor szkoły, po zasięgnięciu opinii rady pedagogicznej oraz zakładowych organizacji związkowych będących jednostkami organizacyjnymi organizacji związkowych reprezentatywnych w rozumieniu ustawy z dnia 24 lipca 2015 r. o Radzie Dialogu Społecznego i innych instytucjach dialogu społecznego (Dz. U. poz. 1240) albo jednostkami organizacyjnymi organizacji związkowych wchodzących w skład organizacji związkowych reprezentatywnych w rozumieniu ustawy z dnia 24 lipca 2015 r. o Radzie Dialogu Społecznego i innych instytucjach dialogu społecznego, zrzeszających nauczycieli, które przedstawiły dyrektorowi szkoły informację, o której mowa w art. 251 ust. 2 ustawy z dnia 23 maja 1991 r. o związkach zawodowych, ustala regulamin określający wskaźniki oceny pracy nauczycieli, odnoszące się do poziomu spełniania poszczególnych kryteriów oceny pracy nauczycieli na poszczególnych stopniach awansu zawodowego oraz uwzględniające specyfikę pracy w danej szkole.
15. W przypadku gdy dyrektorem szkoły jest osoba niebędąca nauczycielem, regulamin, o którym mowa w ust. 14, ustala dyrektor szkoły w porozumieniu z nauczycielem zajmującym inne stanowisko kierownicze i sprawującym w tej szkole nadzór pedagogiczny, a w przypadku innych form wychowania przedszkolnego, przedszkoli, szkół i placówek, o których mowa w art. 1 ust. 2 pkt 2 – nauczyciel upoważniony przez organ prowadzący, po zasięgnięciu opinii, o których mowa w ust. 14.
16. Organ sprawujący nadzór pedagogiczny w porozumieniu z organami prowadzącymi szkoły, a w przypadku gdy organ prowadzący szkołę jest jednocześnie organem sprawującym nadzór pedagogiczny – ten organ, po zasięgnięciu opinii organizacji związkowych zrzeszających nauczycieli, reprezentatywnych w rozumieniu ustawy z dnia 24 lipca 2015 r. o Radzie Dialogu Społecznego i innych instytucjach dialogu społecznego, oraz organizacji związkowych, reprezentatywnych w rozumieniu ustawy z dnia 24 lipca 2015 r. o Radzie Dialogu Społecznego i innych instytucjach dialogu społecznego, w skład których wchodzą organizacje związkowe zrzeszające nauczycieli, ustala regulamin określający wskaźniki oceny pracy dyrektorów szkół, nauczycieli, którym czasowo powierzono pełnienie obowiązków dyrektora szkoły oraz nauczycieli pełniących w zastępstwie obowiązki dyrektora szkoły przez okres co najmniej 6 miesięcy, odnoszące się do poziomu spełniania poszczególnych kryteriów oceny pracy, o których mowa w przepisach wydanych na podstawie ust. 12, oraz uwzględniające specyfikę pracy w szkołach, w których dany organ sprawuje nadzór.
17. W przypadku placówek doskonalenia nauczycieli regulamin określający wskaźniki oceny pracy dyrektorów placówek doskonalenia nauczycieli, nauczycieli, którym czasowo powierzono pełnienie obowiązków dyrektora placówki doskonalenia nauczycieli, oraz nauczycieli pełniących w zastępstwie obowiązki dyrektora placówki doskonalenia nauczycieli przez okres co najmniej 6 miesięcy, odnoszące się do spełniania poszczególnych kryteriów oceny pracy, o których mowa w przepisach wydanych na podstawie ust. 12, oraz uwzględniające specyfikę pracy w tych placówkach, ustala kurator oświaty w porozumieniu z organami prowadzącymi placówki doskonalenia nauczycieli, po zasięgnięciu opinii organizacji związkowych zrzeszających nauczycieli, reprezentatywnych w rozumieniu ustawy z dnia 24 lipca 2015 r. o Radzie Dialogu Społecznego i innych instytucjach dialogu społecznego, oraz organizacji związkowych, reprezentatywnych w rozumieniu ustawy z dnia 24 lipca 2015 r. o Radzie Dialogu Społecznego i innych instytucjach dialogu społecznego, w skład których wchodzą organizacje związkowe zrzeszające nauczycieli.
18. Jeżeli organ sprawujący nadzór pedagogiczny, a w przypadku placówek doskonalenia nauczycieli – kurator oświaty, nie uzyska porozumienia z organem prowadzącym szkołę albo placówkę doskonalenia nauczycieli w sprawie regulaminu, o którym mowa w ust. 16 i 17, regulamin ten ustala odpowiednio organ sprawujący nadzór pedagogiczny albo kurator oświaty.”;
4)
w art. 9a dodaje się ust. 5 w brzmieniu:
„5. Nauczyciele akademiccy, posiadający stopień naukowy oraz legitymujący się co najmniej 5-letnim okresem pracy w szkole wyższej, z dniem nawiązania stosunku pracy w szkole uzyskują stopień nauczyciela mianowanego.”;
a)
ust. 1 otrzymuje brzmienie:
„1. Warunkiem nadania nauczycielowi kolejnego stopnia awansu zawodowego jest spełnienie wymagań kwalifikacyjnych, o których mowa w art. 9 ust. 1 pkt 1 oraz ust. 2 i 3, odbycie stażu, z zastrzeżeniem art. 9e ust. 1–3, zakończonego co najmniej dobrą oceną pracy, oraz:
1) w przypadku nauczyciela stażysty – zdanie egzaminu przed komisją egzaminacyjną;
2) w przypadku nauczyciela kontraktowego – zdanie egzaminu przed komisją egzaminacyjną;
3) w przypadku nauczyciela mianowanego – uzyskanie akceptacji komisji kwalifikacyjnej po dokonaniu analizy dorobku zawodowego nauczyciela i przeprowadzonej rozmowie.”,
b)
ust. 4 i 5 otrzymują brzmienie:
„4. Nauczycielom spełniającym warunki, o których mowa w ust. 1, oraz nauczycielom zatrudnionym w trybie art. 9a ust. 3, 4 lub 5, w drodze decyzji administracyjnej, stopień awansu zawodowego nadaje:
1) stopień nauczyciela kontraktowego – dyrektor szkoły;
2) stopień nauczyciela mianowanego – organ prowadzący szkołę;
3) stopień nauczyciela dyplomowanego – organ sprawujący nadzór pedagogiczny, a w przypadku nauczycieli placówek doskonalenia nauczycieli, z wyjątkiem placówek doskonalenia nauczycieli, o których mowa w art. 8 ust. 5 pkt 1 lit. b, ust. 6, ust. 7 pkt 2 i ust. 14 ustawy – Prawo oświatowe – kurator oświaty;
4) odpowiedni stopień nauczycielom, o których mowa w art. 1 ust. 2 pkt 1 i 1b oraz art. 9e ust. 3 – właściwy minister.
5. Akt nadania stopnia awansu zawodowego zawiera w szczególności: nazwę komisji kwalifikacyjnej lub egzaminacyjnej, numer i datę wydania zaświadczenia o uzyskaniu akceptacji lub zdaniu egzaminu, stopień awansu zawodowego, a także informację o poziomie wykształcenia nauczyciela. W przypadku uzyskania stopnia awansu zawodowego z mocy prawa albo w sposób określony w art. 9a ust. 3, 4 lub 5 akt nadania stopnia awansu zawodowego nie zawiera odpowiednio nazwy komisji kwalifikacyjnej lub egzaminacyjnej, numeru i daty wydania zaświadczenia o akceptacji lub zdaniu egzaminu.”,
c)
ust. 7 otrzymuje brzmienie:
„7. Organami wyższego stopnia w rozumieniu Kodeksu postępowania administracyjnego w sprawach, o których mowa w ust. 4 pkt 1–3 oraz ust. 6, są odpowiednio:
1) w stosunku do dyrektora szkoły – organ prowadzący szkołę, a w przypadku gdy dyrektor szkoły jest jednocześnie osobą prowadzącą szkołę – organ sprawujący nadzór pedagogiczny;
2) w stosunku do organu prowadzącego szkołę – organ sprawujący nadzór pedagogiczny, a w przypadku nauczycieli placówek doskonalenia nauczycieli, z wyjątkiem placówek doskonalenia nauczycieli, o których mowa w art. 8 ust. 5 pkt 1 lit. b, ust. 6, ust. 7 pkt 2 i ust. 14 ustawy – Prawo oświatowe – kurator oświaty;
3) w stosunku do organu sprawującego nadzór pedagogiczny – właściwy minister;
4) w stosunku do kuratora oświaty – minister właściwy do spraw oświaty i wychowania.”;
a)
w ust. 1 pkt 1 otrzymuje brzmienie:
„1) nauczyciela kontraktowego – rok i 9 miesięcy;”,
b)
ust. 5 otrzymuje brzmienie:
„5. Zadaniem opiekuna stażu, o którym mowa w ust. 4, jest udzielanie nauczycielowi pomocy, w szczególności w przygotowaniu i realizacji w okresie stażu planu rozwoju zawodowego nauczyciela, oraz opracowanie opinii o dorobku zawodowym nauczyciela za okres stażu.”,
a)
ust. 3 i 4 otrzymują brzmienie:
„3. Przepisy ust. 1 i 2 stosuje się również do dodatkowego stażu, o którym mowa w art. 9g ust. 8.
4. Nauczyciel kontraktowy może rozpocząć staż na stopień nauczyciela mianowanego po przepracowaniu w szkole co najmniej 3 lat, a nauczyciel mianowany może rozpocząć staż na stopień nauczyciela dyplomowanego po przepracowaniu w szkole co najmniej 4 lat od dnia nadania poprzedniego stopnia awansu zawodowego.”,
b)
po ust. 4 dodaje się ust. 4a w brzmieniu:
„4a. Nauczyciel kontraktowy i nauczyciel mianowany, legitymujący się wyróżniającą oceną pracy, może rozpocząć staż na kolejny stopień awansu zawodowego po przepracowaniu w szkole co najmniej 2 lat od dnia nadania poprzedniego stopnia awansu zawodowego.”,
c)
ust. 7 otrzymuje brzmienie:
„7. Nauczyciel stażysta i nauczyciel kontraktowy składają wniosek o podjęcie postępowania egzaminacyjnego w roku otrzymania co najmniej dobrej oceny pracy dokonanej w przypadkach, o których mowa w art. 6a ust. 1 pkt 1 lub 2. Nauczyciel mianowany może złożyć wniosek o podjęcie postępowania kwalifikacyjnego w okresie 3 lat od dnia otrzymania co najmniej dobrej oceny pracy dokonanej w przypadkach, o których mowa w art. 6a ust. 1 pkt 1 lub 2. W razie niedotrzymania terminów złożenia wniosków nauczyciele ci są obowiązani do ponownego odbycia stażu w pełnym wymiarze.”;
8)
w art. 9e ust. 1–3 otrzymują brzmienie:
„1. Dyrektor szkoły posiadający na tym stanowisku nieprzerwany okres pracy wynoszący co najmniej 3 lata, a w przypadku nauczyciela posiadającego co najmniej stopień naukowy doktora co najmniej 2 lata, oraz legitymujący się wyróżniającą oceną pracy może złożyć wniosek o podjęcie postępowania kwalifikacyjnego o awans na stopień nauczyciela dyplomowanego po upływie 5 lat od dnia nadania stopnia nauczyciela mianowanego, a w przypadku nauczyciela posiadającego co najmniej stopień naukowy doktora po upływie 4 lat.
2. Nauczyciel mianowany, o którym mowa w art. 1 ust. 2 pkt 1 i 1b, zatrudniony na stanowisku, na którym wymagane są kwalifikacje pedagogiczne, posiadający nieprzerwany okres pracy na tym stanowisku wynoszący co najmniej 3 lata, a w przypadku nauczyciela posiadającego co najmniej stopień naukowy doktora co najmniej 2 lata, może złożyć wniosek o podjęcie postępowania kwalifikacyjnego o awans na stopień nauczyciela dyplomowanego po upływie 5 lat od dnia nadania stopnia nauczyciela mianowanego, a w przypadku nauczyciela posiadającego co najmniej stopień naukowy doktora po upływie 4 lat.
3. Nauczyciel urlopowany lub zwolniony z obowiązku świadczenia pracy na podstawie ustawy z dnia 23 maja 1991 r. o związkach zawodowych, którego okres urlopowania lub zwolnienia z obowiązku świadczenia pracy trwa nieprzerwanie co najmniej 3 lata, może złożyć wniosek o podjęcie postępowania egzaminacyjnego o awans na stopień nauczyciela mianowanego lub wniosek o podjęcie postępowania kwalifikacyjnego o awans na stopień nauczyciela dyplomowanego odpowiednio po upływie 5 lat od dnia nadania stopnia nauczyciela kontraktowego i po upływie 5 lat od dnia nadania stopnia nauczyciela mianowanego.”;
a)
ust. 2 i 3 otrzymują brzmienie:
„2. Nauczycielowi kontraktowemu i nauczycielowi mianowanemu, którzy w okresie trwania stażu zmienili miejsce zatrudnienia, do stażu, o którym mowa w art. 9c ust. 1 pkt 2, zalicza się okres dotychczas odbytego stażu, jeżeli podjęli zatrudnienie w szkole nie później niż w okresie 3 miesięcy po ustaniu poprzedniego stosunku pracy i za okres dotychczas odbytego stażu otrzymali co najmniej dobrą ocenę pracy.
3. Ocenę pracy, o której mowa w ust. 2, uwzględnia się przy dokonywaniu oceny pracy nauczyciela po zakończeniu całego stażu.”,
b)
dodaje się ust. 4 w brzmieniu:
„4. W przypadku przywrócenia nauczyciela do pracy, do stażu, o którym mowa w art. 9c ust. 1, zalicza się okres stażu odbytego przed rozwiązaniem lub wygaśnięciem stosunku pracy.”;
a)
ust. 1 otrzymuje brzmienie:
„1. Komisję egzaminacyjną dla nauczycieli ubiegających się o awans na stopień nauczyciela kontraktowego powołuje dyrektor szkoły. W skład komisji wchodzą:
1) dyrektor lub wicedyrektor szkoły, jako przewodniczący komisji;
2) przedstawiciel organu sprawującego nadzór pedagogiczny;
3) przedstawiciel organu prowadzącego szkołę;
4) ekspert z listy ekspertów prowadzonej przez ministra właściwego do spraw oświaty i wychowania;
5) opiekun stażu.”,
b)
ust. 3 otrzymuje brzmienie:
„3. Komisję kwalifikacyjną dla nauczycieli ubiegających się o awans na stopień nauczyciela dyplomowanego powołuje organ sprawujący nadzór pedagogiczny, a w przypadku nauczycieli placówek doskonalenia nauczycieli, z wyjątkiem placówek doskonalenia nauczycieli, o których mowa w art. 8 ust. 5 pkt 1 lit. b, ust. 6, ust. 7 pkt 2 i ust. 14 ustawy – Prawo oświatowe – kurator oświaty. W skład komisji wchodzą:
1) przedstawiciel organu sprawującego nadzór pedagogiczny, a w przypadku nauczycieli placówek doskonalenia nauczycieli, z wyjątkiem placówek doskonalenia nauczycieli, o których mowa w art. 8 ust. 5 pkt 1 lit. b, ust. 6, ust. 7 pkt 2 i ust. 14 ustawy – Prawo oświatowe – przedstawiciel kuratora oświaty, jako jej przewodniczący, a w przypadku nauczyciela, o którym mowa w art. 9e ust. 1 – także przedstawiciel organu prowadzącego szkołę;
2) dyrektor szkoły, z wyjątkiem przypadku gdy o awans ubiega się dyrektor szkoły;
3) trzej eksperci z listy ekspertów prowadzonej przez ministra właściwego do spraw oświaty i wychowania.”,
c)
w ust. 6 w pkt 6 kropkę zastępuje się średnikiem oraz dodaje się pkt 7 w brzmieniu:
„7) urzędzie ministra właściwego do spraw środowiska – minister właściwy do spraw środowiska.”,
d)
ust. 8 otrzymuje brzmienie:
„8. Nauczyciel, który nie uzyskał akceptacji lub nie zdał egzaminu odpowiednio przed komisjami, o których mowa w ust. 1–3, może ponownie złożyć wniosek o podjęcie odpowiednio postępowania egzaminacyjnego lub kwalifikacyjnego po odbyciu, na wniosek nauczyciela i za zgodą dyrektora szkoły, dodatkowego stażu w wymiarze 9 miesięcy, z tym że:
1) nauczyciel stażysta i nauczyciel kontraktowy mogą przystąpić ponownie do egzaminu przed komisją egzaminacyjną tylko jeden raz w danej szkole;
2) nauczyciel mianowany, w przypadku powtórnego nieuzyskania akceptacji, przed kolejnym ubieganiem się o uzyskanie akceptacji komisji kwalifikacyjnej jest obowiązany do odbycia stażu w wymiarze określonym w art. 9c ust. 1 pkt 2.”,
e)
po ust. 8a dodaje się ust. 8b w brzmieniu:
„8b. W przypadku nauczycieli, o których mowa w art. 1 ust. 2 pkt 1a, egzamin, o którym mowa w art. 9b ust. 1 pkt 1, może być przeprowadzany w formie wideokonferencji przy wykorzystaniu narzędzi teleinformatycznych umożliwiających przesyłanie dźwięku i obrazu w czasie rzeczywistym.”;
11)
art. 9h otrzymuje brzmienie:
„Art. 9h. 1. Nadzór nad czynnościami podejmowanymi w postępowaniu o nadanie nauczycielom stopnia awansu zawodowego przez:
1) dyrektorów szkół, organy prowadzące szkoły oraz komisje, o których mowa w art. 9g ust. 1 i 2 – sprawuje organ sprawujący nadzór pedagogiczny, a w przypadku placówek doskonalenia nauczycieli, z wyjątkiem placówek doskonalenia nauczycieli, o których mowa w art. 8 ust. 5 pkt 1 lit. b, ust. 6, ust. 7 pkt 2 i ust. 14 ustawy – Prawo oświatowe – kurator oświaty;
2) organy sprawujące nadzór pedagogiczny, kuratora oświaty oraz komisje, o których mowa w art. 9g ust. 3, 6a i 7a – sprawuje właściwy minister.
2. Czynności, o których mowa w ust. 1, podjęte z naruszeniem przepisów ustawy, przepisów o kwalifikacjach nauczycieli lub przepisów wydanych na podstawie art. 9g ust. 10, są nieważne. Nieważność czynności stwierdza, w drodze decyzji administracyjnej, odpowiednio organ sprawujący nadzór pedagogiczny, kurator oświaty lub właściwy minister.”;
12)
w art. 9i ust. 2 otrzymuje brzmienie:
„2. Wnioski do Kapituły o nadanie tytułu honorowego profesora oświaty składa organ sprawujący nadzór pedagogiczny, a w przypadku nauczycieli placówek doskonalenia nauczycieli, z wyjątkiem placówek doskonalenia nauczycieli, o których mowa w art. 8 ust. 5 pkt 1 lit. b, ust. 6, ust. 7 pkt 2 i ust. 14 ustawy – Prawo oświatowe – kurator oświaty.”;
a)
ust. 2 i 3 otrzymują brzmienie:
„2. Z osobą posiadającą wymagane kwalifikacje, rozpoczynającą pracę w szkole, stosunek pracy nawiązuje się na podstawie umowy o pracę na czas określony obejmujący 2 lata szkolne w celu odbycia stażu wymaganego do uzyskania awansu na stopień nauczyciela kontraktowego, z zastrzeżeniem ust. 7. W przypadkach, o których mowa w art. 9g ust. 8, w razie ustalenia dodatkowego stażu, z nauczycielem stażystą nawiązuje się stosunek pracy na czas określony na kolejny rok szkolny.
3. W szczególnych przypadkach uzasadnionych potrzebami szkoły z osobą, o której mowa w ust. 2, legitymującą się wymaganym poziomem wykształcenia, lecz nieposiadającą przygotowania pedagogicznego, dopuszczalne jest nawiązanie stosunku pracy, o ile osoba ta zobowiąże się do uzyskania przygotowania pedagogicznego w trakcie odbywania stażu.”,
b)
ust. 8a otrzymuje brzmienie:
„8a. W celu potwierdzenia spełniania warunku, o którym mowa w ust. 5 pkt 4, nauczyciel, przed nawiązaniem stosunku pracy, jest obowiązany przedstawić dyrektorowi szkoły informację z Krajowego Rejestru Karnego, z wyjątkiem przypadku gdy z nauczycielem jest nawiązywany kolejny stosunek pracy w tej samej szkole w ciągu 3 miesięcy od dnia rozwiązania albo wygaśnięcia na podstawie art. 20 ust. 5c poprzedniego stosunku pracy.”;
14)
po art. 10 dodaje się art. 10a w brzmieniu:
„Art. 10a. W przedszkolach, innych formach wychowania przedszkolnego, szkołach i placówkach, o których mowa w art. 1 ust. 2 pkt 2, nauczycieli zatrudnia się na podstawie umowy o pracę, zgodnie z ustawą z dnia 26 czerwca 1974 r. – Kodeks pracy (Dz. U. z 2016 r. poz. 1666, 2138 i 2255 oraz z 2017 r. poz. 60 i 962).”;
16)
w art. 20 ust. 6 otrzymuje brzmienie:
„6. Nauczyciel przeniesiony w stan nieczynny zachowuje prawo do comiesięcznego wynagrodzenia zasadniczego oraz prawo do innych świadczeń pracowniczych, w tym dodatku, o którym mowa w art. 54 ust. 5, do czasu wygaśnięcia stosunku pracy.”;
a)
po ust. 2a dodaje się ust. 2b w brzmieniu:
„2b. W razie powstania możliwości podjęcia przez nauczyciela, któremu ograniczono wymiar zatrudnienia, pracy w wymiarze wyższym niż wynikający z tego ograniczenia, w tej samej szkole, na tym samym lub za zgodą nauczyciela na innym stanowisku, pod warunkiem posiadania przez nauczyciela wymaganych kwalifikacji, dyrektor szkoły ma obowiązek w pierwszej kolejności zwiększyć wymiar zatrudnienia tego nauczyciela.”,
b)
ust. 4 otrzymuje brzmienie:
„4. W przypadku, o którym mowa w ust. 3, organ sprawujący nadzór pedagogiczny wyznacza dyrektora szkoły, który wykonuje czynności związane z odbywaniem stażu przez nauczyciela, w tym powołuje opiekuna stażu, dokonuje oceny pracy nauczyciela po zakończeniu stażu oraz wskazuje nauczycielowi właściwego dyrektora szkoły lub właściwy organ do złożenia wniosku o podjęcie odpowiednio postępowania kwalifikacyjnego lub egzaminacyjnego.”;
18)
w art. 23 w ust. 1 pkt 2 otrzymuje brzmienie:
„2) w razie czasowej niezdolności nauczyciela do pracy spowodowanej chorobą, jeżeli okres tej niezdolności przekracza 182 dni, a jeżeli niezdolność do pracy została spowodowana gruźlicą lub występuje w trakcie ciąży – 270 dni, przy czym do okresu niezdolności do pracy wlicza się również przypadające w tym okresie przerwy obejmujące dni, w których w szkole, zgodnie z odrębnymi przepisami, nie odbywają się zajęcia; w szczególnie uzasadnionych wypadkach okres nieobecności w pracy może być przedłużony o kolejne 12 miesięcy, o ile nauczyciel uzyska prawo do świadczenia rehabilitacyjnego, o którym mowa w przepisach dotyczących świadczeń pieniężnych z ubezpieczenia społecznego w razie choroby i macierzyństwa, lub zostanie mu udzielony urlop dla poratowania zdrowia;”;
b)
ust. 3 otrzymuje brzmienie:
„3. Do rozwiązania stosunku pracy z nauczycielem zatrudnionym na podstawie umowy o pracę na czas nieokreślony stosuje się również przepisy art. 23 ust. 1 pkt 2, 3, 5 i 6, ust. 2 pkt 3, 5 i 6 oraz ust. 3–5.”;
a)
w ust. 1:
– pkt 2 otrzymuje brzmienie:
„2) dodatków: za wysługę lat, motywacyjnego, za wyróżniającą pracę, funkcyjnego oraz za warunki pracy;”,
– pkt 4 otrzymuje brzmienie:
„4) nagród i innych świadczeń wynikających ze stosunku pracy, z wyłączeniem świadczeń z zakładowego funduszu świadczeń socjalnych i dodatku, o którym mowa w art. 54 ust. 5.”,
b)
ust. 7 otrzymuje brzmienie:
„7. Minister właściwy do spraw oświaty i wychowania w porozumieniu z ministrem właściwym do spraw kultury i ochrony dziedzictwa narodowego, Ministrem Obrony Narodowej, ministrem właściwym do spraw rolnictwa, ministrem właściwym do spraw środowiska, ministrem właściwym do spraw gospodarki morskiej, ministrem właściwym do spraw żeglugi śródlądowej i ministrem właściwym do spraw rybołówstwa określi, w drodze rozporządzenia, dla nauczycieli poszczególnych stopni awansu zawodowego zatrudnionych w szkołach prowadzonych przez ministrów wysokość stawek dodatków, o których mowa w ust. 1 pkt 2, z zastrzeżeniem art. 33, oraz szczegółowe warunki przyznawania tych dodatków, szczegółowe warunki obliczania i wypłacania wynagrodzenia za godziny ponadwymiarowe i godziny doraźnych zastępstw, wysokość i warunki wypłacania składników wynagrodzenia, o których mowa w ust. 1 pkt 4, o ile nie zostały one określone w przepisach ustawy lub w odrębnych przepisach, z zastrzeżeniem ust. 7a, uwzględniając wysokości średniego wynagrodzenia nauczycieli, o których mowa w ust. 3, oraz zróżnicowanie szkół prowadzonych przez poszczególnych ministrów.”,
c)
ust. 8 otrzymuje brzmienie:
„8. Środki niezbędne na średnie wynagrodzenia nauczycieli, o których mowa w ust. 3, wraz z pochodnymi od wynagrodzeń, środki na dodatek za wyróżniającą pracę, środki na odpis, o którym mowa w art. 53 ust. 1, oraz środki na dofinansowanie doskonalenia zawodowego nauczycieli z uwzględnieniem doradztwa metodycznego, o których mowa w art. 70a ust. 1, są zagwarantowane przez państwo w dochodach jednostek samorządu terytorialnego.”;
21)
po art. 33 dodaje się art. 33a w brzmieniu:
„Art. 33a. 1. Nauczycielowi dyplomowanemu legitymującemu się co najmniej trzyletnim okresem pracy w szkole od dnia nadania stopnia nauczyciela dyplomowanego oraz wyróżniającą oceną pracy przysługuje dodatek za wyróżniającą pracę w wysokości 16% kwoty bazowej, określanej dla nauczycieli corocznie w ustawie budżetowej.
2. Nauczyciel, o którym mowa w ust. 1, zatrudniony w niepełnym wymiarze zajęć, ma prawo do dodatku za wyróżniającą pracę w wysokości proporcjonalnej do wymiaru zatrudnienia.
3. Nauczyciel, o którym mowa w ust. 1, nabywa prawo do dodatku za wyróżniającą pracę:
1) z dniem 1 stycznia – w przypadku uzyskania ostatecznej wyróżniającej oceny pracy w okresie od dnia 1 lipca do dnia 31 grudnia roku poprzedzającego dany rok kalendarzowy;
2) z dniem 1 września – w przypadku uzyskania ostatecznej wyróżniającej oceny pracy w okresie od dnia
1 stycznia do dnia 30 czerwca danego roku kalendarzowego.
4. Prawo do dodatku za wyróżniającą pracę wygasa z ostatnim dniem miesiąca kalendarzowego, w którym uzyskana przez nauczyciela ocena pracy niższa niż ocena wyróżniająca stała się ostateczna.
5. Dodatku za wyróżniającą pracę nie uwzględnia się przy obliczaniu kwot wydatkowanych na średnie wynagrodzenia nauczycieli, o których mowa w art. 30 ust. 3.”;
a)
w ust. 3 w tabeli dodaje się lp. 12 w brzmieniu:
| 1 |
2 |
3 |
| 12 |
Nauczyciele posiadający kwalifikacje z zakresu pedagogiki specjalnej zatrudniani dodatkowo w celu współorganizowania kształcenia integracyjnego oraz współorganizowania kształcenia uczniów niepełnosprawnych, niedostosowanych społecznie oraz zagrożonych niedostosowaniem społecznym |
20 |
b)
po ust. 5b dodaje się ust. 5c w brzmieniu:
„5c. Nauczycielom realizującym w ramach stosunku pracy obowiązki określone dla stanowisk o różnym tygodniowym obowiązkowym wymiarze godzin zajęć tygodniowy obowiązkowy wymiar godzin zajęć ustala się jako iloraz łącznej liczby realizowanych godzin i sumy części etatów realizowanych w ramach poszczególnych tygodniowych wymiarów godzin zajęć, przy czym wynik zaokrągla się do pełnych godzin w ten sposób, że czas zajęć do pół godziny pomija się, a powyżej pół godziny liczy się za pełną godzinę. Godziny wyliczone ponad ten wymiar stanowią godziny ponadwymiarowe.”,
c)
po ust. 6 dodaje się ust. 6a w brzmieniu:
„6a. Dyrektorowi i wicedyrektorowi szkoły oraz innym nauczycielom, o których mowa w ust. 6, korzystającym z obniżonego tygodniowego obowiązkowego wymiaru godzin zajęć, nie przydziela się godzin ponadwymiarowych, chyba że jest to konieczne dla zapewnienia realizacji ramowego planu nauczania w jednym oddziale, a za zgodą organu prowadzącego szkołę także gdy jest to konieczne dla zapewnienia realizacji ramowego planu nauczania w więcej niż jednym oddziale.”,
d)
w ust. 7 pkt 3 otrzymuje brzmienie:
„3) tygodniowy obowiązkowy wymiar godzin zajęć:
a) nauczycieli szkół niewymienionych w ust. 3, nauczycieli szkół, o których mowa w art. 1 ust. 2 pkt 1a, nauczycieli prowadzących kształcenie w formie zaocznej, nauczycieli kolegiów pracowników służb społecznych, nauczycieli kształcenia na odległość, bibliotekarzy bibliotek pedagogicznych oraz zasady zaliczania do wymiaru godzin poszczególnych zajęć w formie zaocznej i w kształceniu na odległość,
b) pedagogów, psychologów, logopedów, terapeutów pedagogicznych, doradców zawodowych, z wyjątkiem nauczycieli zatrudnionych w poradniach psychologiczno-pedagogicznych, z tym że wymiar ten nie może przekraczać 22 godzin.”,
e)
po ust. 7a dodaje się ust. 7b w brzmieniu:
„7b. Minister właściwy do spraw oświaty i wychowania, a w stosunku do nauczycieli zatrudnionych w zakładach poprawczych i schroniskach dla nieletnich – Minister Sprawiedliwości, określi, w drodze rozporządzenia, wykaz zajęć prowadzonych bezpośrednio z uczniami lub wychowankami albo na ich rzecz, o których mowa w ust. 2 pkt 1, przez nauczycieli, o których mowa w ust. 3 w tabeli w lp. 11 i ust. 7 pkt 3 lit. b, uwzględniając zróżnicowaną specyfikę szkół i placówek.”;
a)
po ust. 1 dodaje się ust. 1a w brzmieniu:
„1a. Nauczycielowi niepełnosprawnemu zaliczonemu do znacznego lub umiarkowanego stopnia niepełnosprawności, dla którego maksymalny tygodniowy wymiar czasu pracy jest ustalany zgodnie z art. 15 ust. 2 ustawy z dnia 27 sierpnia 1997 r. o rehabilitacji zawodowej i społecznej oraz zatrudnianiu osób niepełnosprawnych (Dz. U. z 2016 r. poz. 2046 i 1948 oraz z 2017 r. poz. 777, 935 i 1428), obniża się tygodniowy obowiązkowy wymiar godzin zajęć proporcjonalnie do obniżenia maksymalnego tygodniowego wymiaru czasu pracy, z zaokrągleniem do pełnych godzin w ten sposób, że czas zajęć do pół godziny pomija się, a powyżej pół godziny liczy się za pełną godzinę.”,
b)
ust. 3 otrzymuje brzmienie:
„3. Nauczycielowi korzystającemu z obniżonego tygodniowego obowiązkowego wymiaru godzin zajęć nie przydziela się godzin ponadwymiarowych.”;
24)
w art. 53 ust. 3a otrzymuje brzmienie:
„3a. W przypadku likwidacji szkoły lub przekazania jej prowadzenia osobie prawnej niebędącej jednostką samorządu terytorialnego lub osobie fizycznej, na podstawie art. 9 ust. 1 ustawy – Prawo oświatowe, organ prowadzący szkołę jest obowiązany wskazać inną szkołę, w której będzie naliczany odpis na zakładowy fundusz świadczeń socjalnych na każdego nauczyciela będącego emerytem lub rencistą zlikwidowanej lub przekazanej szkoły oraz nauczyciela pobierającego nauczycielskie świadczenie kompensacyjne, którego szkoła była ostatnim miejscem pracy.
Osoby te korzystają z usług i świadczeń finansowanych z zakładowego funduszu świadczeń socjalnych na zasadach i warunkach ustalonych w regulaminie obowiązującym we wskazanej szkole.”;
28)
uchyla się art. 60 i art. 61;
a)
ust. 1 otrzymuje brzmienie:
„1. Nauczycielowi zatrudnionemu w szkole, w której w organizacji pracy przewidziano ferie szkolne, przysługuje urlop wypoczynkowy w wymiarze odpowiadającym okresowi ferii i w czasie ich trwania.”,
b)
po ust. 2 dodaje się ust. 2a w brzmieniu:
„2a. Dyrektorowi i wicedyrektorowi szkoły oraz nauczycielowi pełniącemu inne stanowisko kierownicze w szkole, a także nauczycielowi, który przez okres co najmniej 10 miesięcy pełni obowiązki kierownicze w zastępstwie nauczyciela, któremu powierzono stanowisko kierownicze, przysługuje prawo do urlopu wypoczynkowego w wymiarze 35 dni roboczych w czasie ustalonym w planie urlopów.”,
c)
po ust. 3 dodaje się ust. 3a w brzmieniu:
„3a. Nauczycielowi, który w ramach jednego stosunku pracy realizuje obowiązki nauczyciela szkoły, o której mowa w ust. 1, oraz szkoły, o której mowa w ust. 3, przysługuje prawo do urlopu wypoczynkowego określonego dla nauczyciela szkoły, w której nauczyciel realizuje większą liczbę godzin zajęć, a w przypadku realizowania w tych szkołach równej liczby godzin zajęć nauczycielowi przysługuje prawo do urlopu wypoczynkowego określonego dla nauczyciela szkoły, o której mowa w ust. 1.”;
30)
w art. 66 ust. 1 otrzymuje brzmienie:
„1. W razie niewykorzystania urlopu wypoczynkowego w całości lub części w okresie ferii szkolnych z powodu niezdolności do pracy wywołanej chorobą lub odosobnieniem w związku z chorobą zakaźną, urlopu macierzyńskiego, urlopu na warunkach urlopu macierzyńskiego, urlopu ojcowskiego, urlopu rodzicielskiego, urlopu dla poratowania zdrowia, odbywania ćwiczeń wojskowych albo krótkotrwałego przeszkolenia wojskowego – nauczycielowi przysługuje urlop w ciągu roku szkolnego, w wymiarze uzupełniającym do 8 tygodni.”;
31)
po art. 66 dodaje się art. 66a w brzmieniu:
„Art. 66a. 1. Jeżeli nauczyciel szkoły, o której mowa w art. 64 ust. 3, nie może rozpocząć urlopu wypoczynkowego w ustalonym terminie z przyczyn usprawiedliwiających nieobecność w pracy, a w szczególności z powodu:
1) czasowej niezdolności do pracy wskutek choroby,
2) odosobnienia w związku z chorobą zakaźną,
3) powołania na ćwiczenia wojskowe lub na przeszkolenie wojskowe albo stawienia się do pełnienia terytorialnej służby wojskowej rotacyjnie, na czas do 3 miesięcy,
4) urlopu macierzyńskiego,
5) urlopu dla poratowania zdrowia
– urlop wypoczynkowy ulega przesunięciu na termin późniejszy.
2. Część urlopu wypoczynkowego niewykorzystaną z powodu:
1) czasowej niezdolności do pracy wskutek choroby,
2) odosobnienia w związku z chorobą zakaźną,
3) odbywania ćwiczeń wojskowych lub przeszkolenia wojskowego albo pełnienia terytorialnej służby wojskowej rotacyjnie, przez czas do 3 miesięcy,
4) urlopu macierzyńskiego,
5) urlopu dla poratowania zdrowia
– udziela się w terminie późniejszym.
3. Przepisy ust. 1 i 2 stosuje się odpowiednio do dyrektora i wicedyrektora szkoły oraz nauczyciela pełniącego inne stanowisko kierownicze w szkole, a także nauczyciela, który przez okres co najmniej 10 miesięcy pełni obowiązki kierownicze w zastępstwie nauczyciela, któremu powierzono stanowisko kierownicze.”;
32)
po art. 67c dodaje się art. 67d i art. 67e w brzmieniu:
„Art. 67d. 1. Nauczyciel uprawniony do urlopu wychowawczego może złożyć dyrektorowi szkoły pisemny wniosek o obniżenie jego wymiaru czasu pracy oraz odpowiednio obniżenie wymiaru zatrudnienia do wymiaru nie niższego niż połowa pełnego wymiaru zatrudnienia w okresie, w którym mógłby korzystać z takiego urlopu. Dyrektor szkoły jest obowiązany uwzględnić wniosek nauczyciela.
2. Wniosek, o którym mowa w ust. 1, składa się na 21 dni przed rozpoczęciem wykonywania pracy w obniżonym wymiarze zatrudnienia. Do wniosku dołącza się dokumenty określone w przepisach wydanych na podstawie art. 1868a Kodeksu pracy. Jeżeli wniosek został złożony bez zachowania terminu, dyrektor szkoły obniża wymiar zatrudnienia nie później niż z upływem 21 dni od dnia złożenia wniosku.
3. W przypadku nauczycieli szkół, w których organizacji pracy przewidziano ferie szkolne, obniżenie wymiaru zatrudnienia może nastąpić bezpośrednio po zaprzestaniu korzystania przez nauczyciela lub drugiego rodzica lub opiekuna dziecka z urlopu macierzyńskiego, urlopu na warunkach urlopu macierzyńskiego, urlopu rodzicielskiego lub urlopu wychowawczego, a w innych przypadkach – z początkiem roku szkolnego.
4. Jeżeli oboje rodzice lub opiekunowie dziecka są zatrudnieni, z uprawnienia, o którym mowa w ust. 1, może korzystać jedno z nich.
5. Skorzystanie z uprawnienia, o którym mowa w ust. 1, nie powoduje zmiany podstawy nawiązania stosunku pracy z nauczycielem.
Art. 67e. 1. Nauczycielowi wychowującemu przynajmniej jedno dziecko w wieku do 14 lat przysługuje w ciągu roku kalendarzowego zwolnienie od pracy w wymiarze 2 dni, z zachowaniem prawa do wynagrodzenia.
2. Prawo do zasiłku za czas nieobecności w pracy z powodu konieczności sprawowania osobistej opieki nad dzieckiem regulują odrębne przepisy.
3. Jeżeli oboje rodzice lub opiekunowie dziecka są zatrudnieni, z uprawnienia, o którym mowa w ust. 1, może korzystać jedno z nich.”;
33)
art. 70a otrzymuje brzmienie:
„Art. 70a. 1. W budżetach organów prowadzących szkoły wyodrębnia się środki na dofinansowanie doskonalenia zawodowego nauczycieli – w wysokości 0,8% planowanych rocznych środków przeznaczonych na wynagrodzenia osobowe nauczycieli, z zastrzeżeniem ust. 2.
2. Przepis ust. 1 nie obejmuje finansowania publicznych placówek doskonalenia nauczycieli i bibliotek pedagogicznych prowadzonych przez jednostki samorządu terytorialnego.
3. Podziału środków, o których mowa w ust. 1, dokonuje się po zasięgnięciu opinii zakładowych organizacji związkowych będących jednostkami organizacyjnymi organizacji związkowych reprezentatywnych w rozumieniu ustawy z dnia 24 lipca 2015 r. o Radzie Dialogu Społecznego i innych instytucjach dialogu społecznego albo jednostkami organizacyjnymi organizacji związkowych wchodzących w skład organizacji związkowych reprezentatywnych w rozumieniu ustawy z dnia 24 lipca 2015 r. o Radzie Dialogu Społecznego i innych instytucjach dialogu społecznego, zrzeszających nauczycieli.
4. W budżetach wojewodów wyodrębnia się środki na wspieranie organizacji doradztwa metodycznego na obszarze województwa, w łącznej wysokości 12 400 średnich wynagrodzeń nauczyciela dyplomowanego.
5. Środki na realizację zadania, o którym mowa w ust. 4, w budżetach poszczególnych wojewodów wyodrębnia się w wysokości proporcjonalnej do liczby nauczycieli zatrudnionych w województwie, ustalonej na podstawie danych systemu informacji oświatowej.
6. Ze środków, o których mowa w ust. 4, wojewoda udziela jednostkom samorządu terytorialnego prowadzącym placówki doskonalenia nauczycieli zatrudniające doradców metodycznych, o których mowa w art. 183 ust. 4 ustawy – Prawo oświatowe, dotacji na finansowanie wynagrodzenia tych nauczycieli z tytułu powierzonych zadań doradcy metodycznego.
7. W budżecie ministra właściwego do spraw oświaty i wychowania wyodrębnia się środki na realizację ogólnokrajowych zadań w zakresie doskonalenia zawodowego nauczycieli, w łącznej wysokości 2700 średnich wynagrodzeń nauczyciela dyplomowanego, z zastrzeżeniem ust. 8.
8. Przepis ust. 7 nie obejmuje finansowania publicznych placówek doskonalenia nauczycieli o zasięgu ogólnokrajowym prowadzonych przez ministra właściwego do spraw oświaty i wychowania.
9. Minister właściwy do spraw oświaty i wychowania określi, w drodze rozporządzenia, formy doskonalenia zawodowego nauczycieli i rodzaje wydatków związanych z organizacją i prowadzeniem doskonalenia zawodowego nauczycieli, które mogą być dofinansowywane ze środków, o których mowa w ust. 1 i 7, oraz szczegółowe kryteria i tryb przyznawania tych środków, uwzględniając kompetencje organów wymienionych w ust. 1, a także kuratorów oświaty oraz dyrektorów szkół i placówek w zakresie planowania i wydatkowania środków na doskonalenie zawodowe nauczycieli.”;
34)
a)
w art. 73:
„1. Nauczycielowi zatrudnionemu w pełnym wymiarze zajęć na czas nieokreślony, po przepracowaniu nieprzerwanie co najmniej 7 lat w szkole w wymiarze nie niższym niż 1/2 obowiązkowego wymiaru zajęć, dyrektor szkoły udziela urlopu dla poratowania zdrowia:
1) w celu przeprowadzenia zaleconego leczenia:
a) choroby zagrażającej wystąpieniem choroby zawodowej lub
b) choroby, w której powstaniu czynniki środowiska pracy lub sposób wykonywania pracy odgrywają istotną rolę, lub
2) na leczenie uzdrowiskowe lub rehabilitację uzdrowiskową
– w wymiarze nieprzekraczającym jednorazowo roku.”,
b)
po ust. 1 dodaje się ust. 1a w brzmieniu:
„1a. Okres siedmioletniej pracy w szkole, o którym mowa w ust. 1, uważa się za nieprzerwany, jeżeli nauczyciel podjął zatrudnienie w szkole nie później niż w ciągu 3 miesięcy po ustaniu poprzedniego stosunku pracy w tej samej lub innej szkole.”,
c)
ust. 5 i 6 otrzymują brzmienie:
„5. W okresie przebywania na urlopie dla poratowania zdrowia nauczyciel zachowuje prawo do comiesięcznego wynagrodzenia zasadniczego i dodatku za wysługę lat oraz prawo do innych świadczeń pracowniczych, w tym dodatku, o którym mowa w art. 54 ust. 5.
6. W przypadku udzielenia urlopu dla poratowania zdrowia w wymiarze dłuższym niż 30 dni, nauczyciel podlega kontrolnym badaniom lekarskim w celu ustalenia zdolności do wykonywania pracy na dotychczasowym stanowisku.”,
e)
ust. 10 otrzymuje brzmienie:
„10. O potrzebie udzielenia nauczycielowi urlopu dla poratowania zdrowia w celu przeprowadzenia zaleconego leczenia choroby zagrażającej wystąpieniem choroby zawodowej lub choroby, w której powstaniu czynniki środowiska pracy lub sposób wykonywania pracy mogą odgrywać istotną rolę, orzeka lekarz posiadający uprawnienia do wykonywania badań, o których mowa w art. 229 § 1, 2 i 5 Kodeksu pracy, określone w przepisach wydanych na podstawie art. 229 § 8 Kodeksu pracy, wykonujący działalność w jednostce służby medycyny pracy, z którą szkoła zawarła umowę, o której mowa w art. 12 ustawy z dnia 27 czerwca 1997 r. o służbie medycyny pracy (Dz. U. z 2014 r. poz. 1184 oraz z 2017 r. poz. 60), zwany dalej „uprawnionym lekarzem”.”,
f)
po ust. 10 dodaje się ust. 10a–10j w brzmieniu:
„10a. Dyrektor szkoły na pisemny wniosek nauczyciela o udzielenie urlopu dla poratowania zdrowia wydaje skierowanie na badanie lekarskie przeprowadzane przez uprawnionego lekarza.
10b. Uprawniony lekarz orzeka o potrzebie udzielenia nauczycielowi urlopu dla poratowania zdrowia na podstawie:
1) wyników przeprowadzonego przez siebie badania lekarskiego;
2) wyników badań dodatkowych lub konsultacji specjalistycznych, których przeprowadzenie uzna za niezbędne;
3) dokumentacji medycznej z przebiegu dotychczasowego leczenia.
10c. Uprawniony lekarz wydaje orzeczenie lekarskie o potrzebie udzielenia nauczycielowi urlopu dla poratowania zdrowia, określające czas potrzebny na przeprowadzenie zalecanego leczenia.
10d. Nauczycielowi i dyrektorowi szkoły przysługuje odwołanie od orzeczenia lekarskiego, o którym mowa w ust. 10c, do wojewódzkiego ośrodka medycyny pracy właściwego ze względu na miejsce zamieszkania nauczyciela lub ze względu na siedzibę szkoły. W przypadku gdy orzeczenie lekarskie zostało wydane przez uprawnionego lekarza zatrudnionego w wojewódzkim ośrodku medycyny pracy, odwołanie od tego orzeczenia wnosi się do instytutu badawczego w dziedzinie medycyny pracy najbliższego ze względu na miejsce zamieszkania nauczyciela lub ze względu na siedzibę szkoły.
10e. Odwołanie wraz z uzasadnieniem wnosi się na piśmie w terminie 14 dni od dnia otrzymania orzeczenia lekarskiego, o którym mowa w ust. 10c, za pośrednictwem uprawnionego lekarza, który wydał to orzeczenie.
10f. Uprawniony lekarz przekazuje odwołanie wraz z kopią dokumentacji badań, o których mowa w ust. 10b, podmiotowi właściwemu do rozpatrzenia odwołania w terminie 7 dni od dnia otrzymania odwołania.
10g. Podmiot właściwy do rozpatrzenia odwołania, w terminie 30 dni od dnia otrzymania odwołania, wydaje orzeczenie lekarskie po przeprowadzeniu badań lekarskich. Orzeczenie to jest ostateczne.
10h. Koszty badań, o których mowa w ust. 10b pkt 1 i 2 oraz ust. 10g, ponosi szkoła.
10i. Dyrektor szkoły udziela nauczycielowi urlopu dla poratowania zdrowia na podstawie orzeczenia lekarskiego.
10j. Urlopu dla poratowania zdrowia na leczenie uzdrowiskowe lub rehabilitację uzdrowiskową dyrektor szkoły udziela na podstawie potwierdzonego skierowania, o którym mowa w art. 33 ust. 1 i 2 ustawy z dnia 27 sierpnia 2004 r. o świadczeniach opieki zdrowotnej finansowanych ze środków publicznych (Dz. U. z 2017 r. poz. 1938 i 2110), na okres ustalony w tym skierowaniu.”,
g)
ust. 11 otrzymuje brzmienie:
„11. Minister właściwy do spraw zdrowia w porozumieniu z ministrem właściwym do spraw oświaty i wychowania określi, w drodze rozporządzenia:
1) zakres oraz tryb przeprowadzania badania lekarskiego, w celu udzielenia urlopu dla poratowania zdrowia,
2) wzór skierowania, o którym mowa w ust. 10a,
3) wzór orzeczenia lekarskiego o potrzebie udzielenia nauczycielowi urlopu dla poratowania zdrowia
– uwzględniając konieczność przyjęcia obiektywnych i niezbędnych kryteriów oceny stanu zdrowia dokonywanej w celu stwierdzenia potrzeby leczenia oraz określenia czasu na jego przeprowadzenie, a także zapewnienia jednolitości stosowanych dokumentów.”;
35)
w art. 85i dodaje się ust. 3 w brzmieniu:
„3. W postępowaniu wyjaśniającym i postępowaniu dyscyplinarnym do doręczeń stosuje się odpowiednio przepisy art. 39, art. 42, art. 43, art. 44, art. 46 i art. 47 Kodeksu postępowania administracyjnego.”;
a)
ust. 1–3 otrzymują brzmienie:
„1. Nauczycielom mianowanym i dyplomowanym zatrudnionym w:
1) urzędach organów administracji rządowej i kuratoriach oświaty na stanowiskach wymagających kwalifikacji pedagogicznych przysługują uprawnienia wynikające z art. 9a–9i, art. 51, art. 86, art. 88 i art. 90;
2) specjalistycznej jednostce nadzoru oraz w organach sprawujących nadzór pedagogiczny nad zakładami poprawczymi, schroniskami dla nieletnich oraz szkołami przy zakładach karnych na stanowiskach wymagających kwalifikacji pedagogicznych przysługują uprawnienia wynikające z art. 9a–9i, art. 51, art. 63, art. 86, art. 88 i art. 90.
2. Nauczycielom mianowanym i dyplomowanym zatrudnionym w Centralnej Komisji Egzaminacyjnej, okręgowych komisjach egzaminacyjnych na stanowiskach, na których wymagane są kwalifikacje pedagogiczne, publicznych placówkach doskonalenia nauczycieli o zasięgu ogólnokrajowym, publicznych placówkach doskonalenia nauczycieli szkół artystycznych, publicznych placówkach doskonalenia nauczycieli przedmiotów zawodowych, którzy nauczają w szkołach rolniczych, oraz publicznej placówce doskonalenia nauczycieli przedmiotów zawodowych o zasięgu ogólnokrajowym, o których mowa odpowiednio w art. 8 ust. 5 pkt 1 lit. b, ust. 6, ust. 7 pkt 2 i ust. 14 ustawy – Prawo oświatowe, przysługują uprawnienia wynikające z art. 9a–9i, art. 30 ust. 5, art. 32, art. 33, art. 47, art. 49 ust. 1 pkt 3, art. 51, art. 63, art. 86–88 i art. 90.
3. Nauczycielom urlopowanym na podstawie przepisów ustawy, o której mowa w art. 1 ust. 2 pkt 3, przysługują uprawnienia wynikające z art. 9a–9i, art. 30, art. 31, art. 33, art. 49, art. 51, art. 73, art. 86–88 i art. 90.”,
b)
dodaje się ust. 5 w brzmieniu:
„5. W przypadku nauczycieli, o których mowa w art. 1 ust. 2 pkt 1a, przez staż rozumie się okres zatrudnienia nauczyciela w publicznych szkołach i szkolnych punktach konsultacyjnych przy przedstawicielstwach dyplomatycznych, urzędach konsularnych i przedstawicielstwach wojskowych, bez względu na wymiar zatrudnienia, rozpoczętego i realizowanego w trybie i na zasadach określonych w przepisach rozdziału 3a, z tym że w przypadku nauczycieli, o których mowa w art. 9e ust. 1, równoważny z odbywaniem stażu jest odpowiednio okres zatrudnienia na tym stanowisku.”;
a)
ust. 1 i 2 otrzymują brzmienie:
„1. Do nauczyciela zatrudnionego w wymiarze niższym niż połowa obowiązującego wymiaru zajęć nie stosuje się przepisów art. 54 ust. 5, art. 72 i art. 86–90.
2. Do nauczycieli zatrudnionych w:
1) przedszkolach, szkołach oraz innych formach wychowania przedszkolnego, o których mowa w art. 1 ust. 2 pkt 2, bez względu na wymiar zatrudnienia, mają zastosowanie przepisy art. 6, art. 6a, art. 9, art. 10a, art. 11a, art. 26, art. 63 i art. 75–85z;
2) placówkach, o których mowa w art. 1 ust. 2 pkt 2, bez względu na wymiar zatrudnienia, mają zastosowanie przepisy art. 6, art. 6a, art. 9, art. 10a, art. 26, art. 63 i art. 75–85z;
3) przedszkolach, o których mowa w art. 1 ust. 2 pkt 2 lit. a, oraz szkołach i placówkach, o których mowa w art. 1 ust. 2 pkt 2, w wymiarze co najmniej 1/2 obowiązkowego wymiaru zajęć, w tym do nauczyciela zatrudnionego na stanowisku dyrektora, mają zastosowanie przepisy art. 9a–9i, art. 22 ust. 3 i 4, art. 49 ust. 1 pkt 2 i 3, art. 51, art. 70a ust. 4 i 7, art. 86, art. 88 i art. 90 oraz przepisy wydane na podstawie art. 70a ust. 9;
4) przedszkolach, o których mowa w art. 1 ust. 2 pkt 2 lit. b, oraz innych formach wychowania przedszkolnego, o których mowa w art. 1 ust. 2 pkt 2 lit. c, w wymiarze co najmniej 1/2 obowiązkowego wymiaru zajęć, w tym do nauczyciela zatrudnionego na stanowisku dyrektora, mają zastosowanie przepisy art. 9a–9i, art. 22 ust. 3 i 4, art. 49 ust. 1 pkt 2 i 3, art. 51, art. 70a ust. 4 i 7 i art. 88 oraz przepisy wydane na podstawie art. 70a ust. 9.”,
b)
ust. 2b otrzymuje brzmienie:
„2b. Nie można nawiązać stosunku pracy z nauczycielem przedszkola, szkoły, placówki lub innej formy wychowania przedszkolnego, o których mowa w art. 1 ust. 2 pkt 2, który nie spełnia warunków, o których mowa w art. 10 ust. 5 pkt 2–5. Przepisy art. 10 ust. 8a i 8b stosuje się odpowiednio.”,
c)
po ust. 2b dodaje się ust. 2c w brzmieniu:
„2c. W przypadku publicznych innych form wychowania przedszkolnego, prowadzonych przez osoby prawne niebędące jednostkami samorządu terytorialnego lub osoby fizyczne, oraz niepublicznych innych form wychowania przedszkolnego zadania i kompetencje określone w ustawie dla dyrektora szkoły wykonuje osoba kierująca daną inną formą wychowania przedszkolnego wyznaczona przez osobę prowadzącą inną formę wychowania przedszkolnego.”;
a)
„1) art. 30 ust. 6 i 10a, art. 42 ust. 7, art. 42a ust. 1, art. 49 ust. 2, art. 70a ust. 1 oraz art. 72 ust. 1 – wykonuje odpowiednio: rada gminy, rada powiatu, sejmik województwa;”,
b)
pkt 3 otrzymuje brzmienie:
„3) art. 6a ust. 1d pkt 3 oraz ust. 6, art. 9b ust. 3, 3a i 4 pkt 2 oraz ust. 6 i 7 pkt 1, art. 9f ust. 1, art. 9g ust. 1 pkt 3, ust. 3 pkt 1 i ust. 4, art. 18 ust. 4 i 5, art. 22 ust. 1, art. 26 ust. 2, art. 42 ust. 6a, art. 54 ust. 5, art. 63 ust. 2, art. 85s ust. 4, art. 85t ust. 1, 2 i 5 oraz art. 85z ust. 1 pkt 2 i ust. 3 pkt 2 – wykonuje odpowiednio: wójt, burmistrz (prezydent miasta), starosta, marszałek województwa.”.
Art. 77.
W ustawie z dnia 16 września 1982 r. o pracownikach urzędów państwowych (Dz. U. z 2017 r. poz. 2142) w art. 53 ust. 1 otrzymuje brzmienie:
„1. Osobie zatrudnionej na stanowisku kuratora oświaty lub wicekuratora oświaty przysługują uprawnienia określone w art. 91a ust. 1 pkt 1 ustawy z dnia 26 stycznia 1982 r. – Karta Nauczyciela (Dz. U. z 2017 r. poz. 1189 i 2203), a okres zatrudnienia na tych stanowiskach wlicza się do okresu zatrudnienia, od którego zależą uprawnienia nauczyciela określone w tej ustawie.”.
Art. 78.
W ustawie z dnia 17 maja 1989 r. o stosunku Państwa do Kościoła Katolickiego w Rzeczypospolitej Polskiej (Dz. U. z 2013 r. poz. 1169, z 2014 r. poz. 498, z 2016 r. poz. 1948 oraz z 2017 r. poz. 60) w art. 21:
1)
ust. 1 otrzymuje brzmienie:
„1. Do nauczycieli i wychowawców zatrudnionych w szkołach, przedszkolach, placówkach i innych jednostkach organizacyjnych wchodzących w skład systemu oświaty, prowadzonych przez kościelne osoby prawne, stosuje się prawa i obowiązki ustalone dla nauczycieli i wychowawców zatrudnionych odpowiednio w publicznych lub niepublicznych szkołach, przedszkolach, placówkach i innych jednostkach organizacyjnych wchodzących w skład systemu oświaty, prowadzonych przez podmioty niebędące jednostkami samorządu terytorialnego.”;
3)
ust. 3 otrzymuje brzmienie:
„3. Pracownikom szkół, przedszkoli, placówek i innych jednostek organizacyjnych wchodzących w skład systemu oświaty, prowadzonych przez kościelne osoby prawne, niebędącym nauczycielami lub wychowawcami, przysługują uprawnienia i świadczenia przewidziane dla tej kategorii pracowników zatrudnionych odpowiednio w publicznych lub niepublicznych szkołach, przedszkolach, placówkach i innych jednostkach organizacyjnych wchodzących w skład systemu oświaty, prowadzonych przez podmioty niebędące jednostkami samorządu terytorialnego.”.
Art. 79.
W ustawie z dnia 26 lipca 1991 r. o podatku dochodowym od osób fizycznych (Dz. U. z 2016 r. poz. 2032, z późn. zm.) w art. 5a pkt 41 otrzymuje brzmienie:
„41) przepisach o systemie oświaty – oznacza to przepisy ustawy z dnia 7 września 1991 r. o systemie oświaty (Dz. U. z 2017 r. poz. 2198), przepisy ustawy z dnia 14 grudnia 2016 r. – Prawo oświatowe (Dz. U. z 2017 r. poz. 59, 949 i 2203) lub przepisy ustawy z dnia 27 października 2017 r. o finansowaniu zadań oświatowych (Dz. U. poz. 2203).”.
Art. 80.
W ustawie z dnia 7 września 1991 r. o systemie oświaty (Dz. U. z 2017 r. poz. 2198) wprowadza się następujące zmiany:
2)
w art. 13 uchyla się ust. 5;
3)
uchyla się rozdział 2;
5)
uchyla się art. 22ae–22ai;
6)
uchyla się art. 22ak–22am;
b)
ust. 2 otrzymuje brzmienie:
„2. Do szkolnych punktów konsultacyjnych przepisy art. 22aa i art. 22ab ust. 1, 2 pkt 4 i ust. 3–6 stosuje się odpowiednio.”;
9)
uchyla się art. 22az–22azc;
11)
w art. 44zzzd uchyla się ust. 1a i 1b;
12)
w art. 44zzzo uchyla się ust. 3a;
13)
w art. 44zzzq ust. 14 otrzymuje brzmienie:
„14. Świadectwo potwierdzające kwalifikację w zawodzie, o którym mowa w art. 44zzzo ust. 3, dyrektor okręgowej komisji egzaminacyjnej wydaje po dokonaniu rozstrzygnięcia w sprawie unieważnienia, jeżeli w wyniku tego rozstrzygnięcia nie została unieważniona część praktyczna egzaminu potwierdzającego kwalifikacje w zawodzie tego zdającego i zdający spełnił warunki, o których mowa w art. 44zzzo ust. 2.”;
a)
w ust. 1 w części wspólnej wyrazy „art. 44zzzo ust. 3 lub 3a” zastępuje się wyrazami „art. 44zzzo ust. 3”,
b)
w ust. 6 w pkt 2 średnik zastępuje się kropką i uchyla się pkt 3;
15)
uchyla się art. 44zzzua;
16)
uchyla się rozdziały 7 i 8;
17)
uchyla się art. 90r i art. 90s;
18)
w art. 90t uchyla się ust. 2;
19)
w art. 90u uchyla się ust. 2 i 3;
20)
w art. 90v uchyla się ust. 2.
Art. 81.
W ustawie z dnia 13 listopada 2003 r. o dochodach jednostek samorządu terytorialnego (Dz. U. z 2017 r. poz. 1453) w art. 28 w ust. 6 w pkt 5 kropkę zastępuje się średnikiem i dodaje się pkt 6 i 7 w brzmieniu:
„6) zróżnicowania kwot ustalanych na uczniów objętych kształceniem zawodowym w zależności od prognozowanej nadwyżki lub deficytu zapotrzebowania na pracowników w danym zawodzie na wojewódzkim rynku pracy w stosunku do liczby kandydatów chętnych do podjęcia pracy;
7) liczby uczniów, którzy zdali odpowiednio egzamin maturalny lub egzamin potwierdzający kwalifikacje w zawodzie w liceach ogólnokształcących dla dorosłych, szkołach policealnych oraz w szkołach lub placówkach prowadzących kwalifikacyjne kursy zawodowe.”.
Art. 82.
W ustawie z dnia 21 listopada 2008 r. o służbie cywilnej (Dz. U. z 2017 r. poz. 1889) art. 103 otrzymuje brzmienie:
„Art. 103. Członkom korpusu służby cywilnej zatrudnionym na stanowiskach wymagających kwalifikacji pedagogicznych przysługują uprawnienia określone w art. 91a ust. 1 pkt 1 ustawy z dnia 26 stycznia 1982 r. – Karta Nauczyciela (Dz. U. z 2017 r. poz. 1189 i 2203), a okres zatrudnienia na tych stanowiskach wlicza się do okresu zatrudnienia, od którego zależą uprawnienia nauczyciela określone w tej ustawie.”.
Art. 83.
W ustawie z dnia 15 kwietnia 2011 r. o systemie informacji oświatowej (Dz. U. z 2017 r. poz. 2159) wprowadza się następujące zmiany:
1)
w art. 7 w ust. 1 w pkt 28a wyrazy „art. 80 ust. 3b i art. 90 ust. 3b ustawy z dnia 7 września 1991 r. o systemie oświaty” zastępuje się wyrazami „art. 32 ustawy z dnia 27 października 2017 r. o finansowaniu zadań oświatowych (Dz. U. poz. 2203)”;
2)
w art. 8 pkt 3 otrzymuje brzmienie:
„3) dane dotyczące liczby nauczycieli szkół i placówek oświatowych, z którymi w danym roku kalendarzowym rozwiązano stosunek pracy albo planowane jest jego rozwiązanie albo których stosunek pracy wygasł albo wygaśnie, według przyczyn rozwiązania albo wygaśnięcia stosunku pracy;”;
3)
w art. 14 pkt 25 otrzymuje brzmienie:
„25) uczestniczenie w zajęciach rozwijających zainteresowania i uzdolnienia, o których mowa w art. 109 ust. 1 pkt 6 ustawy – Prawo oświatowe, według rodzajów tych zajęć, oraz innych niż wymienione w art. 109 ust. 1 ustawy – Prawo oświatowe formach działalności dydaktyczno-wychowawczej, w tym dodatkowych działaniach mających na celu podtrzymywanie i rozwijanie poczucia tożsamości etnicznej uczniów romskich oraz wspomagających edukację tych uczniów;”;
a)
w pkt 1 w lit. k średnik zastępuje się przecinkiem i dodaje się lit. l w brzmieniu:
„l) informację o otrzymanej ocenie pracy, o której mowa w art. 6a ustawy z dnia 26 stycznia 1982 r. – Karta Nauczyciela;”,
b)
w pkt 2 w lit. h kropkę zastępuje się przecinkiem i dodaje się lit. i w brzmieniu:
„i) informację o otrzymanej ocenie pracy, o której mowa w art. 6a ustawy z dnia 26 stycznia 1982 r. – Karta Nauczyciela – w przypadku nauczycieli zatrudnionych w publicznych placówkach doskonalenia nauczycieli o zasięgu ogólnokrajowym, publicznych placówkach doskonalenia nauczycieli szkół artystycznych oraz publicznych placówkach doskonalenia nauczycieli przedmiotów zawodowych, którzy nauczają w szkołach rolniczych, o których mowa odpowiednio w art. 8 ust. 5 pkt 1 lit. b, ust. 6 i ust. 7 pkt 2 ustawy – Prawo oświatowe.”;
5)
w art. 36 w ust. 1 wyrazy „szkół prowadzonych przez ministra właściwego do spraw kultury i ochrony dziedzictwa narodowego” zastępuje się wyrazami „szkół artystycznych nieprowadzonych przez jednostki samorządu terytorialnego”;
6)
w art. 40 w ust. 1 pkt 2 otrzymuje brzmienie:
„2) liczby nauczycieli, z którymi rozwiązano stosunek pracy albo planowane jest jego rozwiązanie albo których stosunek pracy wygasł albo wygaśnie;”;
7)
w art. 44 w ust. 11 skreśla się wyrazy „i danych dziedzinowych”;
8)
w art. 78 ust. 3 otrzymuje brzmienie:
„3. Wykaz, o którym mowa w ust. 2, powstaje na podstawie automatycznie generowanej w bazie danych SIO informacji o przypadkach, w których nastąpiła próba nieuprawnionego dostępu, oraz na podstawie informacji, o których mowa w art. 78a, przekazywanych przez kierowników podmiotów zobowiązanych do przekazywania danych do bazy danych SIO.”;
9)
po art. 78 dodaje się art. 78a w brzmieniu:
„Art. 78a. Kierownicy podmiotów zobowiązanych do przekazywania danych do bazy danych SIO są zobowiązani niezwłocznie przekazywać do bazy danych SIO informacje o próbie nieuprawnionego dostępu do bazy danych SIO, nielegalnym pozyskaniu danych z bazy danych SIO, zniszczeniu lub utracie danych zgromadzonych w bazie danych SIO lub wykorzystaniu tych danych w nieuprawniony sposób.”;
10)
w art. 105 wyrazy „31 grudnia 2017 r.” zastępuje się wyrazami „1 marca 2019 r.”;
a)
w ust. 4 w pkt 1:
– lit. m otrzymuje brzmienie:
„m) wysokości dodatku, o którym mowa w art. 54 ust. 5 ustawy z dnia 26 stycznia 1982 r. – Karta Nauczyciela,”,
– dodaje się lit. n w brzmieniu:
„n) otrzymanej oceny pracy, o której mowa w art. 6a ustawy z dnia 26 stycznia 1982 r. – Karta Nauczyciela;”,
b)
w ust. 7:
– w pkt 1:
– – we wprowadzeniu do wyliczenia wyrazy „art. 80 ust. 2, 2aa, 2b, 2da, 2dc, 3, 3a, 3ae, 5 i 5b oraz art. 90 ust. 1b, 1ba, 1c, 2a, 2b, 2ca, 2d, 2ea, 2ec, 3, 3a, 4a i 4b ustawy z dnia 7 września 1991 r. o systemie oświaty” zastępuje się wyrazami „art. 15–21, art. 25, art. 26, art. 28–32, art. 40 i art. 41 ustawy z dnia 27 października 2017 r. o finansowaniu zadań oświatowych”,
– – lit. a otrzymuje brzmienie:
„a) zbiór danych, o którym mowa w ust. 4 pkt 1, nie zawiera danych dotyczących wysokości dodatku, o którym mowa w art. 54 ust. 5 ustawy z dnia 26 stycznia 1982 r. – Karta Nauczyciela, oraz zamiast danych dotyczących wynagrodzenia, z wyszczególnieniem jego składników, zawiera dane dotyczące przeciętnego miesięcznego wynagrodzenia nauczycieli, wychowawców i innych pracowników pedagogicznych,”,
– w pkt 2:
– – we wprowadzeniu do wyliczenia wyrazy „art. 80 ust. 3b oraz art. 90 ust. 3b i 4d ustawy z dnia 7 września 1991 r. o systemie oświaty” zastępuje się wyrazami „art. 32 i art. 41 ust. 6 ustawy z dnia 27 października 2017 r. o finansowaniu zadań oświatowych”,
– – lit. b otrzymuje brzmienie:
„b) zbiór danych, o którym mowa w ust. 4 pkt 1, nie zawiera danych o wysokości wynagrodzenia oraz wysokości dodatku, o którym mowa w art. 54 ust. 5 ustawy z dnia 26 stycznia 1982 r. – Karta Nauczyciela,”;
a)
w ust. 1–3 wyrazy „w latach 2013–2017” zastępuje się wyrazami „w latach 2013–2018”,
b)
w ust. 4 wyrazy „w latach 2012–2017” zastępuje się wyrazami „w latach 2012–2018”,
c)
w ust. 5 wyrazy „w latach 2013–2017” zastępuje się wyrazami „w latach 2013–2018”;
13)
w art. 113 w ust. 1 wyrazy „w latach 2012–2017” zastępuje się wyrazami „w latach 2012–2018”;
14)
w art. 130 w ust. 2 wyrazy „za lata 2007–2017” zastępuje się wyrazami „za lata 2007–2018”;
15)
w art. 132 wyrazy „z dniem 1 marca 2019 r.” zastępuje się wyrazami „z dniem 1 marca 2021 r.”.
Art. 84.
W ustawie z dnia 13 czerwca 2013 r. o zmianie ustawy o systemie oświaty oraz niektórych innych ustaw (Dz. U. poz. 827, z późn. zm.) wprowadza się następujące zmiany:
Art. 85.
W ustawie z dnia 23 czerwca 2016 r. o zmianie ustawy o systemie oświaty oraz niektórych innych ustaw (Dz. U. poz. 1010 i 1985 oraz z 2017 r. poz. 60) uchyla się art. 16.
Art. 86.
W ustawie z dnia 14 grudnia 2016 r. – Prawo oświatowe (Dz. U. z 2017 r. poz. 59 i 949) wprowadza się następujące zmiany:
1)
w art. 4 w pkt 43 kropkę zastępuje się średnikiem i dodaje się pkt 44 w brzmieniu:
„44) ustawie o finansowaniu zadań oświatowych – należy przez to rozumieć ustawę z dnia 27 października 2017 r. o finansowaniu zadań oświatowych (Dz. U. poz. 2203).”;
2)
w art. 10 uchyla się ust. 3 i 3a;
b)
uchyla się ust. 5 i 6;
a)
ust. 3 otrzymuje brzmienie:
„3. Osobę, o której mowa w ust. 2, zatrudnia się na zasadach określonych w ustawie z dnia 26 czerwca 1974 r. – Kodeks pracy (Dz. U. z 2016 r. poz. 1666, 2138 i 2255 oraz z 2017 r. poz. 60 i 962), z tym że do tej osoby stosuje się odpowiednio przepisy dotyczące tygodniowego obowiązkowego wymiaru godzin zajęć edukacyjnych nauczycieli oraz ustala się jej wynagrodzenie nie wyższe niż 184% kwoty bazowej, określanej dla nauczycieli corocznie w ustawie budżetowej. Organy prowadzące szkoły mogą upoważniać dyrektorów szkół, w indywidualnych przypadkach, do przyznawania wynagrodzenia w wyższej wysokości.”,
5)
w art. 29 w ust. 2 w pkt 2 wyrazy „oraz art. 159 ust. 1–3” zastępuje się wyrazami „ , art. 159 ust. 1–3 oraz art. 165 ust. 6”;
a)
w ust. 9 pkt 3 otrzymuje brzmienie:
„3) niepublicznym przedszkolu, o którym mowa w art. 17 ust. 1 ustawy o finansowaniu zadań oświatowych, oddziale przedszkolnym w niepublicznej szkole podstawowej, o którym mowa w art. 19 ust. 1 ustawy o finansowaniu zadań oświatowych, lub niepublicznej innej formie wychowania przedszkolnego, o której mowa w art. 21 ust. 1 ustawy o finansowaniu zadań oświatowych, położonych na obszarze gminy.”,
b)
ust. 10 i 11 otrzymują brzmienie:
„10. Jeżeli liczba dzieci, którym gmina ma obowiązek zapewnić możliwość korzystania z wychowania przedszkolnego, zamieszkałych na obszarze danej gminy, zgłoszonych podczas postępowania rekrutacyjnego do publicznego przedszkola, oddziału przedszkolnego w publicznej szkole podstawowej, publicznej innej formy wychowania przedszkolnego, niepublicznego przedszkola, o którym mowa w art. 17 ust. 1 ustawy o finansowaniu zadań oświatowych, oddziału przedszkolnego w niepublicznej szkole podstawowej, o którym mowa w art. 19 ust. 1 ustawy o finansowaniu zadań oświatowych, lub niepublicznej innej formy wychowania przedszkolnego, o której mowa w art. 21 ust. 1 ustawy o finansowaniu zadań oświatowych, przewyższy liczbę miejsc w tym przedszkolu, tym oddziale przedszkolnym lub tej innej formie wychowania przedszkolnego, dyrektor przedszkola lub dyrektor szkoły podstawowej informuje o nieprzyjęciu dziecka do przedszkola, oddziału przedszkolnego w szkole podstawowej lub innej formy wychowania przedszkolnego wójta (burmistrza, rezydenta miasta).
W tym przypadku wójt (burmistrz, prezydent miasta) jest obowiązany pisemnie wskazać rodzicom inne publiczne przedszkole, oddział przedszkolny w publicznej szkole podstawowej albo publiczną inną formę wychowania przedszkolnego, albo niepubliczne przedszkole, o którym mowa w art. 17 ust. 1 ustawy o finansowaniu zadań oświatowych, oddział przedszkolny w niepublicznej szkole podstawowej, o którym mowa w art. 19 ust. 1 ustawy o finansowaniu zadań oświatowych, albo niepubliczną inną formę wychowania przedszkolnego, o której mowa w art. 21 ust. 1 ustawy o finansowaniu zadań oświatowych, które mogą przyjąć dziecko. Czas pracy wskazanego przez wójta (burmistrza, prezydenta miasta) innego publicznego przedszkola, oddziału przedszkolnego w publicznej szkole podstawowej, publicznej innej formy wychowania przedszkolnego, niepublicznego przedszkola, o którym mowa w art. 17 ust. 1 ustawy o finansowaniu zadań oświatowych, oddziału przedszkolnego w niepublicznej szkole podstawowej, o którym mowa w art. 19 ust. 1 ustawy o finansowaniu zadań oświatowych, albo niepublicznej innej formy wychowania przedszkolnego, o której mowa w art. 21 ust. 1 ustawy o finansowaniu zadań oświatowych, powinien być zbliżony do czasu pracy odpowiednio przedszkola, oddziału przedszkolnego w szkole podstawowej lub innej formy wychowania przedszkolnego, o przyjęcie do których ubiegali się rodzice dziecka.
11. Wójt (burmistrz, prezydent miasta) w przypadku, o którym mowa w ust. 10, w miarę możliwości wskazuje odpowiednio publiczne przedszkole, oddział przedszkolny w publicznej szkole podstawowej, publiczną inną formę wychowania przedszkolnego, niepubliczne przedszkole, o którym mowa w art. 17 ust. 1 ustawy o finansowaniu zadań oświatowych, oddział przedszkolny w niepublicznej szkole podstawowej, o którym mowa w art. 19 ust. 1 ustawy o finansowaniu zadań oświatowych, albo niepubliczną inną formę wychowania przedszkolnego, o której mowa w art. 21 ust. 1 ustawy o finansowaniu zadań oświatowych, położone najbliżej przedszkola, oddziału przedszkolnego w szkole podstawowej albo innej formy wychowania przedszkolnego, o przyjęcie do których ubiegali się rodzice dziecka.”;
7)
w art. 32 ust. 3 otrzymuje brzmienie:
„3. Sieć publicznych przedszkoli i oddziałów przedszkolnych w publicznych szkołach podstawowych, wraz z publicznymi przedszkolami, oddziałami przedszkolnymi w publicznych szkołach podstawowych i publicznymi innymi formami wychowania przedszkolnego, prowadzonymi przez osoby prawne niebędące jednostkami samorządu terytorialnego lub osoby fizyczne, publicznymi innymi formami wychowania przedszkolnego, prowadzonymi przez gminę, niepublicznymi przedszkolami, o których mowa w art. 17 ust. 1 ustawy o finansowaniu zadań oświatowych, oddziałami przedszkolnymi w niepublicznych szkołach podstawowych, o których mowa w art. 19 ust. 1 ustawy o finansowaniu zadań oświatowych, oraz niepublicznymi innymi formami wychowania przedszkolnego, o których mowa w art. 21 ust. 1 ustawy o finansowaniu zadań oświatowych, powinna zapewniać dzieciom, o których mowa w art. 31 ust. 1, zamieszkałym na obszarze gminy, możliwość korzystania z wychowania przedszkolnego. Droga dziecka spełniającego obowiązek, o którym mowa w art. 31 ust. 4, i dziecka pięcioletniego z domu do publicznego przedszkola, oddziału przedszkolnego w publicznej szkole podstawowej, publicznej innej formy wychowania przedszkolnego, niepublicznego przedszkola, o którym mowa w art. 17 ust. 1 ustawy o finansowaniu zadań oświatowych, oddziału przedszkolnego w niepublicznej szkole podstawowej, o którym mowa w art. 19 ust. 1 ustawy o finansowaniu zadań oświatowych, albo niepublicznej innej formy wychowania przedszkolnego, o której mowa w art. 21 ust. 1 ustawy o finansowaniu zadań oświatowych, w których gmina zapewniła tym dzieciom warunki spełniania tego obowiązku oraz realizacji prawa do korzystania z wychowania przedszkolnego, nie powinna przekraczać 3 km.”;
8)
w art. 37 w ust. 7 w pkt 2 w lit. a wyrazy „art. 22ac ustawy o systemie oświaty” zastępuje się wyrazami „art. 54 ust. 1 ustawy o finansowaniu zadań oświatowych”;
9)
w art. 45 w ust. 5 wyrazy „niniejszej ustawie oraz ustawie o systemie oświaty” zastępuje się wyrazami „niniejszej ustawie, ustawie o systemie oświaty oraz ustawie o finansowaniu zadań oświatowych”;
10)
w art. 47 w ust. 5 wyrazy „niniejszej ustawy i ustawy o systemie oświaty” zastępuje się wyrazami „niniejszej ustawy, ustawy o systemie oświaty oraz ustawy o finansowaniu zadań oświatowych”;
11)
w art. 53 po ust. 1 dodaje się ust. 1a w brzmieniu:
„1a. Minister właściwy do spraw kultury i ochrony dziedzictwa narodowego może powierzyć specjalistycznej jednostce nadzoru, o której mowa w ust. 1, również zadania placówki doskonalenia nauczycieli szkół artystycznych.”;
a)
po ust. 3 dodaje się ust. 3a w brzmieniu:
„3a. W przypadku ucznia szkoły artystycznej objętego obowiązkiem szkolnym, dyrektor szkoły artystycznej może skreślić ucznia z listy uczniów w trybie określonym w ust. 2, po uzyskaniu pozytywnej opinii specjalistycznej jednostki nadzoru, o której mowa w art. 53 ust. 1.”,
b)
ust. 4 otrzymuje brzmienie:
„4. Dyrektor szkoły lub placówki skreśla ucznia z listy uczniów na pisemny wniosek rodziców lub pełnoletniego ucznia.”;
13)
w art. 145 dodaje się ust. 5 w brzmieniu:
„5. Jeżeli po przeprowadzeniu postępowania rekrutacyjnego publiczna placówka zapewniająca opiekę i wychowanie uczniom szkół artystycznych w okresie pobierania nauki poza miejscem stałego zamieszkania nadal dysponuje wolnymi miejscami, za zgodą organu prowadzącego, może przyjąć uczniów szkół innych niż artystyczne albo studentów uczelni artystycznych.”;
14)
w art. 153 dodaje się ust. 6 w brzmieniu:
„6. Deklarację o kontynuowaniu pobytu w publicznej placówce zapewniającej opiekę i wychowanie uczniom szkół artystycznych w okresie pobierania nauki poza miejscem stałego zamieszkania, o której mowa w ust. 4, mogą złożyć rodzice ucznia szkoły artystycznej albo pełnoletni uczeń takiej szkoły, który w danym roku kalendarzowym nie ukończy 19. roku życia. Uczeń szkoły artystycznej realizującej kształcenie ogólne może złożyć taką deklarację w każdym roku szkolnym, aż do roku poprzedzającego rok zakończenia nauki w szkole.”;
15)
w art. 165 ust. 1 otrzymuje brzmienie:
„1. Osoby niebędące obywatelami polskimi korzystają z nauki i opieki w publicznych przedszkolach lub publicznych innych formach wychowania przedszkolnego, a także w niepublicznych przedszkolach, o których mowa w art. 17 ust. 1 ustawy o finansowaniu zadań oświatowych, oddziałach przedszkolnych w niepublicznych szkołach podstawowych, o których mowa w art. 19 ust. 1 ustawy o finansowaniu zadań oświatowych, i niepublicznych innych formach wychowania przedszkolnego, o których mowa w art. 21 ust. 1 ustawy o finansowaniu zadań oświatowych, a podlegające obowiązkowi szkolnemu, korzystają z nauki i opieki w publicznych szkołach podstawowych, publicznych szkołach artystycznych oraz w publicznych placówkach, w tym placówkach artystycznych, na warunkach dotyczących obywateli polskich.”;
16)
w art. 168 w ust. 11 w pkt 6 kropkę zastępuje się średnikiem i dodaje się pkt 7 w brzmieniu:
„7) w przypadku niepublicznego przedszkola, niepublicznej szkoły podstawowej, w której zorganizowano oddział przedszkolny, lub niepublicznej innej formy wychowania przedszkolnego – informację o otrzymywaniu dotacji, o której mowa odpowiednio w art. 17 ust. 1, art. 19 ust. 1 lub art. 21 ust. 1 ustawy o finansowaniu zadań oświatowych.”;
17)
w art. 181 w ust. 1 wyrazy „wpisu do ewidencji prowadzonej przez gminę” zastępuje się wyrazami „wpisu do ewidencji, o której mowa w art. 168 ust. 1, prowadzonej przez gminę”.
Art. 87.
W ustawie z dnia 14 grudnia 2016 r. – Przepisy wprowadzające ustawę – Prawo oświatowe (Dz. U. z 2017 r. poz. 60 i 949) wprowadza się następujące zmiany:
1)
w art. 262 kropkę zastępuje się przecinkiem i dodaje się wyrazy „z zastrzeżeniem art. 98 ustawy z dnia 27 października 2017 r. o finansowaniu zadań oświatowych (Dz. U. poz. 2203), zwanej dalej „ustawą o finansowaniu zadań oświatowych”.”;
a)
ust. 18 otrzymuje brzmienie:
„18. Osoby, które do dnia 31 stycznia 2019 r. złożyły wniosek o dopuszczenie do egzaminu eksternistycznego potwierdzającego kwalifikacje w zawodzie z zakresu co najmniej jednej z kwalifikacji wyodrębnionych w danym zawodzie, przystępują do egzaminu eksternistycznego potwierdzającego kwalifikacje w zawodzie z zakresu kwalifikacji wyodrębnionej w tym zawodzie, a w przypadku gdy w zawodzie wyodrębniono więcej niż jedną kwalifikację – egzaminów eksternistycznych potwierdzających kwalifikacje w zawodzie z zakresu wszystkich kwalifikacji wyodrębnionych w tym zawodzie, przeprowadzanych na podstawie wymagań określonych w podstawie programowej kształcenia w zawodach, określonej w przepisach wydanych na podstawie art. 22 ust. 2 pkt 2a ustawy zmienianej w art. 15 do dnia 31 października 2025 r.”,
b)
dodaje się ust. 19 i 20 w brzmieniu:
„19. Do dnia 31 października 2025 r. do egzaminu eksternistycznego potwierdzającego kwalifikacje w zawodzie przeprowadzanego na podstawie wymagań określonych w podstawie programowej kształcenia w zawodach, określonej w przepisach wydanych na podstawie art. 22 ust. 2 pkt 2a ustawy zmienianej w art. 15, przystępują także osoby, o których mowa w art. 302a ust. 1 pkt 1–3, w przypadku gdy przystępują do tego egzaminu zgodnie z art. 44zzzu ust. 2 ustawy zmienianej w art. 15, w brzmieniu obowiązującym przed dniem 1 września 2017 r. Przepisu ust. 20 nie stosuje się.
20. Osoby, które po dniu 31 stycznia 2019 r. po raz pierwszy złożą wniosek o dopuszczenie do egzaminu eksternistycznego potwierdzającego kwalifikacje w zawodzie z zakresu co najmniej jednej z kwalifikacji wyodrębnionych w danym zawodzie, przystępują do egzaminu eksternistycznego potwierdzającego kwalifikacje w zawodzie z zakresu kwalifikacji wyodrębnionej w tym zawodzie, a w przypadku gdy w zawodzie wyodrębniono więcej niż jedną kwalifikację – egzaminów eksternistycznych potwierdzających kwalifikacje w zawodzie z zakresu wszystkich kwalifikacji wyodrębnionych w tym zawodzie, przeprowadzanych na podstawie wymagań określonych w podstawie programowej kształcenia w zawodach, określonej w przepisach wydanych na podstawie art. 47 ust. 1 pkt 2 ustawy – Prawo oświatowe.”;
3)
art. 290 otrzymuje brzmienie:
„Art. 290. 1. Kształcenie na kwalifikacyjnych kursach zawodowych, w oparciu o podstawę programową kształ- cenia w zawodach określoną w przepisach wydanych na podstawie art. 22 ust. 2 pkt 2a ustawy zmienianej w art. 15, odbywa się do dnia 31 grudnia 2019 r.
2. Kształcenie na kwalifikacyjnych kursach zawodowych, w oparciu o podstawę programową kształcenia w zawodach określoną w przepisach wydanych na podstawie art. 47 ust. 1 pkt 2 ustawy – Prawo oświatowe, odbywa się od dnia 1 września 2018 r.”;
4)
w art. 302 dodaje się ust. 5 w brzmieniu:
„5. Uczniowie i słuchacze szkół policealnych, którzy rozpoczęli naukę przed rokiem szkolnym 2017/2018, przystępują do egzaminu potwierdzającego kwalifikacje w zawodzie zgodnie z przepisami rozdziału 3b ustawy zmienianej w art. 15, w brzmieniu obowiązującym przed dniem 1 września 2017 r.”;
5)
po art. 302 dodaje się art. 302a w brzmieniu:
„Art. 302a. 1. Do egzaminu potwierdzającego kwalifikacje w zawodzie przeprowadzanego zgodnie z przepisami rozdziału 3b ustawy zmienianej w art. 15, w brzmieniu obowiązującym przed dniem 1 września 2017 r., przystępują:
1) absolwenci dotychczasowych czteroletnich techników, którzy realizowali podstawę programową kształcenia w zawodach określoną w przepisach wydanych na podstawie art. 22 ust. 2 pkt 2a ustawy zmienianej w art. 15 – do zakończenia roku szkolnego 2024/2025;
2) absolwenci dotychczasowych zasadniczych szkół zawodowych i absolwenci dotychczasowych zasadniczych szkół zawodowych, o których mowa w art. 164 – do zakończenia roku szkolnego 2024/2025;
3) absolwenci szkół policealnych, którzy realizowali podstawę programową kształcenia w zawodach określoną w przepisach wydanych na podstawie art. 22 ust. 2 pkt 2a ustawy zmienianej w art. 15 – do zakończenia roku szkolnego 2024/2025;
4) osoby, które ukończyły kwalifikacyjny kurs zawodowy prowadzony w oparciu o podstawę programową kształcenia w zawodach określoną w przepisach wydanych na podstawie art. 22 ust. 2 pkt 2a ustawy zmienianej w art. 15 – do dnia 31 października 2025 r.;
5) osoby dorosłe, które ukończyły praktyczną naukę zawodu dorosłych lub przyuczenie do pracy dorosłych, o których mowa odpowiednio w art. 53c i art. 53d ustawy z dnia 20 kwietnia 2004 r. o promocji zatrudnienia i instytucjach rynku pracy (Dz. U. z 2017 r. poz. 1065, 1292, 1321, 1428 i 1543), jeżeli program przyuczenia do pracy uwzględniał wymagania określone w przepisach wydanych na podstawie art. 22 ust. 2 pkt 2a ustawy zmienianej w art. 15 – do dnia 31 października 2025 r.
2. Do egzaminu potwierdzającego kwalifikacje w zawodzie przeprowadzanego zgodnie z przepisami rozdziału 3b ustawy zmienianej w art. 15, w brzmieniu obowiązującym po dniu 1 września 2017 r., przystępują:
1) absolwenci, o których mowa w ust. 1 pkt 1–3 – począwszy od roku szkolnego 2025/2026;
2) osoby, o których mowa w ust. 1 pkt 4 i 5 – począwszy od dnia 1 listopada 2025 r.;
3) absolwenci dotychczasowych czteroletnich techników, którzy realizowali podstawę programową kształcenia w zawodach określoną w przepisach wydanych na podstawie art. 47 ust. 1 pkt 2 ustawy – Prawo oświatowe – począwszy od roku szkolnego 2021/2022;
4) absolwenci szkół policealnych, którzy realizowali podstawę programową kształcenia w zawodach określoną w przepisach wydanych na podstawie art. 47 ust. 1 pkt 2 ustawy – Prawo oświatowe – począwszy od roku szkolnego 2017/2018.”;
a)
w ust. 1 wyrazy „w art. 80 ust. 3 i 3ab–3ae oraz art. 90 ust. 2a, 3, 3ab–3ad i 3b ustawy zmienianej w art. 15” zastępuje się wyrazami „odpowiednio w art. 25, art. 26, art. 28–30 i art. 32 ustawy o finansowaniu zadań oświatowych”,
b)
w ust. 2 wyrazy „w art. 80 ust. 3, 3ab–3ad i 8 oraz art. 90 ust. 2a, 3ab–3ad, 3b i 8 ustawy zmienianej w art. 15” zastępuje się wyrazami „odpowiednio w art. 25, art. 26 i art. 28–32 ustawy o finansowaniu zadań oświatowych”,
c)
w ust. 3 wyrazy „art. 78a–78e, art. 80 i art. 89b–90 ustawy zmienianej w art. 15” zastępuje się wyrazami „rozdziału 3 ustawy o finansowaniu zadań oświatowych”;
7)
w art. 328 we wprowadzeniu do wyliczenia wyrazy „W latach 2017–2019” zastępuje się wyrazami „W roku 2017”;
8)
art. 329 i art. 330 otrzymują brzmienie:
„Art. 329. W latach 2019–2023 do wyliczenia wskaźnika zwiększającego, o którym mowa w art. 14 ust. 1, 2 i 8 ustawy o finansowaniu zadań oświatowych, dla czteroletnich liceów ogólnokształcących i klas dotychczasowego trzyletniego liceum ogólnokształcącego prowadzonych w czteroletnich liceach ogólnokształcących, należy przyjąć sumę odpowiednich wydatków bieżących i dochodów oraz sumę kwoty części oświatowej subwencji ogólnej dla czteroletnich liceów ogólnokształcących i klas dotychczasowego trzyletniego liceum ogólnokształcącego prowadzonych w czteroletnich liceach ogólnokształcących, a także sumę liczby uczniów i uczestników zajęć rewalidacyjno-wychowawczych w czteroletnich liceach ogólnokształcących i klasach dotychczasowego trzyletniego liceum ogólnokształcącego prowadzonych w czteroletnich liceach ogólnokształcących.
Art. 330. W latach 2019–2023 do wyliczenia wskaźnika zwiększającego, o którym mowa w art. 14 ust. 1, 2 i 8 ustawy o finansowaniu zadań oświatowych, dla pięcioletnich techników i klas dotychczasowego czteroletniego technikum prowadzonych w pięcioletnich technikach, należy przyjąć sumę odpowiednich wydatków bieżących i dochodów oraz sumę kwoty części oświatowej subwencji ogólnej dla pięcioletnich techników i klas dotychczasowego czteroletniego technikum prowadzonych w pięcioletnich technikach, a także sumę liczby uczniów i uczestników zajęć rewalidacyjno-wychowawczych w pięcioletnich technikach i klasach dotychczasowego czteroletniego technikum prowadzonych w pięcioletnich technikach.”;
9)
w art. 331 we wprowadzeniu do wyliczenia wyrazy „W latach 2017–2019” zastępuje się wyrazami „W roku 2017”;
10)
w art. 332 w ust. 1–6 kropki zastępuje się przecinkami i dodaje się wyrazy „z zastrzeżeniem art. 101 ustawy o finansowaniu zadań oświatowych.”;
11)
uchyla się art. 338–341;
a)
w ust. 1 wyrazy „art. 337–342” zastępuje się wyrazami „art. 337 i art. 342”,
b)
w ust. 2 wyrazy „art. 337, art. 338, art. 340 i art. 341” zastępuje się wyrazami „art. 337”;
Art. 88.
W ustawie z dnia 21 kwietnia 2017 r. o zmianie ustawy o systemie informacji oświatowej oraz niektórych innych ustaw (Dz. U. poz. 949) wprowadza się następujące zmiany:
1)
w art. 9 w ust. 1 wyrazy „do dnia 31 marca 2018 r.” zastępuje się wyrazami „do dnia 31 sierpnia 2018 r.”;
a)
w ust. 1 skreśla się wyrazy „ , oraz danych dziedzinowych nauczycieli, o których mowa w art. 29 ustawy zmienianej w art. 1”,
b)
w ust. 2 skreśla się wyrazy „ , z wyjątkiem danych, o których mowa w art. 29 ust. 1 pkt 1 lit. e, g i j i pkt 1a lit. i, ust. 3 pkt 1 lit. c, e, g i pkt 2 lit. f oraz ust. 4 pkt 5, które przekazuje się za okresy określone w przepisach wykonawczych wydanych na podstawie art. 31 ustawy zmienianej w art. 1, w brzmieniu nadanym niniejszą ustawą”;
3)
po art. 12 dodaje się art. 12a w brzmieniu:
„Art. 12a. 1. Do bazy danych SIO nie przekazuje się danych, o których mowa w art. 8 i art. 9 pkt 2 ustawy zmienianej w art. 1, w brzmieniu nadanym niniejszą ustawą, oraz w art. 29 ustawy zmienianej w art. 1, w okresie od dnia wejścia w życie ustawy do dnia 8 kwietnia 2018 r.
2. Dane, o których mowa w ust. 1, przekazuje się do bazy danych SIO od dnia 9 kwietnia 2018 r. do dnia 9 maja 2018 r. za okres od dnia wejścia w życie ustawy do dnia 8 kwietnia 2018 r., z wyjątkiem danych, o których mowa w art. 8 pkt 1 lit. e i art. 9 pkt 2 lit. c ustawy zmienianej w art. 1, w brzmieniu nadanym niniejszą ustawą, oraz w art. 8 pkt 1 lit. c, f–k i pkt 2–4, art. 9 pkt 2 lit. a i b, art. 29 ust. 1 pkt 1 lit. e, g, i, j i pkt 1a lit. i, ust. 3 pkt 1 lit. c, e, g i pkt 2 lit. f oraz ust. 4 pkt 5 ustawy zmienianej w art. 1, które przekazuje się za okresy określone w przepisach wydanych na podstawie art. 31 ustawy zmienianej w art. 1, w brzmieniu nadanym niniejszą ustawą.”.
Rozdział 12
Przepisy przejściowe i końcowe
Art. 89.
Ilekroć w niniejszym rozdziale jest mowa o:
1)
dotychczasowym gimnazjum – należy przez to rozumieć również klasy dotychczasowego gimnazjum prowadzone w szkole innego typu;
2)
dotychczasowym trzyletnim liceum ogólnokształcącym – należy przez to rozumieć również klasy dotychczasowego trzyletniego liceum ogólnokształcącego prowadzone w czteroletnim liceum ogólnokształcącym;
3)
dotychczasowym czteroletnim technikum – należy przez to rozumieć również klasy dotychczasowego czteroletniego technikum prowadzone w pięcioletnim technikum;
4)
dotychczasowej zasadniczej szkole zawodowej – należy przez to rozumieć klasy dotychczasowej zasadniczej szkoły zawodowej prowadzone w branżowej szkole I stopnia.
Art. 90.
1.
W latach 2018–2020 przepisy rozdziałów 1–3 i 8–10 w zakresie szkół danego typu, z wyjątkiem art. 25 ust. 5 i 6 oraz art. 26 ust. 5 i 6, stosuje się odpowiednio do dotychczasowego gimnazjum, o ile przepisy szczególne nie stanowią inaczej.
2.
W latach 2018–2023 przepisy rozdziałów 1–3 i 8–10 w zakresie szkół ponadpodstawowych stosuje się odpowiednio do dotychczasowych szkół ponadgimnazjalnych oraz klas tych szkół prowadzonych w szkołach innego typu, o ile przepisy szczególne nie stanowią inaczej.
3.
W latach 2018–2020 przepisy art. 14 ust. 6 i 7 stosuje się odpowiednio do dotychczasowego gimnazjum.
4.
W latach 2018–2023 przepisy art. 25 ust. 5 i 6 oraz art. 26 ust. 5 i 6 stosuje się odpowiednio do dotychczasowego trzyletniego liceum ogólnokształcącego.
5.
W latach 2018–2023 przez szkołę, w której jest realizowany obowiązek szkolny lub obowiązek nauki, należy rozumieć także dotychczasowe gimnazjum dla dzieci i młodzieży, dotychczasowe trzyletnie liceum ogólnokształcące dla dzieci i młodzieży i dotychczasowe czteroletnie technikum.
6.
W latach 2018–2023 przez szkołę, w której nie jest realizowany obowiązek szkolny lub obowiązek nauki, należy rozumieć także dotychczasowe gimnazjum dla dorosłych i dotychczasowe trzyletnie liceum ogólnokształcące dla dorosłych.
Art. 91.
1.
Do czynności podejmowanych w związku z udzieleniem dotacji, o których mowa w art. 15–21, art. 25, art. 26, art. 28–32, art. 40 i art. 41, na rok 2018, stosuje się przepisy rozdziału 3, o ile przepisy szczególne nie stanowią inaczej.
2.
Do wszczętych i niezakończonych przed dniem 1 stycznia 2018 r. postępowań w przedmiocie ustalenia wysokości lub przekazania dotacji na rok 2017 lub lata wcześniejsze stosuje się przepisy dotychczasowe.
Art. 92.
W okresie od dnia 1 stycznia 2018 r. do dnia 31 marca 2018 r. w przypadku ustalania podstawowej kwoty dotacji, o której mowa w art. 13 ust. 1 i 2, kwotę wydatków bieżących należy pomniejszyć o wydatki bieżące na zapewnienie uczniom prawa, o którym mowa w art. 22ac ustawy zmienianej w art. 80.
Art. 93.
W okresie od dnia 1 stycznia 2018 r. do dnia 31 marca 2018 r. przy ustalaniu wskaźnika zwiększającego, o którym mowa w art. 14 ust. 1, 2 i 8, dla zmiennej Dpt–1 należy przyjąć wykorzystaną w budżecie jednostki samorządu terytorialnego kwotę dotacji, o której mowa w art. 22ae ust. 3 ustawy zmienianej w art. 80, dla prowadzonych przez jednostkę samorządu terytorialnego szkół danego typu niebędących szkołami specjalnymi lub będących szkołami specjalnymi.
Art. 94.
W okresie do ostatniego dnia miesiąca pierwszej aktualizacji w 2018 r., wskaźnik zwiększający, o którym mowa w art. 14 ust. 8, ustala się z uwzględnieniem:
1)
wydatków i dochodów bieżących oraz kwoty przewidzianej w części oświatowej subwencji ogólnej w 2016 r.;
2)
liczby dzieci objętych wczesnym wspomaganiem rozwoju, uczniów i uczestników zajęć rewalidacyjno-wychowawczych ustalonej na podstawie danych systemu informacji oświatowej według stanu odpowiednio na dzień 30 września 2015 r. lub na dzień 30 września 2016 r.
Art. 95.
1.
W przypadku dotacji, o której mowa w art. 26 ust. 5, przepis art. 33 ust. 1 pkt 1 stosuje się po raz pierwszy do dotacji udzielanej na rok 2019.
2.
Przepisy art. 31 ust. 1 pkt 2 i art. 33 ust. 1 pkt 2 stosuje się po raz pierwszy do dotacji udzielanych na rok 2019.
Art. 96.
1.
W przypadku dotacji, o których mowa w art. 15, art. 17, art. 19, art. 21, art. 26 ust. 1, 2 i 8, art. 29, art. 30, art. 31 i art. 41, udzielanych na rok 2018, warunek podania informacji o planowanej liczbie dzieci objętych wczesnym wspomaganiem rozwoju, uczniów, wychowanków, uczestników zajęć rewalidacyjno-wychowawczych oraz słuchaczy kwalifikacyjnych kursów zawodowych, o którym mowa odpowiednio w art. 31 ust. 1 pkt 1 i art. 33 ust. 1 pkt 1, jest spełniony przez podanie informacji o planowanej liczbie dzieci objętych wczesnym wspomaganiem rozwoju, uczniów, wychowanków, uczestników zajęć rewalidacyjno-wychowawczych oraz słuchaczy kwalifikacyjnych kursów zawodowych na podstawie przepisów art. 80 ust. 2c, 3ac i 8 oraz art. 90 ust. 1a–1c, 2a, 2b, 2ca, 2d, 2ea, 2ec, 3–3ad, 4b, 4c, 4cb i 8 ustawy zmienianej w art. 80, w brzmieniu dotychczasowym.
2.
W 2018 r. dotacja, o której mowa w art. 15–21, art. 25 ust. 1–4 i 8, art. 26 ust. 1, 2 i 8, art. 28–30, art. 40 i art. 41, w części za styczeń jest przekazywana w terminie do dnia 31 stycznia 2018 r.
3.
W styczniu 2018 r. informację o liczbie dzieci objętych wczesnym wspomaganiem rozwoju, uczniów, wychowanków lub uczestników zajęć rewalidacyjno-wychowawczych, na których, zgodnie z art. 34 ust. 2 oraz art. 42 ust. 2 pkt 1 i 2, jest udzielana dotacja, o której mowa w art. 15–21, art. 25 ust. 1–4 i 8, art. 26 ust. 1, 2 i 8, art. 28–30, art. 40 i art. 41, przekazuje się nie później niż do dnia 24 stycznia 2018 r.
Art. 97.
Do rozliczenia dotacji, o których mowa w art. 80 i art. 90 ustawy zmienianej w art. 80, w brzmieniu dotychczasowym, za rok 2017, stosuje się przepisy art. 80 i art. 90 ustawy zmienianej w art. 80, w brzmieniu dotychczasowym.
Art. 98.
Począwszy od dnia 1 stycznia 2018 r. placówki publiczne, o których mowa w art. 262 ustawy zmienianej w art. 87, otrzymują dotacje, o których mowa odpowiednio w art. 15, art. 16 ust. 1 i 3, art. 18 ust. 1 i 3, art. 20 ust. 1, art. 25 ust. 1–5 i 8, art. 28 ust. 1, 3 i 4, art. 30 oraz art. 32 ust. 1.
Art. 99.
Począwszy od dnia 1 stycznia 2018 r. do wyliczenia wskaźnika zwiększającego, o którym mowa w art. 14 ust. 1, 2 i 8, dla dotychczasowych gimnazjów, należy przyjąć sumę odpowiednich wydatków bieżących i dochodów oraz sumę kwoty części oświatowej subwencji ogólnej dla dotychczasowych gimnazjów i klas dotychczasowego gimnazjum prowadzonych w szkołach innego typu, a także sumę liczby uczniów i uczestników zajęć rewalidacyjno-wychowawczych w dotychczasowych gimnazjach i klasach dotychczasowego gimnazjum prowadzonych w szkołach innego typu.
Art. 100.
Począwszy od dnia 1 stycznia 2018 r. do wyliczenia wskaźnika zwiększającego, o którym mowa w art. 14 ust. 1, 2 i 8, dla branżowych szkół I stopnia i klas dotychczasowej zasadniczej szkoły zawodowej prowadzonych w branżowych szkołach I stopnia, należy przyjąć sumę odpowiednich wydatków bieżących i dochodów oraz sumę kwoty części oświatowej subwencji ogólnej dla branżowych szkół I stopnia i klas dotychczasowej zasadniczej szkoły zawodowej prowadzonych w branżowych szkołach I stopnia, a także sumę liczby uczniów i uczestników zajęć rewalidacyjno-wychowawczych odpowiednio w tych szkołach lub klasach.
Art. 101.
1.
Począwszy od dnia 1 stycznia 2018 r. w przypadku przekształcenia dotychczasowego gimnazjum albo włączenia dotychczasowego gimnazjum do szkoły innego typu zgodnie z art. 129 ust. 1 i 3, art. 182 ust. 1, art. 200 ust. 1 i art. 201 ust. 1–3 ustawy zmienianej w art. 87, dotacje, o których mowa w art. 25, art. 26 i art. 28–30, przyznane dotychczasowym gimnazjom, przysługują szkole, w którą to dotychczasowe gimnazjum zostało przekształcone lub do której zostało włączone, od dnia tego przekształcenia lub włączenia.
2.
Począwszy od dnia 1 stycznia 2018 r. w przypadku przekształcenia dotychczasowego gimnazjum albo włączenia dotychczasowego gimnazjum do szkoły innego typu, w roku kalendarzowym, w którym nastąpiło przekształcenie dotychczasowego gimnazjum lub włączenie dotychczasowego gimnazjum do szkoły innego typu, organem udzielającym dotacji, o której mowa w art. 25, art. 26 i art. 28–30, na uczniów klas dotychczasowego gimnazjum jest organ, który odpowiednio wydał zezwolenie na założenie dotychczasowego gimnazjum albo dokonał wpisu dotychczasowego gimnazjum do ewidencji szkół niepublicznych.
3.
Począwszy od dnia 1 stycznia 2018 r. w przypadku przekształcenia dotychczasowego gimnazjum albo włączenia dotychczasowego gimnazjum do szkoły innego typu, w roku kalendarzowym, innym niż określony w ust. 2, organem udzielającym dotacji, o której mowa w art. 25, art. 26 i art. 28–30, na uczniów klas dotychczasowego gimnazjum jest organ, który dokonał zmiany zezwolenia na założenie dotychczasowego gimnazjum zgodnie z art. 132 i art. 139 ust. 11 ustawy zmienianej w art. 87 albo zmiany wpisu dotychczasowego gimnazjum do ewidencji szkół niepublicznych zgodnie z art. 136 i art. 142 ust. 10 ustawy zmienianej w art. 87.
4.
Organ udzielający dotacji, o której mowa w art. 25 ust. 1, 2 i 4, oblicza wysokość dotacji z uwzględnieniem wskaźnika zwiększającego, o którym mowa w art. 14 ust. 1, 2 i 8, ustalonego dla jednostki samorządu terytorialnego, która odpowiednio wydała zezwolenie na założenie dotychczasowego gimnazjum albo dokonała wpisu dotychczasowego gimnazjum do ewidencji szkół niepublicznych.
5.
Począwszy od dnia 1 stycznia 2018 r. w przypadku przekształcenia dotychczasowego gimnazjum albo włączenia dotychczasowego gimnazjum do szkoły innego typu, dotację, o której mowa w art. 15, art. 18, art. 19, art. 25, art. 26 i art. 28–30, przyznaje się odpowiednio tej szkole od dnia rozpoczęcia przez nią działalności, określonego zgodnie z art. 129 ust. 2 i 4–6 ustawy zmienianej w art. 87.
6.
W przypadkach, o których mowa w ust. 1–5, stosuje się odpowiednio przepisy rozdziału 3.
Art. 102.
1.
Do postępowań dotyczących rezygnacji, o której mowa w art. 90 ust. 1m ustawy zmienianej w art. 80, w brzmieniu dotychczasowym, wszczętych i niezakończonych przed dniem 1 stycznia 2018 r., stosuje się przepisy dotychczasowe.
2.
Czynności podjęte przed dniem 1 stycznia 2018 r. w związku z rezygnacją, o której mowa w art. 90 ust. 1m ustawy zmienianej w art. 80, w brzmieniu dotychczasowym, pozostają w mocy.
Art. 103.
1.
Rozstrzygnięcia otwartych konkursów ofert, o których mowa w art. 90 ust. 1d ustawy zmienianej w art. 80, w brzmieniu dotychczasowym, dokonane przed dniem 1 stycznia 2018 r., zachowują moc.
2.
Placówki wychowania przedszkolnego, które uzyskały prawo do dotacji, o których mowa w art. 90 ust. 1b, 1ba lub 1c ustawy zmienianej w art. 80, w brzmieniu dotychczasowym, na podstawie konkursów, o których mowa w ust. 1, od dnia 1 stycznia 2018 r., otrzymują dotacje, o których mowa odpowiednio w art. 17 ust. 1, art. 19 ust. 1 i art. 21 ust. 1.
Art. 104.
Uchwały rady gminy podjęte przed dniem 1 stycznia 2018 r. na podstawie art. 90 ust. 1f ustawy zmienianej w art. 80, w brzmieniu dotychczasowym, zachowują moc do dnia wejścia w życie uchwał podjętych na podstawie art. 22 ust. 3.
Art. 105.
Do postępowań dotyczących cofnięcia dotacji na podstawie art. 90 ust. 1n ustawy zmienianej w art. 80, w brzmieniu dotychczasowym, wszczętych i niezakończonych przed dniem 1 stycznia 2018 r., stosuje się przepisy dotychczasowe.
Art. 106.
1.
Uchwały rady gminy podjęte przed dniem 1 stycznia 2018 r. na podstawie art. 14 ust. 5 ustawy zmienianej w art. 80, w brzmieniu dotychczasowym, zachowują moc do dnia wejścia w życie uchwał podjętych na podstawie art. 52 ust. 1.
2.
Dotychczasowe całkowite lub częściowe zwolnienie rodziców z opłat za korzystanie z wychowania przedszkolnego udzielone przed dniem 1 stycznia 2018 r. na podstawie art. 14 ust. 5g ustawy zmienianej w art. 80, w brzmieniu dotychczasowym, zachowuje moc.
Art. 107.
We wpisach do ewidencji, o której mowa w art. 168 ust. 1 ustawy zmienianej w art. 86, dokonanych na podstawie art. 90 ust. 1i ustawy zmienianej w art. 80, w brzmieniu dotychczasowym, w zakresie przyznania dotacji, o których mowa odpowiednio w art. 90 ust. 1b, 1ba lub 1c ustawy zmienianej w art. 80, w brzmieniu dotychczasowym, zamieszcza się z urzędu informację o otrzymywaniu dotacji, o których mowa odpowiednio w art. 17 ust. 1, art. 19 ust. 1 lub art. 21 ust. 1. Przepisy art. 168 ust. 9 i 11 ustawy zmienianej w art. 86 stosuje się odpowiednio.
Art. 108.
Do rozliczenia dotacji, o której mowa w art. 14d ust. 1 ustawy zmienianej w art. 80, w brzmieniu dotychczasowym, za rok 2017, stosuje się przepisy wydane na podstawie art. 14d ust. 10 ustawy zmienianej w art. 80, w brzmieniu dotychczasowym.
Art. 109.
1.
Kwota roczna, o której mowa w art. 53 ust. 4, wynosi:
2.
W latach 2018–2022 przepisu art. 53 ust. 5 nie stosuje się.
Art. 110.
1.
Ustala się następujący maksymalny limit wydatków z budżetu państwa przeznaczonych na dotację celową na dofinansowanie jednostek samorządu terytorialnego w zakresie wychowania przedszkolnego uczniów objętych wychowaniem przedszkolnym do końca roku szkolnego w roku kalendarzowym, w którym kończą 6 lat:
1)
w 2018 r. – 1404 mln zł;
2)
w 2019 r. – 1426 mln zł;
3)
w 2020 r. – 1483 mln zł;
4)
w 2021 r. – 1534 mln zł;
5)
w 2022 r. – 1610 mln zł;
6)
w 2023 r. – 1671 mln zł;
7)
w 2024 r. – 1732 mln zł;
8)
w 2025 r. – 1785 mln zł;
9)
w 2026 r. – 1832 mln zł;
10)
w 2027 r. – 1856 mln zł.
2.
Minister właściwy do spraw oświaty i wychowania monitoruje wykorzystanie limitów wydatków na zadania, o których mowa w ust. 1, oraz, w razie potrzeby, wdraża mechanizmy korygujące.
3.
W przypadku gdy łączne wydatki budżetu państwa planowane na dotację, o której mowa w ust. 1, wyliczone zgodnie z kwotą roczną określoną odpowiednio w art. 109 ust. 1 lub w art. 53 ust. 4, powodowałyby zagrożenie przekroczenia w danym roku budżetowym limitu określonego w ust. 1, do wyliczenia dotacji na ten rok ustala się skorygowaną kwotę roczną równą, zaokrąglonemu w dół do pełnych groszy, ilorazowi limitu na dany rok budżetowy określonemu w ust. 1 oraz liczby uczniów przyjętych do obliczenia wysokości dotacji.
Art. 111.
1.
Do dnia 31 sierpnia 2022 r. publiczne szkoły artystyczne przekazane przez jednostkę samorządu terytorialnego do prowadzenia osobie prawnej niebędącej jednostką samorządu terytorialnego oraz osobie fizycznej na podstawie umowy, o której mowa w art. 5 ust. 5g ustawy zmienianej w art. 80, w brzmieniu obowiązującym przed dniem 1 września 2017 r., otrzymują na każdego ucznia dotację z budżetu jednostki samorządu terytorialnego, która przekazała szkołę, w wysokości równej kwocie przewidzianej na takiego ucznia w części oświatowej subwencji ogólnej dla jednostki samorządu terytorialnego.
2.
W przypadku publicznych szkół artystycznych, w których zajęcia dydaktyczno-wychowawcze w klasach (semestrach) programowo najwyższych kończą się w kwietniu lub czerwcu, dotacja, o której mowa w ust. 1, przysługuje również na każdego absolwenta szkoły do końca roku szkolnego, w którym absolwent ukończył szkołę.
3.
Do dnia 31 sierpnia 2022 r. publiczne szkoły artystyczne, w których zorganizowano internat, przekazane przez jednostkę samorządu terytorialnego do prowadzenia osobie prawnej niebędącej jednostką samorządu terytorialnego oraz osobie fizycznej na podstawie umowy, o której mowa w art. 5 ust. 5g ustawy zmienianej w art. 80, w brzmieniu obowiązującym przed dniem 1 września 2017 r., otrzymują, niezależnie od dotacji, o której mowa w ust. 1, na każdego wychowanka tego internatu dotację z budżetu jednostki samorządu terytorialnego, która przekazała szkołę, w wysokości równej kwocie przewidzianej na takiego wychowanka internatu w części oświatowej subwencji ogólnej dla jednostki samorządu terytorialnego.
4.
W przypadku dotacji, o których mowa w ust. 1 i 3, przepisy art. 33–36, art. 38, art. 39 ust. 1 pkt 2, art. 43, art. 45 i art. 47–49 stosuje się odpowiednio.
Art. 112.
1.
Prawo do bezpłatnego dostępu do podręczników, materiałów edukacyjnych i materiałów ćwiczeniowych, o którym mowa w art. 54 ust. 1, uczniowie szkół podstawowych i szkół artystycznych realizujących kształcenie ogólne w zakresie szkoły podstawowej uzyskują, począwszy od roku szkolnego:
1)
2018/2019 – uczniowie klas II, V i VIII;
2)
2019/2020 – uczniowie klas III i VI;
3)
2020/2021 – uczniowie klas I, IV i VII.
2.
W latach szkolnych 2018/2019 i 2019/2020 uczniowie klas I, IV i VII szkół podstawowych i szkół artystycznych realizujących kształcenie ogólne w zakresie tych klas szkoły podstawowej mają prawo do bezpłatnego dostępu do podręczników, materiałów edukacyjnych lub materiałów ćwiczeniowych.
3.
Odpowiednio w latach szkolnych 2018/2019 i 2019/2020 uczniowie klas II, III, V i VI szkół podstawowych, uczniowie klas II i III dotychczasowych gimnazjów i uczniowie szkół artystycznych realizujących kształcenie ogólne w zakresie klasy II, III, V i VI szkoły podstawowej lub klasy II i III dotychczasowego gimnazjum również mają prawo do bezpłatnego dostępu do podręczników, materiałów edukacyjnych lub materiałów ćwiczeniowych w zakresie, o którym mowa w art. 115 ust. 3 i art. 116 ust. 3. Przepisu nie stosuje się do szkół dla dorosłych.
Art. 113.
1.
Odpowiednio w 2018 r. i 2019 r. wyposażenie:
1)
klas II i III szkół podstawowych i szkół artystycznych realizujących kształcenie ogólne w zakresie klasy II i III szkoły podstawowej odpowiednio w podręczniki do zajęć z zakresu danego języka obcego nowożytnego, materiały edukacyjne do zajęć z zakresu danego języka obcego nowożytnego lub materiały ćwiczeniowe,
2)
klas V i VI szkół podstawowych i szkół artystycznych realizujących kształcenie ogólne w zakresie klasy V i VI szkoły podstawowej odpowiednio w podręczniki, materiały edukacyjne lub materiały ćwiczeniowe,
3)
klas II i III dotychczasowych gimnazjów i szkół artystycznych realizujących kształcenie ogólne w zakresie klasy II i III dotychczasowego gimnazjum odpowiednio w podręczniki, materiały edukacyjne lub materiały ćwiczeniowe
-
także stanowi zadanie zlecone z zakresu administracji rządowej wykonywane przez jednostki samorządu terytorialnego prowadzące te szkoły.
2.
W przypadku danych klas szkół podstawowych lub danych klas dotychczasowego gimnazjum, prowadzonych przez osoby prawne niebędące jednostkami samorządu terytorialnego oraz osoby fizyczne, o których mowa w ust. 1, zapewnienie sfinansowania kosztu zakupu podręczników, materiałów edukacyjnych lub materiałów ćwiczeniowych, o których mowa w ust. 1, jest zadaniem zleconym z zakresu administracji rządowej wykonywanym przez jednostki samorządu terytorialnego będące dla tych szkół organem rejestrującym.
3.
Na realizację zadania, o którym mowa w ust. 1 i 2, jednostka samorządu terytorialnego otrzymuje dotację celową z budżetu państwa, udzielaną przez wojewodę.
4.
Na sfinansowanie kosztu zakupu podręczników, materiałów edukacyjnych lub materiałów ćwiczeniowych, o których mowa w ust. 1, szkoła podstawowa lub dotychczasowe gimnazjum, prowadzone przez osoby prawne niebędące jednostkami samorządu terytorialnego oraz osoby fizyczne, otrzymują, na wniosek, dotację celową z budżetu jednostki samorządu terytorialnego będącej dla tych szkół organem rejestrującym.
5.
Odpowiednio w 2018 r. i 2019 r. dotacja celowa jest obliczana i przyznawana na wyposażenie:
1)
klas II i III szkół podstawowych i szkół artystycznych realizujących kształcenie ogólne w zakresie klasy II i III szkoły podstawowej w podręczniki do zajęć z zakresu danego języka obcego nowożytnego lub materiały edukacyjne do zajęć z zakresu danego języka obcego nowożytnego – do wysokości 25 zł na ucznia;
2)
klas II i III szkół podstawowych i szkół artystycznych realizujących kształcenie ogólne w zakresie klasy II i III szkoły podstawowej w materiały ćwiczeniowe – do wysokości 50 zł na ucznia;
3)
klas V i VI szkół podstawowych i szkół artystycznych realizujących kształcenie ogólne w zakresie klasy V i VI szkoły podstawowej w podręczniki lub materiały edukacyjne – do wysokości 140 zł na ucznia;
4)
klas V i VI szkół podstawowych i szkół artystycznych realizujących kształcenie ogólne w zakresie klasy V i VI szkoły podstawowej w materiały ćwiczeniowe – do wysokości 25 zł na ucznia;
5)
klas II i III dotychczasowych gimnazjów i szkół artystycznych realizujących kształcenie ogólne w zakresie klasy II i III dotychczasowego gimnazjum w podręczniki lub materiały edukacyjne – do wysokości 250 zł na ucznia;
6)
klas II i III dotychczasowych gimnazjów i szkół artystycznych realizujących kształcenie ogólne w zakresie klasy II i III dotychczasowego gimnazjum w materiały ćwiczeniowe – do wysokości 25 zł na ucznia.
6.
Kwoty dotacji celowej, o których mowa w ust. 5, są powiększane przez pomnożenie ich przez wskaźniki określone w przepisach wydanych na podstawie ust. 12.
7.
W przypadku kwot dotacji celowej, o których mowa w ust. 5, stosuje się odpowiednio przepisy art. 55 ust. 7–9 oraz przepisy wydane na podstawie art. 55 ust. 10.
8.
Odpowiednio w 2018 r. i 2019 r. zadanie, o którym mowa w ust. 1:
1)
w przypadku klas II, III, V i VI szkół podstawowych i szkół artystycznych realizujących kształcenie ogólne w zakresie klasy II, III, V i VI szkoły podstawowej – jest realizowane do wysokości kwot dotacji celowej, o których mowa w ust. 5, z uwzględnieniem wskaźników określonych w przepisach wydanych na podstawie ust. 12 w związku z ust. 6; przepisy ust. 2–7 oraz art. 56 ust. 1–3 i 7, art. 58, art. 59 i art. 62 ust. 2–12 stosuje się odpowiednio;
2)
w przypadku klas II i III dotychczasowych gimnazjów i szkół artystycznych realizujących kształcenie ogólne w zakresie klasy II i III dotychczasowego gimnazjum – jest realizowane do wysokości kwot dotacji celowej, o których mowa w ust. 5, z uwzględnieniem wskaźników określonych w przepisach wydanych na podstawie ust. 12 w związku z ust. 6; przepisy ust. 2–7 oraz art. 56 ust. 1–3 i 7, art. 58, art. 59 i art. 62 ust. 2–12 stosuje się odpowiednio.
9.
W przypadku wyposażania szkół, o których mowa w ust. 1, w podręczniki i materiały edukacyjne, dyrektor szkoły, o której mowa w ust. 1, może odpowiednio w 2018 r. i 2019 r. wyrazić zgodę na zwiększenie kosztu zakupu kompletu podręczników i materiałów edukacyjnych na każdego ucznia danej klasy, o których mowa w ust. 1, w danym roku budżetowym, przekraczając odpowiednio kwoty dotacji celowej, o których mowa w ust. 5 pkt 1, 3 i 5, w ramach łącznej kwoty dotacji celowej, o której mowa w art. 55 ust. 5 pkt 1 i 3, oraz kwoty dotacji celowej, o której mowa w ust. 5 pkt 1, 3 i 5. Przepisy art. 56 ust. 4 i 6 oraz art. 63 stosuje się odpowiednio.
10.
W przypadku wyposażania szkół, o których mowa w ust. 1, w materiały ćwiczeniowe, dyrektor szkoły, o której mowa w ust. 1, może odpowiednio w 2018 r. i 2019 r. wyrazić zgodę na zwiększenie kosztu zakupu materiałów ćwiczeniowych na każdego ucznia danej klasy, o których mowa w ust. 1, w danym roku budżetowym, przekraczając odpowiednio kwoty dotacji celowej, o których mowa w ust. 5 pkt 2, 4 i 6, w ramach łącznej kwoty dotacji celowej, o której mowa w art. 55 ust. 5 pkt 2 i 4, oraz kwoty dotacji celowej, o której mowa w ust. 5 pkt 2, 4 i 6. Przepisy art. 56 ust. 5 i 6 oraz art. 63 stosuje się odpowiednio.
11.
Na 2018 r. i 2019 r. w zakresie, o którym mowa odpowiednio w ust. 1–10, art. 115 ust. 3 i art. 116 ust. 3, rozporządzenie wydane na podstawie art. 60, określa także:
1)
sposób przekazywania przez dyrektora szkoły podstawowej, szkoły artystycznej realizującej kształcenie ogólne w zakresie szkoły podstawowej lub dotychczasowego gimnazjum, prowadzonych przez jednostki samorządu terytorialnego, oraz dyrektora szkoły podstawowej lub dotychczasowego gimnazjum, prowadzonych przez osobę prawną niebędącą jednostką samorządu terytorialnego oraz osobę fizyczną, jednostkom samorządu terytorialnego informacji niezbędnych dla ustalenia wysokości dotacji celowej, o której mowa w ust. 3 i 4, w tym kwot refundacji, o których mowa w art. 114 ust. 3, 4, 8 i 9, oraz wzór formularza zawierającego te informacje;
2)
wzór wniosku o udzielenie dotacji celowej, o której mowa w ust. 4, w tym kwot refundacji, o których mowa w art. 114 ust. 3, 4, 8 i 9, szkole podstawowej lub dotychczasowemu gimnazjum, prowadzonych przez osobę prawną niebędącą jednostką samorządu terytorialnego oraz osobę fizyczną;
3)
sposób przekazywania przez jednostki samorządu terytorialnego wojewodom wniosku o udzielenie dotacji celowej, o której mowa w ust. 3, w tym kwot refundacji, o których mowa w art. 114 ust. 3, 4, 8 i 9, oraz wzór wniosku o udzielenie tej dotacji;
4)
tryb i terminy udzielania oraz szczegółowy sposób rozliczania wykorzystania dotacji celowej, o której mowa w ust. 3, w tym kwot refundacji, o których mowa w art. 114 ust. 3, 4, 8 i 9, oraz wzór formularza rozliczenia wykorzystania tej dotacji;
5)
szczegółowy sposób rozliczania wykorzystania dotacji celowej, o której mowa w ust. 4, w tym kwot refundacji, o których mowa w art. 114 ust. 3, 4, 8 i 9, oraz wzór formularza rozliczenia wykorzystania tej dotacji.
12.
W 2018 r. i 2019 r. minister właściwy do spraw oświaty i wychowania określi, w drodze rozporządzenia, wysokość wskaźników, o których mowa w art. 55 ust. 6, dla kwot dotacji, o których mowa w ust. 5, oraz dla kwot refundacji, o których mowa w art. 114 ust. 3, 4, 8 i 9, biorąc pod uwagę wyniki analiz kształtowania się cen podręczników, materiałów edukacyjnych lub materiałów ćwiczeniowych, dostosowanych do potrzeb edukacyjnych i możliwości psychofizycznych uczniów z niepełnosprawnością intelektualną, niesłyszących, słabosłyszących, z autyzmem, w tym z zespołem Aspergera, niewidomych i słabowidzących, a także możliwość zapewnienia tych podręczników, materiałów edukacyjnych lub materiałów ćwiczeniowych.
13.
Na sfinansowanie kosztu zakupu podręczników, materiałów edukacyjnych lub materiałów ćwiczeniowych w zakresie, o którym mowa w ust. 1, publiczne szkoły artystyczne realizujące kształcenie ogólne w zakresie szkoły podstawowej lub dotychczasowego gimnazjum prowadzone przez osoby prawne niebędące jednostkami samorządu terytorialnego oraz osoby fizyczne otrzymują, na wniosek, dotację celową z budżetu państwa.
14.
Odpowiednio w 2018 r. i 2019 r. do danych klas szkół podstawowych i szkół artystycznych realizujących kształcenie ogólne w zakresie szkoły podstawowej, o których mowa w ust. 1, stosuje się odpowiednio przepisy art. 54 ust. 3 i 4, art. 64–66 i art. 67 pkt 1.
15.
Do dotychczasowych gimnazjów i szkół ponadgimnazjalnych oraz szkół artystycznych realizujących kształcenie ogólne w zakresie dotychczasowego gimnazjum, o których mowa w ust. 1, lub liceum ogólnokształcącego stosuje się odpowiednio przepisy art. 22aa, art. 22aj i art. 22b ustawy zmienianej w art. 80, przepisy art. 22ab ustawy zmienianej w art. 80, w brzmieniu obowiązującym do dnia 15 lutego 2017 r., oraz przepisy art. 54 ust. 3 i 4 oraz art. 64–68, do zakończenia kształcenia w tych szkołach.
16.
Do szkolnych punktów konsultacyjnych, o których mowa w art. 8 ust. 5 pkt 1 lit. a ustawy zmienianej w art. 86, oraz szkół, o których mowa w art. 8 ust. 5 pkt 2 lit. c ustawy zmienianej w art. 86, które umożliwiają uczniom uzupełnienie wykształcenia w zakresie dotychczasowego gimnazjum, stosuje się odpowiednio przepis art. 22ay ust. 2 ustawy zmienianej w art. 80, w brzmieniu obowiązującym do dnia 15 lutego 2017 r.
Art. 114.
1.
W przypadku konieczności zapewnienia podręczników lub materiałów edukacyjnych do danego języka obcego nowożytnego dostosowanych do stopnia zaawansowania znajomości danego języka obcego nowożytnego, o której mowa w art. 57 ust. 4, możliwość zapewnienia tych podręczników lub materiałów edukacyjnych powstaje, począwszy od:
1)
2018 r. – na wyposażenie klas IV i VII szkół podstawowych i szkół artystycznych realizujących kształcenie ogólne w zakresie klasy IV i VII szkoły podstawowej;
2)
2019 r. – na wyposażenie klas V i VIII szkół podstawowych i szkół artystycznych realizujących kształcenie ogólne w zakresie klasy V i VIII szkoły podstawowej;
3)
2020 r. – na wyposażenie klas VI szkół podstawowych i szkół artystycznych realizujących kształcenie ogólne w zakresie klasy VI szkoły podstawowej.
2.
W przypadku konieczności zapewnienia podręczników lub materiałów edukacyjnych do danego języka obcego nowożytnego dostosowanych do stopnia zaawansowania znajomości danego języka obcego nowożytnego, o której mowa w art. 57 ust. 4, możliwość wnioskowania o refundację na zapewnienie tych podręczników lub materiałów edukacyjnych powstaje, począwszy od:
1)
2019 r. – na wyposażenie klas IV i VII szkół podstawowych i szkół artystycznych realizujących kształcenie ogólne w zakresie klasy IV i VII szkoły podstawowej;
2)
2020 r. – na wyposażenie klas V i VIII szkół podstawowych i szkół artystycznych realizujących kształcenie ogólne w zakresie klasy V i VIII szkoły podstawowej;
3)
2021 r. – na wyposażenie klas VI szkół podstawowych i szkół artystycznych realizujących kształcenie ogólne w zakresie klasy VI szkoły podstawowej.
3.
W przypadku konieczności zapewnienia podręczników lub materiałów edukacyjnych do danego języka obcego nowożytnego dostosowanych do stopnia zaawansowania znajomości danego języka obcego nowożytnego, o której mowa w art. 57 ust. 4, możliwość zapewnienia tych podręczników lub materiałów edukacyjnych powstaje w 2018 r. także na wyposażenie klas VI szkół podstawowych, klas III dotychczasowych gimnazjów i szkół artystycznych realizujących kształcenie ogólne w zakresie klasy VI szkoły podstawowej i klasy III dotychczasowego gimnazjum. Kwota refundacji zapewnienia tych podręczników lub materiałów edukacyjnych jest przyznawana do wysokości 25 zł na ucznia, z uwzględnieniem kosztów obsługi zadania, o których mowa w art. 55 ust. 9.
4.
W przypadku konieczności zapewnienia podręczników lub materiałów edukacyjnych do danego języka obcego nowożytnego dostosowanych do stopnia zaawansowania znajomości danego języka obcego nowożytnego, o której mowa w art. 57 ust. 4, możliwość wnioskowania o refundację, w kwocie, o której mowa w ust. 3, na zapewnienie tych podręczników lub materiałów edukacyjnych powstaje:
1)
w 2018 r. – także na wyposażenie klas V szkół podstawowych, klas II dotychczasowych gimnazjów i szkół artystycznych realizujących kształcenie ogólne w zakresie klasy V szkoły podstawowej i klasy II dotychczasowego gimnazjum;
2)
w 2019 r. – także na wyposażenie klas VI szkół podstawowych, klas III dotychczasowych gimnazjów i szkół artystycznych realizujących kształcenie ogólne w zakresie klasy VI szkoły podstawowej i klasy III dotychczasowego gimnazjum.
5.
Jeżeli w 2018 r. istnieje konieczność zapewnienia kompletu podręczników, materiałów edukacyjnych lub materiałów ćwiczeniowych odpowiednio dla klas III i VI szkół podstawowych, klas III dotychczasowych gimnazjów i szkół artystycznych realizujących kształcenie ogólne w zakresie klasy III i VI szkoły podstawowej lub klasy III dotychczasowego gimnazjum, które w poprzednim roku nie funkcjonowały w danej szkole lub do tych klas nie uczęszczali uczniowie, dotacja celowa, o której mowa w art. 113 ust. 5, jest udzielana do wysokości stanowiącej iloczyn liczby uczniów danej klasy, którym należy zapewnić komplet podręczników, materiałów edukacyjnych lub materiałów ćwiczeniowych, oraz odpowiednio kwot, o których mowa w art. 113 ust. 5, z uwzględnieniem wskaźników określonych w przepisach wydanych na podstawie art. 113 ust. 12. Przepisy art. 113 ust. 9 i 10 stosuje się odpowiednio.
6.
W przypadku gdy w ramach danej klasy nie funkcjonował dany oddział, przepis ust. 5 stosuje się odpowiednio. Przepis art. 56 ust. 2 stosuje się odpowiednio.
7.
Jeżeli w 2018 r. istnieje konieczność zapewnienia odpowiedniego kompletu podręczników lub materiałów edukacyjnych, w tym kompletu dostosowanego do potrzeb edukacyjnych i możliwości psychofizycznych ucznia niepełnosprawnego, w przypadku gdy:
1)
liczba uczniów odpowiednio klas III i VI szkół podstawowych, klas III dotychczasowych gimnazjów i szkół artystycznych realizujących kształcenie ogólne w zakresie klasy III i VI szkoły podstawowej lub klasy III dotychczasowego gimnazjum jest większa niż w poprzednim roku szkolnym, a od roku szkolnego rozpoczynającego się w roku, w którym udzielono ostatniej dotacji celowej na wszystkich uczniów danej klasy, nie upłynęły trzy lata szkolne, lub
2)
liczba uczniów odpowiednio klas III i VI szkół podstawowych, klas III dotychczasowych gimnazjów i szkół artystycznych realizujących kształcenie ogólne w zakresie klasy III i VI szkoły podstawowej lub klasy III dotychczasowego gimnazjum nie jest większa niż w poprzednim roku szkolnym, a istnieje konieczność zakupu kompletu podręczników lub materiałów edukacyjnych, w szczególności dostosowanego do potrzeb edukacyjnych i możliwości psychofizycznych ucznia niepełnosprawnego, z powodu niedokonania zakupu takiego kompletu ze środków ostatniej dotacji celowej udzielonej na wszystkich uczniów danej klasy lub udzielonej w poprzednim roku, jeżeli ostatniej dotacji celowej na wszystkich uczniów danej klasy udzielono dwa lata temu, lub
3)
komplet podręczników lub materiałów edukacyjnych dostosowany do potrzeb edukacyjnych i możliwości psychofizycznych ucznia niepełnosprawnego został wcześniej przekazany innej szkole, zgodnie z art. 64 ust. 3
-
dotacja celowa, o której mowa w art. 113 ust. 5 pkt 1, 3 i 5, jest udzielana do wysokości stanowiącej iloczyn liczby zakupionych brakujących kompletów podręczników lub materiałów edukacyjnych, w tym dostosowanych do potrzeb edukacyjnych i możliwości psychofizycznych uczniów niepełnosprawnych, oraz odpowiednio kwot, o których mowa w art. 113 ust. 5 pkt 1, 3 i 5, z uwzględnieniem wskaźników określonych w przepisach wydanych na podstawie art. 113 ust. 12.
8.
Jeżeli w wyniku zwiększenia się w ciągu roku szkolnego 2017/2018 liczby uczniów odpowiednio klas II, III, V i VI szkół podstawowych, klas II i III dotychczasowych gimnazjów i szkół artystycznych realizujących kształcenie ogólne w zakresie klasy II, III, V i VI szkoły podstawowej lub klasy II i III dotychczasowego gimnazjum, a w przypadku roku szkolnego 2018/2019 – liczby uczniów odpowiednio klas III i VI szkół podstawowych, klas III dotychczasowych gimnazjów i szkół artystycznych realizujących kształcenie ogólne w zakresie klasy III i VI szkoły podstawowej lub klasy III dotychczasowego gimnazjum, środki z przekazanej dotacji celowej nie pokryją kosztu zakupu kompletów podręczników, materiałów edukacyjnych lub materiałów ćwiczeniowych dla tych uczniów, koszt zakupu brakujących kompletów podręczników, materiałów edukacyjnych lub materiałów ćwiczeniowych jest refundowany ze środków dotacji celowej przekazanej na wyposażenie uczniów odpowiednio klas II, III, V i VI szkół podstawowych, klas II i III dotychczasowych gimnazjów i szkół artystycznych realizujących kształcenie ogólne w zakresie klasy II, III, V i VI szkoły podstawowej lub klasy II i III dotychczasowego gimnazjum w podręczniki, materiały edukacyjne lub materiały ćwiczeniowe na kolejny rok szkolny.
Kwota refundacji jest przyznawana do wysokości stanowiącej iloczyn liczby zakupionych brakujących kompletów podręczników, materiałów edukacyjnych lub materiałów ćwiczeniowych oraz odpowiednio kwot, o których mowa w art. 113 ust. 5, z uwzględnieniem wskaźników określonych w przepisach wydanych na podstawie art. 113 ust. 12.
9.
Jeżeli w ciągu roku szkolnego 2017/2018 istnieje konieczność zakupu dodatkowych kompletów podręczników, materiałów edukacyjnych lub materiałów ćwiczeniowych, dostosowanych do potrzeb edukacyjnych i możliwości psychofizycznych uczniów niepełnosprawnych odpowiednio klas II, III, V i VI szkół podstawowych, klas II i III dotychczasowych gimnazjów i szkół artystycznych realizujących kształcenie ogólne w zakresie klasy II, III, V i VI szkoły podstawowej lub klasy II i III dotychczasowego gimnazjum, a w przypadku roku szkolnego 2018/2019 – uczniów niepełnosprawnych odpowiednio klas III i VI szkół podstawowych, klas III dotychczasowych gimnazjów i szkół artystycznych realizujących kształcenie ogólne w zakresie klasy III i VI szkoły podstawowej lub klasy III dotychczasowego gimnazjum, w wyniku:
1)
dostarczenia do szkoły orzeczenia o potrzebie kształcenia specjalnego, a środki z przekazanej dotacji celowej nie pokryją kosztu zakupu tych kompletów, lub
2)
braku możliwości uzyskania tych kompletów z innej szkoły w drodze przekazania, zgodnie z art. 64 ust. 3
-
koszt zakupu brakujących kompletów podręczników, materiałów edukacyjnych lub materiałów ćwiczeniowych, dostosowanych do potrzeb edukacyjnych i możliwości psychofizycznych uczniów niepełnosprawnych, jest refundowany ze środków dotacji celowej przekazanej na wyposażenie odpowiednio klas II, III, V i VI szkół podstawowych, klas II i III dotychczasowych gimnazjów i szkół artystycznych realizujących kształcenie ogólne w zakresie klasy II, III, V i VI szkoły podstawowej lub klasy II i III dotychczasowego gimnazjum w podręczniki, materiały edukacyjne lub materiały ćwiczeniowe na kolejny rok szkolny. Kwota refundacji jest przyznawana do wysokości stanowiącej iloczyn liczby zakupionych brakujących kompletów podręczników, materiałów edukacyjnych lub materiałów ćwiczeniowych, dostosowanych do potrzeb edukacyjnych i możliwości psychofizycznych uczniów niepełnosprawnych, oraz odpowiednio kwot, o których mowa w art. 113 ust. 5, z uwzględnieniem wskaźników określonych w przepisach wydanych na podstawie art. 113 ust. 12.
Art. 115.
1.
Zadanie zlecone z zakresu administracji rządowej, o którym mowa w art. 55 ust. 1 i 2, jest wykonywane przez jednostki samorządu terytorialnego, począwszy od:
1)
2018 r. – w zakresie wyposażenia:
a)
szkół podstawowych i szkół artystycznych realizujących kształcenie ogólne w zakresie szkoły podstawowej w podręczniki do zajęć z zakresu edukacji: polonistycznej, matematycznej, przyrodniczej i społecznej, podręczniki do zajęć z zakresu danego języka obcego nowożytnego lub materiały edukacyjne dla klasy II,
b)
szkół podstawowych i szkół artystycznych realizujących kształcenie ogólne w zakresie szkoły podstawowej w podręczniki lub materiały edukacyjne dla klas V i VIII,
c)
szkół podstawowych i szkół artystycznych realizujących kształcenie ogólne w zakresie szkoły podstawowej w materiały ćwiczeniowe dla klas II, V i VIII;
2)
2019 r. – w zakresie wyposażenia:
a)
szkół podstawowych i szkół artystycznych realizujących kształcenie ogólne w zakresie szkoły podstawowej w podręczniki do zajęć z zakresu edukacji: polonistycznej, matematycznej, przyrodniczej i społecznej, podręczniki do zajęć z zakresu danego języka obcego nowożytnego lub materiały edukacyjne dla klasy III,
b)
szkół podstawowych i szkół artystycznych realizujących kształcenie ogólne w zakresie szkoły podstawowej w podręczniki lub materiały edukacyjne dla klasy VI,
c)
szkół podstawowych i szkół artystycznych realizujących kształcenie ogólne w zakresie szkoły podstawowej w materiały ćwiczeniowe dla klas III i VI;
3)
2020 r. – w zakresie wyposażenia:
a)
szkół podstawowych i szkół artystycznych realizujących kształcenie ogólne w zakresie szkoły podstawowej w podręczniki do zajęć z zakresu edukacji: polonistycznej, matematycznej, przyrodniczej i społecznej, podręczniki do zajęć z zakresu danego języka obcego nowożytnego lub materiały edukacyjne dla klasy I,
b)
szkół podstawowych i szkół artystycznych realizujących kształcenie ogólne w zakresie szkoły podstawowej w podręczniki lub materiały edukacyjne dla klas IV i VII,
c)
szkół podstawowych i szkół artystycznych realizujących kształcenie ogólne w zakresie szkoły podstawowej w materiały ćwiczeniowe dla klas I, IV i VII.
2.
Zadanie zlecone z zakresu administracji rządowej, o którym mowa w art. 55 ust. 1 i 2, jest wykonywane przez jednostki samorządu terytorialnego w:
1)
2018 r. – również w zakresie wyposażenia:
a)
szkół podstawowych i szkół artystycznych realizujących kształcenie ogólne w zakresie szkoły podstawowej w materiały ćwiczeniowe dla klas I, IV i VII,
b)
szkół podstawowych i szkół artystycznych realizujących kształcenie ogólne w zakresie szkoły podstawowej w podręczniki do zajęć z zakresu edukacji: polonistycznej, matematycznej, przyrodniczej i społecznej, podręczniki do zajęć z zakresu danego języka obcego nowożytnego, materiały edukacyjne lub materiały ćwiczeniowe dla klasy I, w zakresie, o którym mowa odpowiednio w art. 57 ust. 1–3, 5 i 6,
c)
szkół podstawowych i szkół artystycznych realizujących kształcenie ogólne w zakresie szkoły podstawowej w podręczniki, materiały edukacyjne lub materiały ćwiczeniowe dla klas IV i VII, w zakresie, o którym mowa odpowiednio w art. 57 ust. 1–3, 5 i 6;
2)
2019 r. – również w zakresie wyposażenia:
a)
szkół podstawowych i szkół artystycznych realizujących kształcenie ogólne w zakresie szkoły podstawowej w materiały ćwiczeniowe dla klas I, IV i VII,
b)
szkół podstawowych i szkół artystycznych realizujących kształcenie ogólne w zakresie szkoły podstawowej w podręczniki do zajęć z zakresu edukacji: polonistycznej, matematycznej, przyrodniczej i społecznej, podręczniki do zajęć z zakresu danego języka obcego nowożytnego, materiały edukacyjne lub materiały ćwiczeniowe dla klasy I, w zakresie, o którym mowa odpowiednio w art. 57 ust. 1–3, 5 i 6,
c)
szkół podstawowych i szkół artystycznych realizujących kształcenie ogólne w zakresie szkoły podstawowej w podręczniki, materiały edukacyjne lub materiały ćwiczeniowe dla klas IV i VII, w zakresie, o którym mowa odpowiednio w art. 57.
3.
Zadanie zlecone z zakresu administracji rządowej, o którym mowa w art. 113 ust. 1 i 2, jest wykonywane przez jednostki samorządu terytorialnego w:
1)
2018 r. – również w zakresie wyposażenia:
a)
szkół podstawowych i szkół artystycznych realizujących kształcenie ogólne w zakresie szkoły podstawowej w materiały ćwiczeniowe dla klas III i VI,
b)
gimnazjów i szkół artystycznych realizujących kształcenie ogólne w zakresie dotychczasowego gimnazjum w materiały ćwiczeniowe dla klasy III,
c)
szkół podstawowych i szkół artystycznych realizujących kształcenie ogólne w zakresie szkoły podstawowej w podręczniki do zajęć z zakresu danego języka obcego nowożytnego, materiały edukacyjne do zajęć z zakresu danego języka obcego nowożytnego lub materiały ćwiczeniowe dla klasy II, w zakresie, o którym mowa odpowiednio w art. 114 ust. 8 i 9, do wysokości kwot, o których mowa odpowiednio w art. 113 ust. 5, z uwzględnieniem wskaźników określonych w przepisach wydanych na podstawie art. 113 ust. 12,
d)
szkół podstawowych i szkół artystycznych realizujących kształcenie ogólne w zakresie szkoły podstawowej w podręczniki do zajęć z zakresu danego języka obcego nowożytnego, materiały edukacyjne do zajęć z zakresu danego języka obcego nowożytnego lub materiały ćwiczeniowe dla klasy III, w zakresie, o którym mowa odpowiednio w art. 114 ust. 5–9, do wysokości kwot, o których mowa odpowiednio w art. 113 ust. 5, z uwzględnieniem wskaźników określonych w przepisach wydanych na podstawie art. 113 ust. 12,
e)
szkół podstawowych i szkół artystycznych realizujących kształcenie ogólne w zakresie szkoły podstawowej w podręczniki, materiały edukacyjne lub materiały ćwiczeniowe dla klasy V, w zakresie, o którym mowa odpowiednio w art. 114 ust. 4, 8 i 9, do wysokości kwot, o których mowa odpowiednio w art. 113 ust. 5, z uwzględnieniem wskaźników określonych w przepisach wydanych na podstawie art. 113 ust. 12,
f)
szkół podstawowych i szkół artystycznych realizujących kształcenie ogólne w zakresie szkoły podstawowej w podręczniki, materiały edukacyjne lub materiały ćwiczeniowe dla klasy VI, w zakresie, o którym mowa odpowiednio w art. 114 ust. 5–9, do wysokości kwot, o których mowa odpowiednio w art. 113 ust. 5, z uwzględnieniem wskaźników określonych w przepisach wydanych na podstawie art. 113 ust. 12,
g)
gimnazjów i szkół artystycznych realizujących kształcenie ogólne w zakresie dotychczasowego gimnazjum w podręczniki, materiały edukacyjne lub materiały ćwiczeniowe dla klasy II, w zakresie, o którym mowa odpowiednio w art. 114 ust. 4, 8 i 9, do wysokości kwot, o których mowa odpowiednio w art. 113 ust. 5, z uwzględnieniem wskaźników określonych w przepisach wydanych na podstawie art. 113 ust. 12,
h)
gimnazjów i szkół artystycznych realizujących kształcenie ogólne w zakresie dotychczasowego gimnazjum w podręczniki, materiały edukacyjne lub materiały ćwiczeniowe dla klasy III, w zakresie, o którym mowa odpowiednio w art. 114 ust. 5–9, do wysokości kwot, o których mowa w art. 113 ust. 5, z uwzględnieniem wskaźników określonych w przepisach wydanych na podstawie art. 113 ust. 12;
2)
2019 r. – również w zakresie wyposażenia:
a)
szkół podstawowych i szkół artystycznych realizujących kształcenie ogólne w zakresie szkoły podstawowej w podręczniki, materiały edukacyjne lub materiały ćwiczeniowe dla klasy III, w zakresie, o którym mowa odpowiednio w art. 114 ust. 8 i 9, do wysokości kwot, o których mowa odpowiednio w art. 113 ust. 5, z uwzględnieniem wskaźników określonych w przepisach wydanych na podstawie art. 113 ust. 12,
b)
szkół podstawowych i szkół artystycznych realizujących kształcenie ogólne w zakresie szkoły podstawowej w podręczniki, materiały edukacyjne lub materiały ćwiczeniowe dla klasy VI, w zakresie, o którym mowa w art. 114 ust. 3, 4, 8 i 9, do wysokości kwot, o których mowa odpowiednio w art. 113 ust. 5, z uwzględnieniem wskaźników określonych w przepisach wydanych na podstawie art. 113 ust. 12,
c)
gimnazjów i szkół artystycznych realizujących kształcenie ogólne w zakresie dotychczasowego gimnazjum w podręczniki, materiały edukacyjne lub materiały ćwiczeniowe dla klasy III, w zakresie, o którym mowa odpowiednio w art. 114 ust. 3, 4, 8 i 9, do wysokości kwot, o których mowa odpowiednio w art. 113 ust. 5, z uwzględnieniem wskaźników określonych w przepisach wydanych na podstawie art. 113 ust. 12.
Art. 116.
1.
Dotacja celowa, o której mowa w art. 55 ust. 3, jest udzielana począwszy od:
1)
2018 r. – w zakresie wyposażenia:
a)
szkół podstawowych i szkół artystycznych realizujących kształcenie ogólne w zakresie szkoły podstawowej w podręczniki do zajęć z zakresu edukacji: polonistycznej, matematycznej, przyrodniczej i społecznej, podręczniki do zajęć z zakresu danego języka obcego nowożytnego lub materiały edukacyjne dla klasy II,
b)
szkół podstawowych i szkół artystycznych realizujących kształcenie ogólne w zakresie szkoły podstawowej w podręczniki lub materiały edukacyjne dla klas V i VIII,
c)
szkół podstawowych i szkół artystycznych realizujących kształcenie ogólne w zakresie szkoły podstawowej w materiały ćwiczeniowe dla klas II, V i VIII;
2)
2019 r. – w zakresie wyposażenia:
a)
szkół podstawowych i szkół artystycznych realizujących kształcenie ogólne w zakresie szkoły podstawowej w podręczniki do zajęć z zakresu edukacji: polonistycznej, matematycznej, przyrodniczej i społecznej, podręczniki do zajęć z zakresu danego języka obcego nowożytnego lub materiały edukacyjne dla klasy III,
b)
szkół podstawowych i szkół artystycznych realizujących kształcenie ogólne w zakresie szkoły podstawowej w podręczniki lub materiały edukacyjne dla klasy VI,
c)
szkół podstawowych i szkół artystycznych realizujących kształcenie ogólne w zakresie szkoły podstawowej w materiały ćwiczeniowe dla klas III i VI;
3)
2020 r. – w zakresie wyposażenia:
a)
szkół podstawowych i szkół artystycznych realizujących kształcenie ogólne w zakresie szkoły podstawowej w podręczniki do zajęć z zakresu edukacji: polonistycznej, matematycznej, przyrodniczej i społecznej, podręczniki do zajęć z zakresu danego języka obcego nowożytnego lub materiały edukacyjne dla klasy I,
b)
szkół podstawowych i szkół artystycznych realizujących kształcenie ogólne w zakresie szkoły podstawowej w podręczniki lub materiały edukacyjne dla klas IV i VII,
c)
szkół podstawowych i szkół artystycznych realizujących kształcenie ogólne w zakresie szkoły podstawowej w materiały ćwiczeniowe dla klas I, IV i VII.
2.
Dotacja celowa, o której mowa w art. 55 ust. 3, jest udzielana w:
1)
2018 r. – również w zakresie wyposażenia:
a)
szkół podstawowych i szkół artystycznych realizujących kształcenie ogólne w zakresie szkoły podstawowej w materiały ćwiczeniowe dla klas I, IV i VII,
b)
szkół podstawowych i szkół artystycznych realizujących kształcenie ogólne w zakresie szkoły podstawowej w podręczniki do zajęć z zakresu edukacji: polonistycznej, matematycznej, przyrodniczej i społecznej, podręczniki do zajęć z zakresu danego języka obcego nowożytnego, materiały edukacyjne lub materiały ćwiczeniowe dla klasy I, w zakresie, o którym mowa odpowiednio w art. 57 ust. 1–3, 5 i 6,
c)
szkół podstawowych i szkół artystycznych realizujących kształcenie ogólne w zakresie szkoły podstawowej w podręczniki, materiały edukacyjne lub materiały ćwiczeniowe dla klas IV i VII, w zakresie, o którym mowa odpowiednio w art. 57 ust. 1–3, 5 i 6;
2)
2019 r. – również w zakresie wyposażenia:
a)
szkół podstawowych i szkół artystycznych realizujących kształcenie ogólne w zakresie szkoły podstawowej w materiały ćwiczeniowe dla klas I, IV i VII,
b)
szkół podstawowych i szkół artystycznych realizujących kształcenie ogólne w zakresie szkoły podstawowej w podręczniki do zajęć z zakresu edukacji: polonistycznej, matematycznej, przyrodniczej i społecznej, podręczniki do zajęć z zakresu danego języka obcego nowożytnego, materiały edukacyjne lub materiały ćwiczeniowe dla klasy I, w zakresie, o którym mowa odpowiednio w art. 57 ust. 1–3, 5 i 6,
c)
szkół podstawowych i szkół artystycznych realizujących kształcenie ogólne w zakresie szkoły podstawowej w podręczniki, materiały edukacyjne lub materiały ćwiczeniowe dla klas IV i VII, w zakresie, o którym mowa odpowiednio w art. 57.
3.
Dotacja celowa, o której mowa w art. 113 ust. 3, jest udzielana w:
1)
2018 r. – również w zakresie wyposażenia:
a)
szkół podstawowych i szkół artystycznych realizujących kształcenie ogólne w zakresie szkoły podstawowej w materiały ćwiczeniowe dla klas III i VI,
b)
gimnazjów i szkół artystycznych realizujących kształcenie ogólne w zakresie dotychczasowego gimnazjum w materiały ćwiczeniowe dla klasy III,
c)
szkół podstawowych i szkół artystycznych realizujących kształcenie ogólne w zakresie szkoły podstawowej w podręczniki do zajęć z zakresu danego języka obcego nowożytnego, materiały edukacyjne do zajęć z zakresu danego języka obcego nowożytnego lub materiały ćwiczeniowe dla klasy II, w zakresie, o którym mowa odpowiednio w art. 114 ust. 8 i 9, do wysokości kwot, o których mowa odpowiednio w art. 113 ust. 5, z uwzględnieniem wskaźników określonych w przepisach wydanych na podstawie art. 113 ust. 12,
d)
szkół podstawowych i szkół artystycznych realizujących kształcenie ogólne w zakresie szkoły podstawowej w podręczniki do zajęć z zakresu danego języka obcego nowożytnego, materiały edukacyjne do zajęć z zakresu danego języka obcego nowożytnego lub materiały ćwiczeniowe dla klasy III, w zakresie, o którym mowa odpowiednio w art. 114 ust. 5–9, do wysokości kwot, o których mowa odpowiednio w art. 113 ust. 5, z uwzględnieniem wskaźników określonych w przepisach wydanych na podstawie art. 113 ust. 12,
e)
szkół podstawowych i szkół artystycznych realizujących kształcenie ogólne w zakresie szkoły podstawowej w podręczniki, materiały edukacyjne lub materiały ćwiczeniowe dla klasy V, w zakresie, o którym mowa odpowiednio w art. 114 ust. 4, 8 i 9, do wysokości kwot, o których mowa odpowiednio w art. 113 ust. 5, z uwzględnieniem wskaźników określonych w przepisach wydanych na podstawie art. 113 ust. 12,
f)
szkół podstawowych i szkół artystycznych realizujących kształcenie ogólne w zakresie szkoły podstawowej w podręczniki, materiały edukacyjne lub materiały ćwiczeniowe dla klasy VI, w zakresie, o którym mowa odpowiednio w art. 114 ust. 5–9, do wysokości kwot, o których mowa odpowiednio w art. 113 ust. 5, z uwzględnieniem wskaźników określonych w przepisach wydanych na podstawie art. 113 ust. 12,
g)
gimnazjów i szkół artystycznych realizujących kształcenie ogólne w zakresie dotychczasowego gimnazjum w podręczniki, materiały edukacyjne lub materiały ćwiczeniowe dla klasy II, w zakresie, o którym mowa odpowiednio w art. 114 ust. 4, 8 i 9, do wysokości kwot, o których mowa odpowiednio w art. 113 ust. 5, z uwzględnieniem wskaźników określonych w przepisach wydanych na podstawie art. 113 ust. 12,
h)
gimnazjów i szkół artystycznych realizujących kształcenie ogólne w zakresie dotychczasowego gimnazjum w podręczniki, materiały edukacyjne lub materiały ćwiczeniowe dla klasy III, w zakresie, o którym mowa odpowiednio w art. 114 ust. 5–9, do wysokości kwot, o których mowa w art. 113 ust. 5, z uwzględnieniem wskaźników określonych w przepisach wydanych na podstawie art. 113 ust. 12;
2)
2019 r. – również w zakresie wyposażenia:
a)
szkół podstawowych i szkół artystycznych realizujących kształcenie ogólne w zakresie szkoły podstawowej w podręczniki, materiały edukacyjne lub materiały ćwiczeniowe dla klasy III, w zakresie, o którym mowa odpowiednio w art. 114 ust. 8 i 9, do wysokości kwot, o których mowa odpowiednio w art. 113 ust. 5, z uwzględnieniem wskaźników określonych w przepisach wydanych na podstawie art. 113 ust. 12,
b)
szkół podstawowych i szkół artystycznych realizujących kształcenie ogólne w zakresie szkoły podstawowej w podręczniki, materiały edukacyjne lub materiały ćwiczeniowe dla klasy VI, w zakresie, o którym mowa w art. 114 ust. 3, 4, 8 i 9, do wysokości kwot, o których mowa odpowiednio w art. 113 ust. 5, z uwzględnieniem wskaźników określonych w przepisach wydanych na podstawie art. 113 ust. 12,
c)
gimnazjów i szkół artystycznych realizujących kształcenie ogólne w zakresie dotychczasowego gimnazjum w podręczniki, materiały edukacyjne lub materiały ćwiczeniowe dla klasy III, w zakresie, o którym mowa odpowiednio w art. 114 ust. 3, 4, 8 i 9, do wysokości kwot, o których mowa odpowiednio w art. 113 ust. 5, z uwzględnieniem wskaźników określonych w przepisach wydanych na podstawie art. 113 ust. 12.
Art. 117.
1.
W przypadkach, o których mowa w art. 116 ust. 3 pkt 1 lit. b, g i h oraz pkt 2 lit. c, do szkół utworzonych zgodnie z art. 129 ust. 1 pkt 1 i ust. 3 pkt 1, 2 i 9 oraz art. 201 ust. 1 pkt 1, 3 i 5, ust. 2 pkt 1, 3, 5 i 7 oraz ust. 3 pkt 1, 3, 5 i 7 ustawy zmienianej w art. 87, stosuje się odpowiednio przepisy art. 114.
2.
W przypadkach, o których mowa w art. 116, do dyrektorów szkół utworzonych zgodnie z art. 129 ust. 1 pkt 1 i ust. 3 pkt 1, 2 i 9 oraz art. 201 ust. 1 pkt 1, 3 i 5, ust. 2 pkt 1, 3, 5 i 7 oraz ust. 3 pkt 1, 3, 5 i 7 ustawy zmienianej w art. 87, w których prowadzi się klasy dotychczasowego gimnazjum, o których mowa w art. 129 ust. 8 ustawy zmienianej w art. 87, stosuje się odpowiednio przepisy art. 54 ust. 4, art. 56, art. 58, art. 59, art. 63 i art. 64, a także przepisy wydane na podstawie art. 60 w związku z art. 113 ust. 11.
Art. 118.
1.
Odpowiednio w latach szkolnych 2018/2019 i 2019/2020 na sfinansowanie kosztu zakupu podręczników, materiałów edukacyjnych lub materiałów ćwiczeniowych w zakresie, o którym mowa w art. 113 ust. 1, przeznaczonych do obowiązkowych zajęć edukacyjnych z zakresu kształcenia ogólnego, określonych w ramowych planach nauczania ustalonych dla uczniów klas II, III, V i VI publicznych szkół podstawowych i uczniów klas II i III publicznych dotychczasowych gimnazjów, niepubliczne szkoły podstawowe i niepubliczne dotychczasowe gimnazja otrzymują, na wniosek, dotację celową z budżetu jednostki samorządu terytorialnego będącej dla tych szkół organem rejestrującym.
2.
Zapewnienie sfinansowania kosztu zakupu podręczników, materiałów edukacyjnych lub materiałów ćwiczeniowych, o których mowa w ust. 1, jest zadaniem zleconym z zakresu administracji rządowej wykonywanym przez jednostki samorządu terytorialnego będące organem rejestrującym dla niepublicznych szkół podstawowych lub niepublicznych dotychczasowych gimnazjów. Na realizację tego zadania jednostka samorządu terytorialnego otrzymuje dotację celową z budżetu państwa, udzielaną przez wojewodę.
3.
Odpowiednio w latach szkolnych 2018/2019 i 2019/2020 na sfinansowanie kosztu zakupu podręczników, materiałów edukacyjnych lub materiałów ćwiczeniowych w zakresie, o którym mowa w art. 113 ust. 1, przeznaczonych do obowiązkowych zajęć edukacyjnych z zakresu kształcenia ogólnego, określonych w ramowych planach nauczania ustalonych dla uczniów klas II, III, V i VI publicznych szkół podstawowych i uczniów klas II i III publicznych dotychczasowych gimnazjów, niepubliczne szkoły artystyczne realizujące kształcenie ogólne w zakresie klasy II, III, V i VI szkoły podstawowej lub klasy II i III dotychczasowego gimnazjum otrzymują, na wniosek, dotację celową z budżetu państwa.
4.
Niepubliczne szkoły, o których mowa w ust. 1 i 3, które otrzymały dotację celową, o której mowa w ust. 1 i 3, zapewniają uczniom bezpłatny dostęp do podręczników, materiałów edukacyjnych lub materiałów ćwiczeniowych, zakupionych z tej dotacji.
5.
Odpowiednio w latach szkolnych 2018/2019 i 2019/2020 w przypadku niepublicznych szkół podstawowych oraz niepublicznych szkół artystycznych realizujących kształcenie ogólne w zakresie szkoły podstawowej stosuje się odpowiednio przepisy art. 67, art. 68, art. 112, art. 113 ust. 1 pkt 1 i 2, ust. 5–7, ust. 8 pkt 1, ust. 9–12 i 14, z tym że w zakresie art. 113 ust. 14 nie stosuje się przepisów art. 54 ust. 3 i 4, art. 64, art. 65 ust. 3 i art. 66, a także stosuje się odpowiednio przepisy art. 114, art. 115 ust. 1 i 2, ust. 3 pkt 1 lit. a i c–f, pkt 2 lit. a i b oraz art. 116 ust. 1 i 2, ust. 3 pkt 1 lit. a i c–f, pkt 2 lit. a i b oraz art. 117, z tym że w zakresie art. 117 ust. 2 nie stosuje się przepisów art. 54 ust. 4, art. 63 i art. 64.
6.
Odpowiednio w latach szkolnych 2018/2019 i 2019/2020 w przypadku niepublicznych dotychczasowych gimnazjów oraz niepublicznych szkół artystycznych realizujących kształcenie ogólne w zakresie dotychczasowego gimnazjum stosuje się odpowiednio przepisy art. 67, art. 68, art. 112 ust. 3, art. 113 ust. 1 pkt 3, ust. 5–7, ust. 8 pkt 2, ust. 9–12 i 15, z tym że w zakresie art. 113 ust. 15 nie stosuje się przepisów art. 22aa, art. 22aj i art. 22b ustawy zmienianej w art. 80, przepisu art. 22ab ustawy zmienianej w art. 80, w brzmieniu obowiązującym do dnia 15 lutego 2017 r., oraz przepisów art. 54 ust. 3 i 4 oraz art. 64 i art. 66, a także stosuje się odpowiednio przepisy art. 114 ust. 3–9, art. 115 ust. 3 pkt 1 lit. b, g i h, pkt 2 lit. c, art. 116 ust. 3 pkt 1 lit. b, g i h, pkt 2 lit. c oraz art. 117, z tym że w zakresie art. 117 ust. 2 nie stosuje się przepisów art. 54 ust. 4, art. 63 i art. 64.
7.
W przypadku uczniów niepublicznych dotychczasowych szkół ponadgimnazjalnych oraz szkół artystycznych realizujących kształcenie ogólne w zakresie dotychczasowego liceum ogólnokształcącego stosuje się odpowiednio przepisy art. 67 pkt 2 i art. 68.
8.
Przepisów ust. 1–7 nie stosuje się do szkół dla dorosłych.
Art. 119.
1.
Na lata szkolne 2017/2018 i 2018/2019 wyposażenie szkół podstawowych w podręczniki do zajęć z zakresu edukacji: polonistycznej, matematycznej, przyrodniczej i społecznej, w roku szkolnym:
1)
2017/2018 – dla klas II i III,
2)
2018/2019 – dla klasy III
-
zapewnia minister właściwy do spraw oświaty i wychowania; przepisy art. 54 ust. 3 i 4 oraz art. 64 ust. 1–6 stosuje się odpowiednio.
2.
Podręczniki, o których mowa w ust. 1, stają się własnością organu prowadzącego szkołę podstawową z dniem ich przekazania przez ministra właściwego do spraw oświaty i wychowania.
3.
Podręczniki, o których mowa w ust. 1, są dostosowane do potrzeb edukacyjnych i możliwości psychofizycznych uczniów niepełnosprawnych.
4.
Na lata szkolne 2017/2018 i 2018/2019 wyposażenie niepublicznych szkół podstawowych w podręczniki do zajęć z zakresu edukacji: polonistycznej, matematycznej, przyrodniczej i społecznej, w roku szkolnym:
1)
2017/2018 – dla klas II i III,
2)
2018/2019 – dla klasy III
-
zapewnia minister właściwy do spraw oświaty i wychowania na wniosek dyrektora niepublicznej szkoły podstawowej; informacje o terminie i sposobie złożenia wniosku zamieszcza się na stronie internetowej urzędu obsługującego ministra właściwego do spraw oświaty i wychowania.
5.
Niepubliczne szkoły podstawowe zapewniają bezpłatny dostęp do podręczników, o których mowa w ust. 4.
6.
W przypadku likwidacji publicznych i niepublicznych szkół podstawowych lub szkół artystycznych realizujących kształcenie ogólne w zakresie szkoły podstawowej podręczniki, o których mowa w ust. 1 i 4, podlegają zwrotowi odpowiednio jednostce samorządu terytorialnego będącej dla tych szkół organem rejestrującym albo ministrowi właściwemu do spraw kultury i ochrony dziedzictwa narodowego.
7.
W latach szkolnych 2017/2018 i 2018/2019 w przypadku szkolnych punktów konsultacyjnych, o których mowa w art. 8 ust. 5 pkt 1 lit. a ustawy zmienianej w art. 86, oraz szkół, o których mowa w art. 8 ust. 5 pkt 2 lit. c ustawy zmienianej w art. 86, które umożliwiają uzupełnienie wykształcenia w zakresie szkoły podstawowej, stosuje się odpowiednio przepisy ust. 1–3.
8.
W przypadku publicznych szkół artystycznych realizujących kształcenie ogólne w zakresie szkoły podstawowej stosuje się odpowiednio przepisy ust. 1–3 i 6, a w przypadku niepublicznych szkół artystycznych realizujących kształcenie ogólne w zakresie szkoły podstawowej stosuje się odpowiednio przepisy ust. 4–6.
9.
W przypadku podręczników do zajęć z zakresu edukacji: polonistycznej, matematycznej, przyrodniczej i społecznej, zapewnionych na rok szkolny 2016/2017 klasom I–III szkoły podstawowej na podstawie art. 339 ust. 1 pkt 1 i ust. 2 pkt 1 ustawy zmienianej w art. 87, w brzmieniu dotychczasowym, przepisy ust. 2, 3 i 5–8, art. 54 ust. 3 i 4 oraz art. 64 ust. 1–6 stosuje się odpowiednio.
Art. 120.
1.
Ustala się następujący maksymalny limit wydatków z budżetu państwa przeznaczonych na realizację zadania, o którym mowa w art. 54 ust. 1 i 2, art. 69 ust. 2 i 3, art. 112, art. 113 ust. 16, art. 118 ust. 2 i 3 oraz art. 119 ust. 1 i 4:
1)
w 2018 r. – 404 mln zł;
2)
w 2019 r. – 286 mln zł;
3)
w 2020 r. – 393 mln zł;
4)
w 2021 r. – 439 mln zł;
5)
w 2022 r. – 273 mln zł;
6)
w 2023 r. – 373 mln zł;
7)
w 2024 r. – 429 mln zł;
8)
w 2025 r. – 287 mln zł;
9)
w 2026 r. – 396 mln zł;
10)
w 2027 r. – 447 mln zł.
2.
Minister właściwy do spraw oświaty i wychowania monitoruje wykorzystanie limitów wydatków na zadanie, o którym mowa w ust. 1, oraz, w razie potrzeby, wdraża mechanizmy korygujące.
3.
W przypadku gdy łączne wydatki budżetu państwa na zadanie, o którym mowa w art. 54 ust. 1 i 2, art. 69 ust. 2 i 3, art. 112, art. 113 ust. 16, art. 118 ust. 2 i 3 oraz art. 119 ust. 1 i 4, powodowałyby zagrożenie przekroczenia w danym roku budżetowym limitu określonego w ust. 1, kwoty dotacji celowej na ucznia, o których mowa odpowiednio w art. 55 ust. 5 lub art. 113 ust. 5, zostaną odpowiednio pomniejszone:
1)
w pierwszej kolejności, analizując wskaźnik wykorzystania dotacji celowej w roku poprzedzającym rok bazowy; wskaźnik ten stanowi iloraz wykorzystanej kwoty dotacji celowej w roku poprzedzającym rok bazowy oraz kwoty dotacji celowej przekazanej z budżetu państwa na realizację zadania, o którym mowa w art. 54 ust. 1 i 2, art. 69 ust. 2 i 3, art. 112 oraz art. 118 ust. 2 i 3, w roku poprzedzającym rok bazowy; w przypadku gdy wskaźnik ten będzie mniejszy od wartości 1, kwoty dotacji celowej na ucznia, o których mowa odpowiednio w art. 55 ust. 5 oraz art. 113 ust. 5, mogą zostać odpowiednio pomniejszone do iloczynu wartości tego wskaźnika i kwot dotacji na ucznia, o których mowa odpowiednio w art. 55 ust. 5 lub art. 113 ust. 5, nie więcej jednak niż niezbędne do wyeliminowania zagrożenia przekroczenia w danym roku budżetowym limitu określonego w ust. 1;
2)
jeżeli w wyniku operacji określonej w pkt 1 nadal istnieje zagrożenie przekroczenia w danym roku budżetowym limitu określonego w ust. 1, dokonuje się pomniejszenia kwot dotacji celowej, o których mowa odpowiednio w art. 55 ust. 5 lub art. 113 ust. 5, o minimalny wskaźnik procentowy, który wyeliminuje zagrożenie przekroczenia w danym roku budżetowym limitu określonego w ust. 1.
4.
Minister właściwy do spraw oświaty i wychowania ogłasza, w drodze obwieszczenia, do dnia 1 marca, w Dzienniku Urzędowym Rzeczypospolitej Polskiej „Monitor Polski”, pomniejszone, zgodnie z ust. 3, kwoty dotacji celowej, o których mowa odpowiednio w art. 55 ust. 5 lub w art. 113 ust. 5.
5.
W przypadku zadziałania mechanizmów korygujących określonych w ust. 3, rada pedagogiczna, ustalając zestaw podręczników lub materiałów edukacyjnych obowiązujący we wszystkich oddziałach danej klasy przez co najmniej trzy lata szkolne lub ustalając materiały ćwiczeniowe obowiązujące w poszczególnych oddziałach w danym roku szkolnym, może podjąć decyzję o prowadzeniu obowiązkowych zajęć edukacyjnych z zakresu kształcenia ogólnego o najmniejszej liczbie godzin nauczania bez zastosowania podręczników, materiałów edukacyjnych lub materiałów ćwiczeniowych.
Art. 121.
1.
W 2018 r. w przypadku gminy, w której wskaźnik dochodów podatkowych na jednego mieszkańca w gminie jest równy lub niższy od 40% wskaźnika dochodów podatkowych dla wszystkich gmin, kwota dotacji, o której mowa w art. 90r ust. 1 ustawy zmienianej w art. 80, nie może przekroczyć 95% kwoty świadczeń pomocy materialnej o charakterze socjalnym udzielonych w roku budżetowym przez gminę, pod warunkiem że kwota stypendiów szkolnych, o których mowa w art. 90c ust. 2 pkt 1 ustawy zmienianej w art. 80, lub zasiłków szkolnych, o których mowa w art. 90c ust. 2 pkt 2 ustawy zmienianej w art. 80, przekazana uczniom i uczestnikom zajęć rewalidacyjno-wychowawczych w roku budżetowym będzie nie mniejsza niż 95% kwoty naliczonej tej gminie zgodnie z przepisami wydanymi na podstawie art. 90r ust. 3 ustawy zmienianej w art. 80.
2.
W 2018 r. w przypadku gminy, w której wskaźnik dochodów podatkowych na jednego mieszkańca w gminie jest równy lub niższy od 75% i wyższy od 40% wskaźnika dochodów podatkowych dla wszystkich gmin, kwota dotacji, o której mowa w art. 90r ust. 1 ustawy zmienianej w art. 80, nie może przekroczyć 90% kwoty świadczeń pomocy materialnej o charakterze socjalnym udzielonych w roku budżetowym przez gminę, pod warunkiem że kwota stypendiów szkolnych, o których mowa w art. 90c ust. 2 pkt 1 ustawy zmienianej w art. 80, lub zasiłków szkolnych, o których mowa w art. 90c ust. 2 pkt 2 ustawy zmienianej w art. 80, przekazana uczniom i uczestnikom zajęć rewalidacyjno-wychowawczych w roku budżetowym będzie nie mniejsza niż 95% kwoty naliczonej tej gminie zgodnie z przepisami wydanymi na podstawie art. 90r ust. 3 ustawy zmienianej w art. 80.
Art. 122.
Do dnia 31 sierpnia 2022 r. publiczne szkoły artystyczne przekazane przez jednostkę samorządu terytorialnego do prowadzenia osobie prawnej niebędącej jednostką samorządu terytorialnego oraz osobie fizycznej na podstawie umowy, o której mowa w art. 5 ust. 5g ustawy zmienianej w art. 80, w brzmieniu obowiązującym przed dniem 1 września 2017 r., otrzymują środki na przyznanie stypendiów za wyniki w nauce lub za osiągnięcia sportowe, o których mowa w art. 90c ust. 3 pkt 1 ustawy zmienianej w art. 80, z budżetu jednostki samorządu terytorialnego w ramach dotacji, o której mowa w art. 111 ust. 1.
Art. 123.
1.
Do postępowań w sprawie dokonania oceny pracy nauczyciela, wszczętych i niezakończonych przed dniem 1 września 2018 r., stosuje się przepisy dotychczasowe.
2.
Oceny pracy nauczyciela kontraktowego i nauczyciela mianowanego dokonuje się po raz pierwszy na zasadach określonych w art. 6a ustawy zmienianej w art. 76, w brzmieniu nadanym niniejszą ustawą, do dnia 31 sierpnia 2021 r., a jeżeli nauczyciel w tym okresie rozpocznie staż na kolejny stopień awansu zawodowego – po zakończeniu tego stażu.
3.
Oceny pracy nauczyciela dyplomowanego, który w dniu 1 września 2018 r. legitymuje się co najmniej trzyletnim okresem pracy w szkole od dnia uzyskania stopnia nauczyciela dyplomowanego, dokonuje się po raz pierwszy na zasadach określonych w art. 6a ustawy zmienianej w art. 76, w brzmieniu nadanym niniejszą ustawą, do dnia 30 czerwca 2020 r.
Art. 124.
Nauczyciele zatrudnieni w dniu 1 września 2018 r. w szkole, posiadający stopień naukowy oraz legitymujący się co najmniej pięcioletnim okresem pracy w szkole wyższej, z tym dniem uzyskują z mocy prawa stopień nauczyciela mianowanego, chyba że już uzyskali ten stopień na podstawie przepisów dotychczasowych.
Art. 125.
Staż na kolejny stopień awansu zawodowego nauczyciela rozpoczęty i niezakończony przed dniem 1 września 2018 r. jest odbywany według dotychczasowych przepisów.
Art. 126.
Do postępowań o nadanie nauczycielom stopnia awansu zawodowego, wszczętych i niezakończonych przed dniem 1 września 2018 r., stosuje się przepisy dotychczasowe.
Art. 127.
W przypadku nauczycieli, którzy zakończyli staż na kolejny stopień awansu zawodowego przed dniem 1 września 2018 r., lecz do tego dnia nie otrzymali oceny dorobku zawodowego za okres stażu lub nie złożyli wniosku o podjęcie postępowania kwalifikacyjnego lub egzaminacyjnego, ocena dorobku zawodowego nauczyciela za okres stażu jest dokonywana oraz postępowanie kwalifikacyjne lub egzaminacyjne jest prowadzone według dotychczasowych przepisów.
Art. 128.
W przypadku nauczyciela stażysty, który w dniu 1 września 2018 r. odbywa staż na kolejny stopień awansu zawodowego, rozpoczęty z początkiem roku szkolnego 2017/2018, ocena dorobku zawodowego nauczyciela za okres stażu jest dokonywana oraz postępowanie kwalifikacyjne na stopień nauczyciela kontraktowego jest prowadzone według dotychczasowych przepisów.
Art. 129.
W przypadku nauczyciela kontraktowego i nauczyciela mianowanego, który do dnia 1 września 2018 r. w trakcie odbywania stażu na kolejny stopień awansu zawodowego zmienił miejsce zatrudnienia i za okres dotychczas odbytego stażu otrzymał pozytywną ocenę dorobku zawodowego, ocena ta jest uwzględniana do oceny pracy dokonywanej po zakończeniu całego stażu.
Art. 130.
W roku szkolnym 2018/2019 nauczyciel kontraktowy może rozpocząć staż na stopień nauczyciela mianowanego, jeżeli legitymuje się co najmniej dwuletnim okresem pracy w szkole od dnia uzyskania stopnia nauczyciela kontraktowego.
Art. 131.
Do nauczycieli przeniesionych do innej szkoły na podstawie art. 19 ustawy zmienianej w art. 76, w brzmieniu obowiązującym przed dniem 1 stycznia 2018 r., przepis ten stosuje się do końca okresu, na jaki zostali przeniesieni.
Art. 132.
Do rozwiązania stosunku pracy z nauczycielami zatrudnionymi na podstawie umowy o pracę na czas nieokreślony, którzy w dniu 1 stycznia 2018 r. są czasowo niezdolni do pracy z powodu choroby, a okres tej niezdolności przekracza 182 dni, stosuje się przepisy dotychczasowe.
Art. 133.
1.
Dodatek za wyróżniającą pracę w wysokości określonej w art. 33a ust. 1 ustawy zmienianej w art. 76, w brzmieniu nadanym niniejszą ustawą, po raz pierwszy przysługuje od dnia 1 września 2022 r.
2.
W okresie od dnia 1 września 2020 r. do dnia 31 sierpnia 2022 r. dodatek za wyróżniającą pracę dla nauczyciela dyplomowanego zatrudnionego w pełnym wymiarze zajęć ustala się w wysokości:
1)
od dnia 1 września 2020 r. do dnia 31 sierpnia 2021 r. – 3%,
2)
od dnia 1 września 2021 r. do dnia 31 sierpnia 2022 r. – 6%
-
kwoty bazowej, określanej dla nauczycieli corocznie w ustawie budżetowej.
3.
Dodatek, o którym mowa w ust. 1 i 2, przysługuje nauczycielowi dyplomowanemu legitymującemu się co najmniej trzyletnim okresem pracy w szkole od dnia nadania stopnia nauczyciela dyplomowanego oraz wyróżniającą oceną pracy dokonaną na zasadach określonych w art. 6a ustawy zmienianej w art. 76, w brzmieniu nadanym niniejszą ustawą.
Art. 134.
W przypadku szkół przekazanych przed dniem 1 stycznia 2018 r. do prowadzenia osobie prawnej niebędą- cej jednostką samorządu terytorialnego oraz osobie fizycznej na podstawie art. 5 ust. 5g ustawy zmienianej w art. 80, w brzmieniu obowiązującym przed dniem 1 września 2017 r., lub art. 9 ust. 1 ustawy zmienianej w art. 86, organ wykonawczy jednostki samorządu terytorialnego, która przekazała szkołę, w terminie trzech miesięcy od dnia wejścia w życie niniejszej ustawy, jest obowiązany wskazać inną szkołę prowadzoną przez tę jednostkę, w której będzie naliczany odpis na zakładowy fundusz świadczeń socjalnych na każdego nauczyciela będącego emerytem lub rencistą z przekazanej szkoły oraz nauczyciela pobierającego nauczycielskie świadczenie kompensacyjne, którego szkoła była ostatnim miejscem pracy. Osoby te korzystają z usług i świadczeń finansowanych z zakładowego funduszu świadczeń socjalnych na zasadach i warunkach ustalonych w regulaminie obowiązującym we wskazanej szkole.
Art. 135.
Nauczyciel, nauczyciel będący emerytem, rencistą lub nauczycielem pobierającym nauczycielskie świadczenie kompensacyjne, który do dnia 1 stycznia 2018 r. korzystał z uprawnień określonych w art. 54 ust. 1 lub 4, art. 56 lub art. 60 ustawy zmienianej w art. 76, w brzmieniu obowiązującym przed dniem 1 stycznia 2018 r., zachowuje te uprawnienia do końca okresu, na jaki zostały mu one przyznane.
Art. 136.
Nauczyciele, którzy do dnia 1 września 2018 r. spełnili warunki otrzymania jednorazowego zasiłku na zagospodarowanie, określone w art. 61 ust. 1 ustawy zmienianej w art. 76, w brzmieniu obowiązującym przed dniem 1 września 2018 r., zachowują prawo do tego zasiłku.
Art. 137.
Do nauczyciela zatrudnionego w wymiarze niższym niż połowa obowiązkowego wymiaru zajęć nie stosuje się art. 61 ustawy zmienianej w art. 76, w brzmieniu obowiązującym przed dniem 1 września 2018 r.
Art. 138.
Zasiłek na zagospodarowanie podlega zwrotowi na zasadach określonych w art. 61 ust. 3 ustawy zmienianej w art. 76, w brzmieniu obowiązującym przed dniem 1 września 2018 r.
Art. 139.
W przypadku szkół i placówek prowadzonych przez jednostki samorządu terytorialnego zadania i kompetencje organu prowadzącego określone w art. 61 ust. 3 ustawy zmienianej w art. 76, w brzmieniu obowiązującym przed dniem 1 września 2018 r., wykonuje odpowiednio wójt (burmistrz, prezydent miasta), starosta albo marszałek województwa.
Art. 140.
Dyrektorowi i wicedyrektorowi szkoły oraz nauczycielowi pełniącemu inne stanowisko kierownicze w szkole, a także nauczycielowi, który obowiązki kierownicze pełni w zastępstwie nauczyciela, któremu powierzono stanowisko kierownicze, którzy przed dniem 1 stycznia 2018 r. nie wykorzystali przysługującego im urlopu uzupełniającego, urlopu tego udziela się na dotychczasowych zasadach.
Art. 141.
Nauczycielom, którzy przed dniem 1 stycznia 2018 r. uzyskali orzeczenie o potrzebie udzielenia urlopu dla poratowania zdrowia, udziela się tego urlopu na dotychczasowych zasadach.
Art. 142.
Nauczyciele, którzy w dniu 1 stycznia 2018 r. przebywają na urlopie dla poratowania zdrowia, zachowują prawo do tego urlopu do końca okresu, na jaki go udzielono, chyba że wcześniej zostaną odwołani z urlopu na podstawie art. 73 ust. 7 ustawy zmienianej w art. 76, w brzmieniu nadanym niniejszą ustawą.
Art. 143.
Osoby zatrudnione w dniu 1 września 2018 r. na stanowisku asystenta nauczyciela, asystenta osoby, o której mowa w art. 15 ust. 2 ustawy zmienianej w art. 86, lub asystenta wychowawcy świetlicy mogą być nadal zatrudnione na tym stanowisku na dotychczasowych zasadach nie dłużej niż do dnia 31 sierpnia 2020 r.
Art. 144.
W okresie od dnia 1 września 2018 r. do dnia 31 grudnia 2018 r. do nauczycieli zatrudnionych w przedszkolach, o których mowa w art. 1 ust. 2 pkt 2 lit. b ustawy zmienianej w art. 76, oraz innych formach wychowania przedszkolnego, o których mowa w art. 1 ust. 2 pkt 2 lit. c ustawy zmienianej w art. 76, w brzmieniu nadanym niniejszą ustawą, w wymiarze co najmniej 1/2 obowiązkowego wymiaru zajęć, w tym do nauczyciela zatrudnionego na stanowisku dyrektora, mają zastosowanie przepisy art. 9a–9i, art. 22 ust. 3 i 4, art. 49 ust. 1 pkt 2 i 3, art. 51 i art. 88 ustawy zmienianej w art. 76, w brzmieniu nadanym niniejszą ustawą, oraz art. 70a ust. 3, 4 i 6 ustawy zmienianej w art. 76, w brzmieniu obowiązującym w dniu 1 września 2018 r.
Art. 145.
Do podziału części oświatowej subwencji ogólnej na 2018 r. przyjmuje się dane zgromadzone w systemie informacji oświatowej, o którym mowa w art. 105 ustawy zmienianej w art. 83, w brzmieniu nadanym niniejszą ustawą.
Art. 146.
Dotychczasowe przepisy wykonawcze wydane na podstawie:
1)
art. 30 ust. 7 ustawy zmienianej w art. 76 zachowują moc do dnia wejścia w życie przepisów wykonawczych wydanych na podstawie art. 30 ust. 7 ustawy zmienianej w art. 76, w brzmieniu nadanym niniejszą ustawą, oraz mogą być zmieniane na podstawie tego przepisu;
2)
art. 14d ust. 10 ustawy zmienianej w art. 80 zachowują moc do dnia wejścia w życie przepisów wykonawczych wydanych na podstawie art. 53 ust. 11 oraz mogą być zmieniane na podstawie tego przepisu;
3)
art. 80 ust. 7 i art. 90 ust. 4g ustawy zmienianej w art. 80 zachowują moc do dnia wejścia w życie przepisów wykonawczych wydanych na podstawie art. 42 ust. 3 oraz mogą być zmieniane na podstawie tego przepisu.
Art. 147.
Ustawa wchodzi w życie z dniem 1 stycznia 2018 r., z wyjątkiem:
1)
art. 80 pkt 11–15, art. 83 pkt 3, 10 i 12–15, art. 86 pkt 5 i 11–14, art. 87 pkt 2, 4 i 5, art. 88, art. 89, art. 91 ust. 1 i art. 145, które wchodzą w życie po upływie 14 dni od dnia ogłoszenia;
2)
art. 54–69, art. 80 pkt 2, 4–10 i pkt 16 w zakresie art. 85b, art. 85, art. 86 pkt 8, art. 87 pkt 11–13 i art. 112–120, które wchodzą w życie z dniem 1 kwietnia 2018 r.;
3)
art. 76 pkt 1–14, pkt 17 lit. b, pkt 22, 23, pkt 28 w zakresie art. 61, pkt 37 lit. a w zakresie art. 91b ust. 2 pkt 1 i 2 oraz lit. b i c, pkt 38 lit. b, art. 83 pkt 4 i pkt 11 lit. a tiret drugie, art. 86 pkt 4 oraz art. 144, które wchodzą w życie z dniem 1 września 2018 r.;
4)
art. 35 ust. 4 i 5, art. 70, art. 76 pkt 33 i pkt 37 lit. a w zakresie art. 91b ust. 2 pkt 3 i 4, art. 80 pkt 17 w zakresie art. 90r i art. 81 w zakresie art. 28 ust. 6 pkt 6, które wchodzą w życie z dniem 1 stycznia 2019 r.;
5)
art. 76 pkt 20 lit. a tiret pierwsze, lit. c i pkt 21, które wchodzą w życie z dniem 1 września 2020 r.